Dławiki w obwodach zasilania

Dławiki w obwodach zasilania
Pobierz PDF Download icon

W torach zasilania układów elektronicznych często stosuje się dławiki lub ich odmianę – koraliki ferrytowe. Mają one filtrować napięcie i oczyszczać je z tętnień i innych zakłóceń. Wielu konstruktorów wybiera typ dławika czy koralika dość niefrasobliwie, bez przemyślenia. Tymczasem źle dobrany dławik wyrządzi więcej szkody niż pożytku! W artykule pokażemy, jak prawidłowo zaprojektować filtr zasilania z dławikiem.

Rozważania przeprowadzimy na praktycznym przykładzie. W systemie, który projektujemy, jest mikrokontroler STM32 zawierający przetwornik analogowo-cyfrowy. Chcemy zasilić część analogową mikrokontrolera czystym napięciem, w którym tętnienia nie przekroczą kilku mVpp. Zamierzamy zastosować filtr dolnoprzepustowy LC. Zasilanie cyfrowe pochodzi ze stabilizatora impulsowego o tętnieniach na poziomie 100 mVpp, karta katalogowa stabilizatora podaje częstotliwość taktowania 500 kHz.

Na wyprowadzeniach zasilania analogowego w mikrokontrolerze umieszczamy, zgodnie z zaleceniem producenta, kondensator ceramiczny 1 µF. Jako dławik stosujemy, znaleziony szybko, typ MURATA LQM21FN220N00L o indukcyjności 22 µH w obudowie SMD 0805.

Rysunek 1. Filtr z dławikiem LQM21FN220N00L (a) i jego charakterystyka częstotliwościowa (b)

Zbadajmy charakterystykę częstotliwościową tak otrzymanego filtru. Posłużymy się prostym modelem cewki, złożonym z indukcyjności i rezystancji połączonych szeregowo (rysunek 1a). Cewka ma też pasożytniczą pojemność międzyzwojową, ale pominiemy ją, bo jej wpływ ma znaczenie dopiero przy dziesiątkach MHz.

Na rysunku 1b została pokazana charakterystyka częstotliwościowa tego filtru. Jak widać, filtr ten zaczyna tłumić dopiero od 50 kHz, a w niższym zakresie nie tylko nie tłumi, ale wręcz wzmacnia! Można tu argumentować, że wzmacnianie filtra poniżej częstotliwości 50 kHz nie ma znaczenia, bo stabilizator produkuje tętnienia o częstotliwości 500 kHz. Z takiego założenia nie należy wychodzić!

Rysunek 2. Wynik symulacji czasowej filtru; na wejściu przebieg 30 kHz

Wysoka częstotliwość taktowania wystąpi tylko przy pracy ciągłej. Słabo obciążony stabilizator przechodzi w tryb nieciągły, pracując z częstotliwością wielokrotnie mniejszą niż maksymalna. Jest jak najbardziej możliwe, że tętnienia napięcia trafią w krytyczny zakres częstotliwości. Ilustruje to spektakularny wynik symulacji czasowej (rysunek 2), gdzie na wejściu filtra mamy napięcie piłokształtne 30 kHz 0,1 Vpp, symulujące tętnienia stabilizatora w nieciągłym trybie pracy. Na wyjściu pojawia się piękna sinusoida o amplitudzie prawie 1 Vpp. Przy takim zasilaniu układ analogowy nie ma szans działać poprawnie.

Analiza teoretyczna

Co możemy zrobić w takiej sytuacji? Musimy zmienić typ dławika lub kondensatora, ale nie na ślepo. Najpierw krótka analiza teoretyczna. Transmitancja zespolona filtra z rysunku 1a jest reprezentowana następującym wzorem:

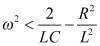
Jak wiadomo, obwód LC może wchodzić w rezonans, co objawia się amplitudami napięcia na cewce i na kondensatorze większymi niż amplituda napięcia pobudzającego. W filtrze dolnoprzepustowym dochodzi wtedy do podbicia charakterystyki częstotliwościowej (moduł wzmocnienia staje się większy niż 1). Zjawisko to występuje gdy zachodzi warunek

Aby warunek ten nie był spełniony dla żadnej pulsacji, prawa strona powyższej nierówności musi być mniejsza od zera. Wynika stąd następująca nierówność:

Sprawdźmy nasz przypadek: w dławiku LQM21FN220N00L stosunek 2L/R2 wynosi ok. 360 µF, natomiast kondensator daliśmy o pojemności 1 µF. Nierówność jest więc daleka od spełnienia, a filtr będzie wzmacniał zamiast tłumić w zakresie częstotliwości do 48 kHz (rysunek 3, krzywa czerwona).

