Oferta oscyloskopów 2020

Oferta oscyloskopów 2020
Pobierz PDF Download icon

Choć trudno wyobrazić sobie stanowiska inżyniera elektronika bez oscyloskopu, urządzeń tych nie kupuje się zbyt często. Jedną z podstawowych metod zapewnienia zbytu wyrobów jest ciągłe ich udoskonalanie i wprowadzanie na rynek nowych rodzin i modeli. Fakt ten jest na ogół skrzętnie utrzymywany w tajemnicy, by w odpowiednim momencie fetować inaugurację sprzedaży nowego wyrobu.

Przeglądając oferty na oscyloskopy stacjonarne, przenośne, przystawki USB, oscyloskopowe karty pomiarowe itp., można doszukać się ogółem ponad 30 producentów, dystrybutorów i marek własnych funkcjonujących w Polsce. Oscyloskopy to urządzenia, których czas eksploatacji przekracza nawet kilkanaście lat. W większości przypadków przyrządy te są wycofywane ze stanowisk pomiarowych nie ze względu na całkowite wyeksploatowanie, a więc nieopłacalność wykonywania ewentualnych napraw, lecz z powodu znacznego zmniejszenia własności funkcjonalnych w porównaniu z nowymi generacjami urządzeń. Wysokie ceny oscyloskopów wyższych klas nie skłaniają jednak do częstej ich wymiany.

Duża liczba dostawców elektronicznego sprzętu pomiarowego, w tym oscyloskopów, zestawiona z przedstawionymi wcześniej spostrzeżeniami skłania do refleksji i zastanowienia się, czy rynek na te urządzenia już się nie nasycił? Bez głębszej analizy trudno to stwierdzić.

Sądząc po zmniejszającej się liczbie reklam i recenzji oscyloskopów zamieszczanych w mediach, można zauważyć, że sytuacja na przestrzeni kilku ostatnich lat zmieniła się i to dość znacznie. Obserwację tę trudno jednak uznać jako miarodajną ocenę sytuacji, gdyż działania producentów i dystrybutorów mogą wynikać np. z ograniczeń wydatków przeznaczonych na marketing lub ograniczania działań marketingowych tylko do tych, które wykazują najwyższą skuteczność. W czasach, w których duża część zakupów jest dokonywana za pośrednictwem Internetu, właśnie to medium staje się najważniejszą, niemal wyłączną formą reklamowania i sprzedaży produktów. Potencjalny klient i tak wcześniej czy później trafi na odpowiednią stronę internetową, gdzie znajdzie nie tylko specyfikację techniczną, ale też dokładny opis funkcjonalny produktu, recenzje specjalistów oraz oceny użytkowników. Odrębną kwestią pozostaje uczciwość i wiarygodność takich informacji.

Typy oscyloskopów:
DSO - Digital Storage Oscilloscope - klasyczny oscyloskop cyfrowy,
MSO - Mixed Signal Oscilloscope - oscyloskop do pomiarów sygnałów analogowych i cyfrowych,
DPO - Digital Phosphor Oscilloscope - oscyloskop cyfrowy emulujący luminofor analogowych lamp oscyloskopowych przeznaczony do pomiarów szybkich sygnałów cyfrowych,
MDO - Mixed Domain Oscilloscope - oscyloskop mierzący w dziedzinie czasu i częstotliwości, integruje więc funkcje oscyloskopu i analizatora widma,
DSA - Digital Serial Analyzer - oscyloskop przeznaczony do pomiarów szybkich interfejsów szeregowych, charakteryzujący się bardzo dużą szybkością próbkowania (50 GSa/s) i pamięcią o dużej pojemności. Symbolami DSA oznaczane są również analizatory widma,
DSA - Digital Sampling Oscilloscope - skrótowiec DSA odnosi się również do tzw. oscyloskopów próbkujących. Nie jest to nieporozumienie. Faktycznie, można uznać, że wszystkie oscyloskopy cyfrowe są próbkujące, ale w przeciwieństwie do klasycznych oscyloskopów DSO, w oscyloskopach DSA przetwornik jest umieszczany przed blokiem filtrująco-wzmacniającym. Pozwala to radykalnie zwiększyć pasmo pomiarowe, gdyż tor pomiarowy nie zawiera wzmacniaczy szerokopasmowych.

Klasyfikacja

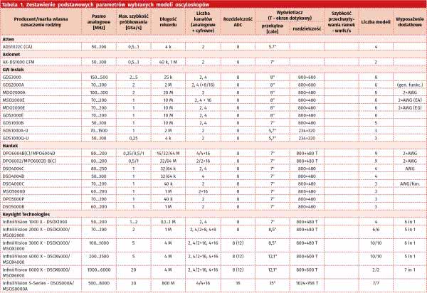
Do przygotowania przeglądu ofert konieczne było przyjęcie kryteriów grupowania poszczególnych rodzajów oscyloskopów uwzględniających producenta lub markę własną, rodzaj oscyloskopu, rodzinę, typ i model, a także grupę cenową. Z oczywistych powodów uwzględnienie w tym zestawieniu pełnego asortymentu nie jest możliwe. Opis ograniczono do kilku największych lub najbardziej liczących się na rynku producentów i dystrybutorów, a zestawienie zawarto w tabeli 1 (na końcu artykułu).

