Symulacja i pomiar, czyli LTspice i Analog Discovery 2 w rękach konstruktora (14). Wzmacniacze w klasach A, B i AB

Symulacja i pomiar, czyli LTspice i Analog Discovery 2 w rękach konstruktora (14). Wzmacniacze w klasach A, B i AB
Pobierz PDF Download icon

O klasach wzmacniaczy napisano już tyle publikacji, że trudno dodać coś nowego. Wydaje się, że najmniej materiałów można znaleźć na temat symulacji wzmacniaczy w kontekście ich pracy w różnych klasach. Niniejszy cykl artykułów doskonale wpisuje się więc w tę tematykę. Po wstępnych symulacjach z zastosowaniem programu LTspice jak zwykle zweryfikujemy pomiary w układzie rzeczywistym. Zajmiemy się jedynie klasami A, B i AB.

Spis treści

Mówiąc o klasach wzmacniaczy, nie mamy bynajmniej na myśli ich konfiguracji układowej. Klasa definiuje punkt pracy elementów czynnych (tranzystory, lampy). Jest to równoznaczne z określeniem kąta przepływu prądu przez pojedynczy element czynny przy sterowaniu wzmacniacza sygnałem sinusoidalnym. W artykule zajmujemy się wzmacniaczami zbudowanymi w oparciu na tranzystorach bipolarnych.

Symulacja wzmacniacza w klasie A

Zaczynamy od podstawowej klasy wzmacniaczy, jaką jest klasa A. Chociaż spotykane są wzmacniacze mocy pracujące w klasie A, to jednak pomimo ogólnie niezłych parametrów należą do rzadkości, o czym będzie jeszcze mowa w dalszej części artykułu. W klasie A pracuje natomiast większość typowych wzmacniaczy napięciowych.

Rysunek 1. Ustalenie punktu pracy wzmacniacza klasy A

Kąt przepływu prądu przez element czynny wzmacniacza klasy A jest równy 360°. Oznacza to, że tranzystor musi być przez cały czas pracy utrzymywany w stanie aktywnym, a więc musi przez niego płynąć prąd, nawet w stanie spoczynku, czyli bez sygnału sterującego. Ze względu na minimalizację zniekształceń nieliniowych punkt pracy tranzystora (PP) powinien być obierany na liniowym odcinku charakterystyki Ic=f(Ube) (rysunek 1). Może się to wiązać z koniecznością przepuszczania względnie dużego prądu spoczynkowego. Działanie wzmacniacza klasy A sprawdzimy na prostym przykładzie. Podobny problem był już rozpatrywany w 1. odcinku cyklu, w którym zajmowaliśmy się wzmacniaczem w konfiguracji OE (WE, wspólny emiter). Obliczenia nie są jednak skomplikowane, szybko więc je powtórzymy. Schemat wzmacniacza zamieszono na rysunku 2.

Rysunek 2. Schemat ideowy wzmacniacza pracującego w klasie A

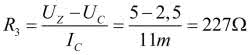
Zakładamy zastosowanie tranzystora NPN małej mocy typu 2N3904. Przyjmiemy prąd kolektora równy 11 mA i spoczynkowe napięcie na kolektorze równe 2,5 V. Wzmocnienie powinno wynosić ok. 10 V/V. Zatem rezystor kolektorowy R3 jest równy:

Przyjmujemy 220 Ω. Wzmocnienie jest równe w przybliżeniu stosunkowi rezystora kolektorowego do emiterowego, przy założonym wzmocnieniu rezystancja RE jest równa 22 Ω. Napięcie na emiterze wyniesie w przybliżeniu:

Z charakterystyki tranzystora 2N3904 wynika, że dla prądu emitera 11 mA napięcie UBE jest równe 0,712 V. Napięcie na bazie wyniesie zatem UE+UBE=0,242+0,712=0,954 V. Na podstawie danych katalogowych przyjmujemy, że wzmocnienie prądowe zastosowanego tranzystora jest równe 300, co daje prąd bazy:

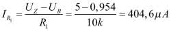
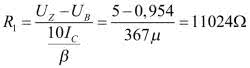
Przez rezystor R1 polaryzujący bazę tranzystora przepuścimy prąd 10-krotnie większy od prądu bazy. R1 będzie więc równy:

Przyjmujemy R1=10 kΩ. Prąd płynący przez R1 wyniesie:

Pozostało obliczenie R2:

Przyjmujemy 2,7 kΩ.

Rysunek 3. Parametry stałoprądowe rozpatrywanego wzmacniacza klasy A

Sprawdzamy, na ile obliczenia potwierdzą się w LTspice. Uruchamiamy symulację .OP. Na rysunku 3 mamy wyniki ze wszystkimi parametrami stałoprądowymi. Jeśli porównamy je z wartościami zakładanymi, okazuje się, że nie różnią się o więcej niż 7%. Pamiętając, że przyjmowaliśmy wartości elementów z szeregu, należy uznać, że jest to wynik bardzo dobry.

Teraz sprawdzimy parametry wzmacniacza dla prądu zmiennego. W celu określenia wzmocnienia napięciowego wprowadzamy trzy polecenia:

.meas TRAN uwepp PP V(we)
.meas TRAN uwypp PP V(wy)
.meas TRAN ku PARAM uwypp/uwepp

Zmierzymy również zawartość harmonicznych, w tym współczynnik THD. W celu uzyskania jak największej dokładności obliczeń, wprowadzamy opcje:

.options plotwinsize=0 – blokada kompresji danych,
.options numdgt=7 – włączenie podwójnej precyzji obliczeń,
.four 1000 10 200 v(we) v(wy) – włączenie analizy harmonicznych.

Dodatkowo w poleceniu uruchamiającym symulację skracamy krok obliczeń do 100 ns, godząc się na nieco wydłużony czas oczekiwania na wyniki:

.tran 0 200m 100m 100n

Obliczone parametry odczytujemy typowo, tj. otwierając okno logów błędów („View → SPICE Error Log”). Na końcu wszystkich widocznych w tym oknie danych znajdujemy pozycję ku. Jest to wzmocnienie napięciowe, które w symulacji wyniosło 8,91548 V/V wobec zakładanego 10 V/V. Nie mniej niż wzmocnienie interesują nas oczywiście zniekształcenia harmoniczne. Współczynnik THD dla sygnału wyjściowego osiągnął wartość 0,830591%. Całkiem nieźle jak na wzmacniacz zaprojektowany w 5 minut.

Artykuł ukazał się w
Elektronika Praktyczna
wrzesień 2020
DO POBRANIA
Pobierz PDF Download icon
Elektronika Praktyczna Plus lipiec - grudzień 2012

Elektronika Praktyczna Plus

Monograficzne wydania specjalne

Elektronik listopad 2025

Elektronik

Magazyn elektroniki profesjonalnej

Raspberry Pi 2015

Raspberry Pi

Wykorzystaj wszystkie możliwości wyjątkowego minikomputera

Świat Radio listopad - grudzień 2025

Świat Radio

Magazyn krótkofalowców i amatorów CB

Automatyka, Podzespoły, Aplikacje listopad - grudzień 2025

Automatyka, Podzespoły, Aplikacje

Technika i rynek systemów automatyki

Elektronika Praktyczna listopad 2025

Elektronika Praktyczna

Międzynarodowy magazyn elektroników konstruktorów

Elektronika dla Wszystkich grudzień 2025

Elektronika dla Wszystkich

Interesująca elektronika dla pasjonatów