Symulacja i pomiar, czyli LTspice i Analog Discovery 2 w rękach konstruktora (14). Wzmacniacze w klasach A, B i AB

Symulacja i pomiar, czyli LTspice i Analog Discovery 2 w rękach konstruktora (14). Wzmacniacze w klasach A, B i AB
Pobierz PDF Download icon

O klasach wzmacniaczy napisano już tyle publikacji, że trudno dodać coś nowego. Wydaje się, że najmniej materiałów można znaleźć na temat symulacji wzmacniaczy w kontekście ich pracy w różnych klasach. Niniejszy cykl artykułów doskonale wpisuje się więc w tę tematykę. Po wstępnych symulacjach z zastosowaniem programu LTspice jak zwykle zweryfikujemy pomiary w układzie rzeczywistym. Zajmiemy się jedynie klasami A, B i AB.

Spis treści

Pomiary wzmacniacza w klasie A

I teraz to, na co czekaliśmy, a więc pomiar układu rzeczywistego. Montaż jest bardzo prosty, nie zajmuje więc wiele czasu. Uruchamiamy program WaveForms, a w nim zasilacz, oscyloskop i generator. Kanał 1. posłuży do obserwacji przebiegu wejściowego, kanał 2. do wyjściowego.

Uaktywniamy zasilacz napięcia dodatniego, ustawiamy napięcie +5 V, a następnie włączamy włącznik globalny.

W oscyloskopie włączamy opcję „Measure”, a w niej definiujemy pomiary napięć średnich („Average”) i AC RMS w obu kanałach. Definiujemy również dla wygody pomiar wzmocnienia, dodając w oknie „Custom Global” poniższy skrypt:

var wzm = 0
var d1 = Scope.Channel1.measure("AC RMS")
var d2 = Scope.Channel2.measure("AC RMS")
wzm=d2/d1

Przykładając jedną z sond oscyloskopowych do emitera, bazy i kolektora przy braku sygnału wejściowego mierzymy napięcia wyznaczające punkt pracy. I znowu, z inżynierską dokładnością odpowiadają one założeniom i symulacji. Po włączeniu generatora (kanał 1., amplituda=100 mV, częstotliwość=1 kHz, offset=0) odczytujemy wzmocnienie wzmacniacza w oknie „Measurements”. Okazuje się, że w rzeczywistości wzmocnienie jest nawet bliższe obliczeniom niż w symulacji i wynosi 10,21 V/V (rysunek 4). Nieco gorzej wypadł natomiast pomiar zawartości harmonicznych przeprowadzony z użyciem narzędzia Spectrum Analyzer. W pomiarach układu rzeczywistego zawartość harmonicznych wyniosła –39,93 dBc, co opowiada 1,01%.

Rysunek 4. Przebieg wejściowy i wyjściowy wzmacniacza klasy A

Wybranie punktu pracy tranzystora na liniowym odcinku jego charakterystyki ma niekwestionowaną zaletę związaną z małymi zniekształceniami nieliniowymi, jednak taka koncepcja jest okupiona koniecznością przepuszczania ciągłego prądu w obwodzie. Prąd, który płynie przez element czynny bez względu na wielkość sygnału wejściowego, a nawet wtedy, gdy go nie ma, powoduje wydzielanie jakiejś mocy. Jest to oczywiście moc strat, która bezproduktywnie jedynie podgrzewa tranzystor. Można wprawdzie doszukać się w tym pewnych pozytywów, jaką jest na przykład termiczna stabilizacja punktu pracy, ale niska sprawność nieprzekraczająca w praktyce ok. 25% jest czynnikiem zdecydowanie zniechęcającym do budowy takich wzmacniaczy. Nie oznacza to, że producenci sprzętu audio całkowicie zrezygnowali z tej klasy wzmacniaczy. Ich użytkownicy, jeśli tacy się znajdą, muszą być przygotowani raczej na wysokie koszty eksploatacji.

Wzmacniacz w klasie B

Konstruktorzy poszukiwali innych rozwiązań, które pozwoliłyby uniknąć wad wzmacniaczy klasy A. Pierwsze, co nasuwa się na myśl, to opracowanie takiego układu polaryzacji tranzystora, aby możliwe było wyeliminowanie przepływu prądu przy braku sygnału. Punkt pracy musi być zatem przesunięty poza obszar przewodzenia tranzystora. Jeśli przyjmiemy, że do realizacji wzmacniacza zostanie zastosowany tranzystor NPN zasilany napięciem dodatnim, to powstaje jednak problem ze wzmacnianiem ujemnych połówek sygnału wejściowego. W całym tym zakresie tranzystor pozostaje przecież w stanie zatkania i nie przewodzi prądu. Rozwiązanie jest proste, ale wymaga użycia drugiego, komplementarnego tranzystora (PNP) i drugiego zasilacza. Pozostaje także problem połączenia w całość obu niezależnie wzmacnianych połówek.