Trendy

Oscyloskopy stanowią grupę przyrządów pomiarowych, która obok analizatorów widma wykazuje się chyba największą dynamiką rozwoju. Obserwujemy wyraźne dodatnie sprzężenie zwrotne między producentami i użytkownikami. Coraz doskonalsze przyrządy umożliwiają realizację projektów urządzeń o coraz lepszych parametrach technicznych, ale dalsze ich unowocześnianie narzuca konieczność stosowania jeszcze bardziej wydajnych oscyloskopów. Mogłoby się wydawać, że próg wymagań został już osiągnięty, ale pojawiające się w ofertach oscyloskopy bijące kolejne rekordy dowodzą, że tak nie jest. Nasuwa się natomiast pytanie, czy istnieją jakieś granice techniczne i technologiczne, których przekroczenie, choćby ze względu na ograniczenia fizyczne, nie jest możliwe?

W nieustającym ulepszaniu oscyloskopów można doszukać się również wątków niemal sportowych. Producenci toczą niekończącą się walkę o prymat pierwszeństwa. Aby nie dać się prześcignąć konkurencji, prace biur konstrukcyjnych są koncentrowane głównie na najwyższych modelach. Duża część rozwiązań innowacyjnych jest implementowana właśnie w nich, dopiero po pewnym czasie, zwykle wtedy, gdy pojawiają się kolejne nowości, rozwiązania z wyższych modeli trafiają do modeli niższych. Korzystają na tym użytkownicy, gdyż rywalizacja ta skutkuje przenoszeniem cech użytkowych modeli klas wyższych na niższe przy nieproporcjonalnie niskim wzroście cen.

Przykładem takiego trendu jest stałe polepszanie parametrów wyświetlaczy oscyloskopów cyfrowych. Dobrze pamiętamy jeszcze oscyloskopy z małymi, 5-calowymi wyświetlaczami o rozdzielczości 234×320. Wprawdzie pozostają one w ofertach, można je więc nadal kupić, ale zainteresowanie takimi przyrządami szybko spada. Trudno się dziwić, gdyż rozdzielczości matryc spotykane w dzisiejszych wyświetlaczach są na tyle duże, że praktycznie dyskwalifikują stare rozwiązania. Drugim czynnikiem jest coraz bardziej powszechne stosowanie ekranów dotykowych przyczyniające się do radykalnego zwiększenia komfortu obsługi oscyloskopu. Kto raz miał okazję pracować z podobnym urządzeniem, temu bardzo trudno jest powrócić do przyrządów poprzedniej generacji.

W roku 2016 Tektronix wprowadził do oferty pierwszy oscyloskop mierzący w dwóch dziedzinach - czasu i częstotliwości. Przyrząd ten stanowił więc połączenie oscyloskopu cyfrowego i analizatora widma. Już wtedy konstruktorzy tej firmy zapewne zadawali sobie pytanie, czy opracowana przez nich koncepcja spotka się z uznaniem i będzie kopiowana przez konkurencję? Pytanie zadawane w nadziei na to, że odpowiedź będzie negatywna, co pozwoliłoby pozostawać w roli monopolisty. Być może prace nad takim oscyloskopem są gdzieś prowadzone, jednak po 3 latach od premiery Tektronix może czuć się bezpiecznie. Podobnych rozwiązań na razie nie widać. Nie wiadomo jednak, czy koncepcja została przez innych odrzucona, czy na opracowanie podobnego przyrządu nie pozwalają jakieś względny techniczne. Trudno o problemy tej natury posądzać na przykład firmę Rohde & Schwarz. Wydaje się, że firma postawiła raczej na szybki i wydajny oscyloskop z dobrze opracowaną analizą FFT niż na moduł w.cz. „doklejany” do oscyloskopu. Rohde & Schwarz od początku swojego istnienia specjalizuje się w produkcji przyrządów do pomiarów systemów radiowych i telekomunikacyjnych, uznał więc, że oscyloskop klasy MDO (Mixed Dommain) nie będzie ani dobrym oscyloskopem, ani dobrym analizatorem widma. Trudno nie zgodzić się z takim podejściem, nie oznacza to jednak odrzucania już u podstaw koncepcji Tektroniksa.

Pewnym zaskoczeniem było więc pojawienie się rodziny MDO w ofercie oscyloskopów firmy GW Instek. Choć jest to producent dobrze znany i mający ustabilizowaną pozycję rynkową, nie można go jednak zaliczyć do liderów. Trudno więc przypuszczać, aby w biurach projektowych tej firmy opracowano własną konstrukcję prawdziwego oscyloskopu mixed domain. Rodziny MDO2000A i MDO2000E to w rzeczywistości klasyczne oscyloskopy cyfrowe z mocno rozbudowaną, opracowaną na wzór analizatorów widma funkcją FFT. Nie mają one osobnego kanału w.cz., jaki występuje w oscyloskopach MDO Tektroniksa, natomiast zaimplementowano w nich funkcje pomiarowe typowe dla heterodynowych analizatorów widma. Dzięki nim można na przykład określać parametry sygnałów modulowanych, wykreślać charakterystyki częstotliwościowe (Bod plot) itp. Dostępne są różne tryby śledzenia, takie jak: Normal, Max-hold, Min-hold i Average.

GW Instek, podobnie jak większość innych, zarówno małych, jak i największych producentów, uległ modzie, bo tak to chyba trzeba nazwać, implementowania wielu rodzajów przyrządów pomiarowych w jednym oscyloskopie. W ten sposób powstają urządzenia 3-in-1, 5-in-1 a nawet 7-in-1. Częściami składowymi (wirtualnymi lub rzeczywistymi) są: oscyloskop, woltomierz lub multimetr cyfrowy, generator arbitralny, analizator protokołów szeregowych, miernik częstotliwości/licznik impulsów, analizator stanów logicznych, analizator charakterystyk częstotliwościowych (FRA - Frequency Responce Analyzer), analizator widma. Zintegrowanie wielu przyrządów w jednym ma kilka praktycznych zalet. Pozwala utrzymać porządek na stanowisku pomiarowym i ograniczyć powierzchnię zajmowaną przez aparaturę. Usprawnia też obsługę przyrządów, gdyż są one sterowane przez ujednolicony interfejs ekranowy. W takich rozwiązaniach zwykle nie ma żadnych innych mechanicznych elementów regulacyjnych, m.in. z powodu ograniczonej powierzchni na pulpicie. Jednak podobnie jak w przypadku analizatora widma zintegrowanego z oscyloskopem w rozwiązaniach Tektroniksa, nie należy spodziewać się wygórowanych parametrów generatorów umieszczanych kompaktowo z oscyloskopem. Na przykład w oscyloskopach rodziny InfiniiVision 1000 X Keysighta wbudowany generator funkcyjny wytwarza podstawowe przebiegi (sinus, prostokąt, piła, impuls, DC i szum) o częstotliwościach do 20 MHz. Mogą być one poddawane modulacji AM, FM i FSK. Tym samym oscyloskop taki jest doskonałym narzędziem edukacyjnym, co zresztą jest założeniem Keysighta, natomiast do biur konstrukcyjnych należałoby szukać raczej innych modeli (rodzin) albo rozglądać się jednak za niezależnymi przyrządami stacjonarnymi.

Generatory funkcyjne, które były używane w laboratoriach pomiarowych i pracowniach konstrukcyjnych do końca XX wieku, dziś zostały niemal całkowicie wyparte przez generatory arbitralne. Wynikająca z tego podstawowa korzyść polega na możliwości generowania własnych przebiegów użytkownika oraz łatwego dołączania sygnałów mierzonych oscyloskopem do biblioteki przebiegów generatora. Stwarza to zupełnie nowe, nieznane wcześniej możliwości symulacji źródeł sygnału.

Wykazujące się niekwestionowanymi zaletami generatory arbitralne są obecnie integrowane z oscyloskopami przez niemal wszystkich producentów. Można je znaleźć nawet w najniższych rodzinach. Na przykład oscyloskopy DS1000Z Rigola mają wbudowany generator tego typu wytwarzający przebiegi o częstotliwości do 25 MHz. Wbudowany edytor umożliwia tworzenie własnych przebiegów bezpośrednio na oscyloskopie, ale producenci dostarczają najczęściej odpowiednie oprogramowanie znacznie usprawniające tę czynność.

Wojna marketingowa w tle ofertowego zawrotu głowy

Jeszcze nieco ponad ćwierć wieku temu oscyloskop był przyrządem, o którym wielu elektroników mogło tylko pomarzyć. Zaporowe ceny były nieosiągalne dla amatorów, a ograniczone stosunki gospodarcze z krajami zachodnimi nie sprzyjały sprowadzaniu sprzętu zachodniego do Polski. Polscy wytwórcy (praktycznie 2 firmy) nie miały technologii umożliwiającej produkcję własnych oscyloskopów cyfrowych. Zaporę stanowiły znane z czasów PRL ograniczenia COCOM-owskie odcinające nas od najnowocześniejszych podzespołów elektronicznych. Sytuacja dość szybko zaczęła się poprawiać po zmianach ustrojowych. Nasz rynek zapełniał się głównie aparaturą sprowadzaną z Zachodu, co postawiło polskie firmy w bardzo trudnym położeniu. Rodzima produkcja załamała się i praktycznie do dziś nie została odbudowana.