Rysunek 5. Schemat badanego wzmacniacza pracującego w klasie B

Biorąc pod uwagę fakt, że zawsze aktywny jest tylko jeden tranzystor, można bez większych obaw połączyć je bezpośrednio ze sobą. Przykładowy schemat przygotowany do symulacji w programie LTspice pokazano na rysunku 5. Zasadę działania takiego układu przedstawiono na rysunku 6. Tranzystor Q1 wzmacnia dodatnie (niebieskie) połówki, Q2 natomiast wzmacnia połówki ujemne (zielone). Kąt przewodzenia tranzystora we wzmacniaczu klasy B jest równy 180°. Wyjście wzmacniacza jest wyprowadzone z emiterów tranzystorów. Zakładamy, że obciążeniem będzie miniaturowy głośnik o impedancji 8 Ω.

Rysunek 6. Ilustracja zasady działania wzmacniacza klasy B

Wzmacniacz zasilono dwoma symetrycznymi napięciami. Z uwagi na przewidywane użycie do pomiarów zestawu Analog Discovery 2 wybrano napięcia +5 V i –5 V. Przy dołączeniu zestawu AD2 tylko do USB (bez zasilania zewnętrznego) dostępne zasilacze mogą dostarczyć całkowitą moc równą 500 mW, podczas gdy nie zakładamy znacznego przekroczenia mocy 10 miliwatów. Jest to wartość na tyle mała, że do realizacji wzmacniacza wystarczą popularne tranzystory typu 2N3904 (NPN) i 2N3906 (PNP) stanowiące parę komplementarną. Ich dopuszczalne parametry, takie jak ciągły prąd kolektora 200 mA, całkowita moc strat równa 625 mW, są więc w zupełności wystarczające.

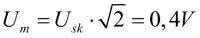
Przy założeniu, że skuteczna moc 10 mW będzie wydzielana na oporności 8 Ω, napięcie skuteczne na obciążeniu wyniesie:

Napięcie maksymalne (amplituda przebiegu sinusoidalnego) będzie więc równe:

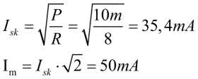
Analogiczne oszacowanie prądu:

Rysunek 7. Charakterystyka Ic=f(Ube) wyznaczona w symulatorze LTspice


Do oszacowania wielkości sygnału sterującego wzmacniaczem należy jeszcze uwzględnić spadek napięcia na złączu baza-emiter aktywnego tranzystora. Z charakterystyki Ic=f(Ube) wyznaczonej za pomocą LTspice wynika, że dla prądu 50 mA napięcie Ube wynosi ok. 0,767 mV (rysunek 7). Ostatecznie napięcie sterujące powinno mieć amplitudę:

 

Przyjmiemy do symulacji i pomiarów wartość 1,2 V. Jest to napięcie wymagane do prawidłowego wysterowania wzmacniacza. Powinien to zapewnić odpowiednio zaprojektowany wzmacniacz napięciowy. My jednak nie będziemy się nim zajmować, a do prób i pomiarów użyjemy generatora zestawu Analog Discovery 2. Rezystory R1 i R2 zapewniają statyczny punkt pracy tranzystorów. Dla symetrycznych napięć zasilających napięcie na bazach powinno być równe zero, rezystory będą więc miały równe wartości – przyjmujemy 2,2 kΩ.

Artykuł ukazał się w
Elektronika Praktyczna
wrzesień 2020
DO POBRANIA
Pobierz PDF Download icon
Elektronika Praktyczna Plus lipiec - grudzień 2012

Elektronika Praktyczna Plus

Monograficzne wydania specjalne

Elektronik listopad 2025

Elektronik

Magazyn elektroniki profesjonalnej

Raspberry Pi 2015

Raspberry Pi

Wykorzystaj wszystkie możliwości wyjątkowego minikomputera

Świat Radio listopad - grudzień 2025

Świat Radio

Magazyn krótkofalowców i amatorów CB

Automatyka, Podzespoły, Aplikacje listopad - grudzień 2025

Automatyka, Podzespoły, Aplikacje

Technika i rynek systemów automatyki

Elektronika Praktyczna listopad 2025

Elektronika Praktyczna

Międzynarodowy magazyn elektroników konstruktorów

Elektronika dla Wszystkich grudzień 2025

Elektronika dla Wszystkich

Interesująca elektronika dla pasjonatów