Otwarcie na Zachód spowodowało natomiast pojawienie się na naszym rynku nowoczesnej aparatury pomiarowej. Powstawała sieć dystrybucyjna oparta na biurach przedstawicielskich i firmach mających uprawnienia wyłącznych dystrybutorów. Na korzystne zmiany wpływał też szybki postęp techniczny. W efekcie potencjalny klient ma dzisiaj zgoła odmienny problem od klienta sprzed 30 lat. Obecnie wybranie optymalnego zakupu wymaga skrupulatnej analizy wielu ofert. Zadanie to nie jest łatwe ze względu na brak jednolitej metody porównywania wyrobów. Ponadto producenci bardzo często naciągają niektóre parametry, poprawiając tym samym marketingowy wizerunek urządzeń. Dobrym przykładem są wyświetlacze. W ulotkach nawet 5-calowy wyświetlacz z matrycą 234×320 punktów charakteryzuje się niezwykle bogatą paletą 256 kolorów i doskonałym kontrastem, co ma stworzyć pozory, że mamy do czynienia z wyrobami najwyższej klasy.

Za pozornie czystą rywalizacją producentów kryje się dość ostra, choć niejawna wojna marketingowa. Uwidacznia się ona dopiero po uważnej lekturze instrukcji serwisowych i innych dokumentów technicznych urządzeń, które wprawdzie nie są tajne, ale też producenci nie umieszczają ich na powszechnie dostępnych stronach internetowych. Nierzadko z dokumentów tych dowiadujemy się, że niektóre „doskonałe” parametry oscyloskopów są uzyskiwane tylko w ściśle określonych laboratoryjnych warunkach pomiarowych, których spełnianie jest praktycznie niemożliwe podczas rutynowych pomiarów wykonywanych przez użytkowników. O demonstracyjnych płytkach pomiarowych opracowywanych specjalnie pod kątem uwypuklania zalet własnych przyrządów i demaskowania wad wyrobów konkurencyjnych pisaliśmy już wielokrotnie na łamach EP.

Trudność porównywania parametrów technicznych związana jest też z niejednoznaczną ich interpretacją. Dobrymi przykładami są: szybkość próbkowania i długość rekordu. Chociaż obserwujemy szybki postęp technologiczny, nadal w większości oscyloskopów układy akwizycji pracują z tzw. przeplotem. Jeden przetwornik obsługuje w takim trybie dwa kanały pomiarowe, co oznacza, że w przypadku używania dwóch kanałów efektywna szybkość próbkowania w jednym kanale spada o połowę w porównaniu z szybkością przetwornika.

W materiałach marketingowych fakt ten nie zawsze jest czytelnie zaznaczany. Na przykład, jeśli przy wartości liczbowej nie zamieszczono żadnej adnotacji, trudno jest stwierdzić, czy parametr jest zależny od trybu pracy układu akwizycji, czy nie. Dla uniknięcia tej niejednoznaczności niektórzy producenci podają czytelną informację o tym, że szybkość próbkowania, np. 1 GSa/s, dotyczy każdego kanału. Podobnie jest z długością rekordu, który często jest dzielony na poszczególne kanały. Pamiętajmy ponadto, że w materiałach reklamowych i informacyjnych podawana jest maksymalna szybkość próbkowania występująca tylko dla najszybszych podstaw czasu.

Jednym z głównych parametrów używanych jako argument w rywalizacji o prymat pierwszeństwa jest szybkość rejestrowania ramek. Rzeczywiście, duża wartość tego parametru ułatwia wykrywanie przypadkowych zakłóceń pojawiających się w sygnale mierzonym. Problem jest jednak istotny przede wszystkim w urządzeniach o złożonej budowie, zawierających układy cyfrowe czułe na zakłócenia impulsowe. Dla przeciętnego użytkownika ma znaczenie raczej drugoplanowe.

Przypadkowe impulsy, wynikające na przykład z istnienia hazardów w źle zaprojektowanym układzie cyfrowym, są doskonale widoczne na oscylogramach oscyloskopów o wystarczająco dużej szybkości przechwytywania ramek (rysunek 1). Innym narzędziem ułatwiającym lub wręcz umożliwiającym wykrywanie podobnych zakłóceń są złożone typy wyzwalania.

Rysunek 1. Przypadkowe zakłócenie wyświetlane na ekranie oscyloskopu o dużej szybkości przechwytywania obrazów

Sprzętowe kryteria wyboru

Mimo że w artykule pojawiły się takie hasła, jak trend i moda, to jednak oscyloskopu nie kupuje się na jeden sezon. Zakup powinien więc być głęboko przemyślany, a im większy budżet przewidziano na ten cel, tym wnikliwiej należy analizować oferty.

Pierwsze parametry brane pod uwagę to zwykle: pasmo analogowe, szybkość próbkowania i długość rekordu. Rzeczywiście, na podstawie tych danych można ocenić wydajność i najważniejsze parametry techniczne oscyloskopu, ale ostateczna decyzja nie powinna być podejmowana wyłącznie na tej podstawie. Następnie patrzymy na liczbę analogowych kanałów pomiarowych. Jeśli planowane jest używanie oscyloskopu do pomiarów urządzeń cyfrowych, warto rozważyć modele z wejściami cyfrowymi. Należy jednak zaznaczyć, że nawet w rodzinach MSO (Mixed Signal Oscilloscope), a więc takich, które są preferowane do pomiarów sygnałów mieszanych (analogowych i cyfrowych), sondy logiczne występują jako opcjonalne wyposażenie dodatkowe zwiększające dość istotnie cenę urządzenia. Na szczęście większość obecnie produkowanych oscyloskopów, niezależnie od producenta, jest przystosowana do programowej rekonfiguracji, uwzględniającej podwyższanie modelu. Taka strategia umożliwia wprawdzie wykonywanie nieuprawnionych operacji przez nieuczciwych użytkowników, ale w ogólnym rozrachunku chyba nie przeszkadza to producentom, gdyż nie rezygnują oni z takiej formy sprzedaży. W przypadku rozszerzania zdolności pomiarowych oscyloskopu o sygnały cyfrowe oficjalny zakup odpowiednich sond i tak jest nieunikniony.

Oscyloskopy klasy MSO umożliwiają analizę logiczną przebiegów cyfrowych, ale również pomiar parametrów analogowych tych sygnałów. Jednym z ważniejszych jest czas narastania pozostający w dość silnym związku z pasmem analogowym. Parametr „czas narastania” określa czas najszybciej narastającego lub opadającego zbocza przebiegu cyfrowego, który może być zmierzony oscyloskopem. Prowadzi to do wniosku, że zmierzony czas narastania nawet idealnego skoku jednostkowego nie będzie nigdy krótszy od tego parametru.

Jednocześnie mierząc impuls o czasie narastania równym parametrowi „czas narastania”, popełniamy aż 41-procentowy błąd. Maleje on wraz z łagodzeniem zbocza impulsu. Jeśli w danych technicznych oscyloskopu nie podano czasu narastania, można go oszacować jako 0,35/BW (BW - pasmo analogowe). Wartość ta zależy jednak od kilku czynników, m.in. od rodzaju stosowanej interpolacji i włączonych filtrów, a także wewnętrznych rozwiązań układowych toru pomiarowego.

Funkcjonalność, która nadal przyczynia się do rywalizacji producentów, to wykrywanie impulsów przypadkowych. W pierwszych oscyloskopach cyfrowych problemem, z którym dość długo nie radzili sobie konstruktorzy, był tzw. czas martwy. Po zapełnieniu rekordu akwizycji procesor musiał poddać obróbce zapisane w nim dane. Uwzględniał przy tym wszystkie wymagania użytkownika określone w ustawieniach różnych opcji i funkcji pomiarowych. Dopiero po zakończeniu tych operacji dane mogły być wyświetlane na ekranie. Można więc zastosować analogię pomiędzy czasem martwym oscyloskopu cyfrowego i czasem powrotu plamki w oscyloskopie analogowym. Niestety, podczas obróbki danych rekord akwizycji z oczywistych powodów musi pozostawać niezmienny, ale wówczas mogą wystąpić zakłócenia. Oscyloskop ich nie zauważy.

Początkowo konstruktorzy oscyloskopów dążyli z różnym skutkiem do maksymalnego skracania czasu martwego. Tektronix długo utrzymywał strategię minimalizacji rekordu akwizycji, co wydaje się logicznym założeniem. Im mniej danych, tym krótszy jest czas obróbki.

Niestety, zmniejszają się przy tym możliwości analizy przebiegów. Idealnym rozwiązaniem problemu okazała się segmentacja pamięci. Jedną z pierwszych firm, która wprowadziła to rozwiązanie, był Rohde & Schwarz. Obecnie technika ta jest stosowana w oscyloskopach każdego liczącego się producenta.

Wykrywanie krótkich, przypadkowych zakłóceń wymaga bardzo dużych szybkości próbkowania, ale to z kolei przyczynia się do szybkiego zapełniania rekordu akwizycji. Co gorsza, większa część rekordu może zawierać zupełnie nieprzydatne dane. Przy szybkich podstawach czasu i długim rekordzie skraca się okno czasowe akwizycji, natomiast akwizycja w długim czasie wymaga wydłużenia podstawy czasu, a to z kolei może uniemożliwić wykrycie krótkich impulsów. Rekord podzielony na segmenty jest zapełniany tylko częściowo (segmentami) z zachowaniem dużej szybkości próbkowania. Zapis jest inicjowany wystąpieniem warunku wyzwalającego. Typy wyzwalania odgrywają więc bardzo ważną rolę podczas korzystania z segmentacji rekordu. Podział rekordu na segmenty umożliwia zapełnianie go z wymaganą do przechwycenia krótkich impulsów podstawą czasu i szybkością próbkowania. W pomiarach z segmentacją pamięci niemal całkowicie eliminowane są ewentualne opóźnienia związane z akwizycją, co radykalnie zwiększa szanse wykrywania przypadkowych zakłóceń.

Wadą pomiarów z segmentacją pamięci jest utrata ciągłości skali czasu, co jest spowodowane wyzwalaniem od losowo pojawiających się impulsów. Każdy segment jest w związku z tym oznaczany stemplem zawierającym dane o chwili wyzwolenia, i na tej podstawie można określić zależności czasowe pomiędzy poszczególnymi impulsami przechwyconymi przez układ akwizycji oscyloskopu.

Funkcjonalne kryteria wyboru, prawdopodobne drogi rozwoju

Szybkość próbkowania i pasmo analogowe nie powinny być jedynymi kryteriami wyboru oscyloskopu. Czasami równie ważne są cechy funkcjonalne, takie jak: tryby i typy wyzwalania, obliczenia matematyczne, funkcje wyszukiwania zdarzeń w rekordzie akwizycji oraz rozciągania oscylogramu (funkcja zoom) i nawigowania po rekordzie danych.

Ogólna funkcjonalność oscyloskopu w dużym stopniu jest określona systemem wyzwalania. Jest to zresztą kolejny element rywalizacji producentów. O ile tryby wyzwalania pozostają prawie niezmienne, ograniczone na ogół do wyzwalania Auto, Normal i Single, to w opracowywaniu typów wyzwalania toczy się bezustanny wyścig. Tradycyjnie najnowsze opracowania pojawiają się w najmocniejszych rodzinach, a z czasem są powielane w modelach niższych. Do standardów należą typy wyzwalania takie jak: Edge, Pulse Width, Timeout, Runt, Window, Setup&Hold, Sequence itp. W oscyloskopach z funkcjami analizy protokołów dostępne są zwykle również typy wyzwalania związane ze zdarzeniami występującymi w poszczególnych interfejsach, np. bit startu lub stopu w interfejsie UART, wystąpienie określonego adresu układu slave w interfejsie I2C albo wykrycie określonej danej w interfejsie SPI.

Wyposażenie oscyloskopów w ekran dotykowy przyczyniło się do wprowadzenia nowego trybu wyzwalania - wyzwalania obszarem. Użytkownik rysuje palcem na ekranie obszar (najczęściej prostokąt), w którym analizowane jest wystąpienie warunku wyzwalającego (rysunek 2). Pozostała część przebiegu jest pomijana.

Rysunek 2. Wyzwalanie obszarem w oscyloskopach MSO7000 Rigola

Strategia producentów w zakresie udostępniania analizy poszczególnych protokołów komunikacyjnych jest różna. W cenie oscyloskopu najczęściej występuje tylko obsługa interfejsu równoległego, każdy inny jest dostępny jako opcja płatna. Zapewne większość użytkowników pragnęłaby, aby w standardzie zawarte były protokoły SPI i UART, może jeszcze I2C (wiadomo, apetyt rośnie w miarę jedzenia). Prawdopodobnie większość potencjalnych nabywców pogodziłaby się nawet z nieco podwyższoną ceną oscyloskopu.

Niewykluczone, że dodatkowy koszt nie zostałby nawet dostrzeżony. Klienci mieliby za to poczucie otrzymania czegoś gratis, a kto nie lubi dostawać prezentów. Może więc dziwić, że specjaliści od marketingu nie zauważają takich zależności. Małe kroczki wykonuje w tym kierunku Rigol, dodając analizę wybranych protokołów w promocjach - warto je śledzić przed zakupem. Swoją drogą, o ile bardziej przydatna byłaby możliwość analizy choćby jednego wybranego protokołu niż na przykład wyzwalanie typu Runt lub Window.

Przez ostatnie lata obserwowaliśmy stały wzrost rozdzielczości i wielkości wyświetlaczy stosowanych w oscyloskopach. Choć wydaje się, że pewne optimum zostało już osiągnięte, nigdy nie wiadomo co jeszcze zaproponują nam producenci. Przez długie lata 21-calowy telewizor ledwie mieścił się w umeblowaniu mieszkań, dzisiaj 50-calowy telewizor jest już standardem. Trudno stwierdzić czy np. 50-calowy ekran oscyloskopu byłby wygodny w pracy inżyniera posługującego się tym przyrządem. Natomiast można przewidywać, że zwykłe wyświetlacze będą powoli wypierane przez ekrany dotykowe.

Z ekranem dotykowym wiąże się kolejny trend, który obserwujemy już dzisiaj. Jest to implementacja w oscyloskopach kompletnych aplikacji wykonujących określone zadania pomiarowe. Aplikacje takie są uruchamiane dotknięciem symbolizujących je ikonek wyświetlanych na ekranie. Dokładnie tak samo, jak uruchamia się aplikacje na smartfonach. Podobny cel jest osiągany za pomocą specjalistycznych programów dostarczanych przez producenta oscyloskopu i uruchamianych na komputerze. Aby była możliwa praca w czasie rzeczywistym, komputer i oscyloskop muszą być ze sobą połączone. Rozwiązanie takie było do tej pory stosowane głównie ze względu na znacznie większą moc obliczeniową komputera niż oscyloskopu. Obecnie sytuacja jest często wręcz odwrotna, to oscyloskop okazuje się bardziej wydajny niż komputer.

Przykładem podążania w tym kierunku jest opisany w EP 2/2016 - program Ultra Power Analyzer przeznaczony do pomiarów mocy oscyloskopami Rigola. Pierwotnie był on przewidziany do używania wyłącznie na komputerze, ale użytkownicy rodzin MSO5000 i MSO7000 mogą obecnie korzystać z analogicznej aplikacji zaimplementowanej bezpośrednio w oprogramowaniu tych przyrządów (rysunek 3). Pamiętajmy jednak, że do pomiaru mocy niezbędne są sondy: wysokonapięciowa i prądowa. Nie obejmuje ich standardowe wyposażenie oscyloskopu. Pomiar mocy jest więc dostępny jako opcja.

Rysunek 3. Aplikacja Ultra Power Analyzer uruchamiana bezpośrednio na oscyloskopie rodziny MSO7000 Rigola

Funkcje pomiaru mocy są oferowane również przez innych producentów. Wbrew pozorom nie są to zagadnienia banalne, a do precyzyjnych pomiarów wymagane są oscyloskopy wyższych rodzin. Newralgicznym punktem jest pomiar strat mocy przełączania w tranzystorach występujących w przetwornicach impulsowych. Moc jest wówczas mierzona w bardzo wąskich przedziałach czasu, co wymaga stosowania dużych szybkości próbkowania. Aby zachować dużą precyzję pomiaru, wymagana jest nie tylko duża rozdzielczość czasowa, równie ważna może być rozdzielczość przetworników analogowo-cyfrowych. Oscyloskopy rodzin MSO5000 i MSO7000 Rigola mają przetworniki 8-bitowe, co stawia pod znakiem zapytania ich przydatność w takich pomiarach. Będą one natomiast przydatne w typowych pomiarach mocy i jakości energii elektrycznej.

Ważnym zagadnieniem dotyczącym nie tylko pomiarów mocy i niezależnym od marki oraz typu oscyloskopu jest prawidłowe ustawianie czułości torów pomiarowych. Jeśli celem pomiaru jest określenie parametrów sygnału, a nie tylko obserwacja jego kształtu, czułość powinna być dobierana tak, aby przebieg wypełniał możliwie całą wysokość ekranu. Jest to szczególnie ważne w pomiarach oscyloskopami 4-kanałowymi, gdy użytkownicy rozmieszczają na ekranie wszystkie przebiegi jeden pod drugim, zmniejszając tym samym aż 4-krotnie rzeczywistą rozdzielczość pomiaru.

Wróćmy jeszcze do pomiarów oscyloskopowych. Starsi użytkownicy tych przyrządów musieli się kiedyś nieźle natrudzić, aby zmierzyć na przykład przesunięcie fazowe między dwoma przebiegami. Młodzi użytkownicy mogą nawet nie wiedzieć, co to są i do czego są przydatne krzywe Lissajous. We współczesnych oscyloskopach wszystkie parametry są mierzone automatycznie metodami cyfrowymi. Liczba pomiarów w zależności od rodziny oscyloskopu sięga od ok. 20 do ponad 50. Uzupełnieniem pomiarów automatycznych są obliczenia matematyczne pozwalające określać wzajemne relacje między używanymi kanałami pomiarowymi, symulować czujniki wielkości fizycznych oraz charakterystyki różnych urządzeń, filtrować przebiegi itp. Funkcje matematyczne są różnie implementowane przez poszczególnych producentów. Jeśli planowane jest ich użycie, warto zwrócić uwagę na to, czy funkcje mogą być zagnieżdżane, ewentualnie jak głębokie to zagnieżdżanie może być. W najprostszych oscyloskopach obliczenia matematyczne obejmują tylko podstawowe operacje matematyczne, a więc dodawanie, odejmowanie, mnożenie i dzielenie, w wyższych modelach dostępnych jest również wiele zaawansowanych funkcji, takich jak całkowanie, różniczkowanie, pierwiastkowanie itp. Każdy producent wypracował własny sposób implementacji funkcji matematycznych, co przekłada się na wygodę edytowania wyrażeń stosowanych w obliczeniach (rysunek 4).

Rysunek 4. Edytor wyrażeń matematycznych w oscyloskopie Rohde & Schwarz

Miniaturowy, ręczny, USB czy biurkowy

W artykule ograniczono się do omówienia oscyloskopów stacjonarnych, biurkowych, które są praktycznie jedynym wyborem do zastosowań profesjonalnych. Odrębną kategorią są oscyloskopy ręczne (handyskopy) używane w pomiarach terenowych. Ich parametry pokrywają się z niższymi lub średnimi modelami oscyloskopów stacjonarnych. Pasmo analogowe najczęściej nie przekracza 200 MHz, a szybkość próbkowania jest nie większa niż 1 GSa/s. Wyjątkiem jest ScopeMeter 190 Fluke, który mierzy w paśmie do 500 MHz z maksymalną szybkością próbkowania 5 GSa/s, ale wyświetlacz 320×240 punktów, jak na dzisiejsze wymagania i przyzwyczajenia użytkowników, jest niewystarczający. Wyświetlacze nie są mocną stroną handyskopów, ale nawet mniej liczące się firmy nie stosują mniejszych matryc niż 640×480 punktów.

Handyskopy łączą często cechy i funkcje pomiarowe multimetrów cyfrowych i oscyloskopów. Zaletą droższych modeli są galwanicznie izolowane wejścia, co w pomiarach serwisowych na liniach produkcyjnych jest wręcz wymogiem.

Przez pewien czas sporą popularnością cieszyły się oscyloskopy USB, często określane jako przystawki do komputerów. Obecnie zainteresowanie nimi chyba zmalało, chociaż nadal pozostają w ofertach sprzedaży. Producentami (lub markami własnymi) tego rodzaju oscyloskopów są np. Pico Technology, Velleman, Red Pitaya, Clock Computer Corporation i rodzimy RK-System. Są to oscyloskopy kierowane przede wszystkim do amatorów i mniejszych serwisów. Do wyjątków należy natomiast zaliczyć oscyloskop tej klasy produkowany przez Digilenta - Analog Discovery 2. Przyrząd ten ma dość przeciętne parametry techniczne, szczególnie gdy ujmiemy je w kontekście wymienionych w artykule marek, ale odznacza się niekwestionowanymi zaletami edukacyjnymi. Oscyloskop ten, a właściwe kompletne stanowisko pomiarowe, integruje większość podstawowych przyrządów, a więc: oscyloskop, generator arbitralny, analizator stanów logicznych, woltomierz, logger, analizator widma (FFT), generator przebiegów cyfrowych, analizator protokołów, zestaw cyfrowych wejść i wyjść, miernik impedancji oraz miernik przeznaczony do zdejmowania charakterystyk częstotliwościowych czwórników.

Niemal całkowite wyparcie komputerów stacjonarnych przez laptopy spowodowało równie drastyczny spadek zainteresowania oscyloskopowymi kartami pomiarowymi. Sytuacja ta jest praktycznie nie do odratowania. O tym specyficznym typie oscyloskopu musimy raczej zapomnieć.

Podsumowanie

Jak wynika z przedstawionego zestawienia, oferta oscyloskopów cyfrowych jest przeogromna. Sprzęt można wybierać, kierując się ulubionymi markami, parametrami technicznymi i cechami funkcjonalnymi, a przede wszystkim zasobnością portfela. Cieszyć może szybki postęp w dziedzinie konstruowania nowych typów i modeli oscyloskopów, co przekłada się na obniżanie cen. Bardziej wytrwali mogą wypatrywać okazji wyprzedażowych i akcji promocyjnych. Na przykład w ramach Black Friday 2019 można było kupić oscyloskop Tektroniksa MDO34 serii 3 aż z 60-procentowym upustem.

Jarosław Doliński, EP

Artykuł ukazał się w
Elektronika Praktyczna
styczeń 2020
DO POBRANIA
Pobierz PDF Download icon
Elektronika Praktyczna Plus lipiec - grudzień 2012

Elektronika Praktyczna Plus

Monograficzne wydania specjalne

Elektronik listopad 2025

Elektronik

Magazyn elektroniki profesjonalnej

Raspberry Pi 2015

Raspberry Pi

Wykorzystaj wszystkie możliwości wyjątkowego minikomputera

Świat Radio listopad - grudzień 2025

Świat Radio

Magazyn krótkofalowców i amatorów CB

Automatyka, Podzespoły, Aplikacje listopad - grudzień 2025

Automatyka, Podzespoły, Aplikacje

Technika i rynek systemów automatyki

Elektronika Praktyczna listopad 2025

Elektronika Praktyczna

Międzynarodowy magazyn elektroników konstruktorów

Elektronika dla Wszystkich grudzień 2025

Elektronika dla Wszystkich

Interesująca elektronika dla pasjonatów