Rysunek 3. Charakterystyki częstotliwościowe różnych wariantów filtru do mikrokontrolera

Działania zaradcze

Uratowanie sytuacji bez zmiany pierwotnej wartości indukcyjności, jest możliwe po zwiększeniu rezystancji szeregowej lub zwiększeniu pojemności. Spróbujmy najpierw z pojemnością. W ostatnich latach rozpowszechniły się kondensatory ceramiczne MLCC o dużych pojemnościach. Użyjmy kondensatora 10 µF. Sytuacja wygląda o wiele lepiej, co na rysunku 3 pokazuje charakterystyka niebieska. Nadal jednak mamy lekki „garb” w obszarze do 15 kHz, a tłumienie zaraz powyżej tej częstotliwości jest marne.

Zastosujemy teraz inny dławik, też 22 µH, ale o znacznie większej rezystancji szeregowej (Viking NL03KT220; 4,7 Ω). Zwiększona rezystancja spowoduje wprawdzie większy spadek napięcia stałego, ale jest to w tym przypadku mało istotne, gdyż prąd zasilania analogowego w mikrokontrolerach STM32 jest rzędu 1 mA. Znów sprawdzamy stosunek 2L/R2 i wynosi on teraz tylko 2 µF, pięciokrotnie mniej niż pojemność kondensatora na wyjściu, a zatem wzmacnianie już przy żadnej częstotliwości nie wystąpi. Charakterystykę ukazuje krzywa fioletowa. Osiągnęliśmy niezłe tłumienie już od 10 kHz.

Moglibyśmy na tym zakończyć czynności projektowe. Sprawdźmy jednak jeszcze jedną rzecz, a mianowicie: czy indukcyjność jest w ogóle potrzebna? Zmniejszamy ją do zera, czyli zamiast dławika dajemy rezystor 4,7 Ω. Wykres charakterystyki widzimy w kolorze czarnym. Brak indukcyjności daje znać o sobie już powyżej 20 kHz. Nachylenie charakterystyki tłumienia wynosi jedynie 20 dB na dekadę zamiast, jak poprzednio, 40 dB. Taki filtr RC spełni zadanie tylko w mniej wymagających zastosowaniach.

Obwody o większym prądzie

Niekiedy rezystancja szeregowa dławika musi być niska. Takim przypadkiem jest zasilanie rozbudowanej elektroniki analogowej, na przykład kilkunastu wzmacniaczy operacyjnych, co wiąże się z poborem prądu rzędu 100 mA. Rezystancja szeregowa obwodu zasilania nie powinna wtedy przekraczać, powiedzmy, 0,1 Ω.

Rysunek 4. Charakterystyka częstotliwościowa RL622-220K-RC z różnymi kondensatorami

Znajdujemy dławik RL622-220K-RC, przewlekany, o indukcyjności 22 µH i rezystancji 0,07 Ω. Iloraz 2L/R2 wynosi dla niego ponad 4000 µF. Mało sensowne byłoby użycie na wyjściu kondensatora ceramicznego, nawet o pojemności dużej jak na ceramiczny (22 µF), co widać na rysunku 4 na czerwonym wykresie. Ewentualne zakłócenia w obszarze kilku kHz ulegną wzmocnieniu ponad 10 razy.

Zastosujemy kondensator elektrolityczny. Okazuje się, że w ten sposób upieczemy dwie pieczenie przy jednym ogniu. Po pierwsze, z łatwością zwiększymy pojemność. Po drugie, zwiększymy rezystancję szeregową obwodu, i to bez powiększania spadku napięcia stałego na dławiku. Dodatkowa rezystancja pojawi się w szereg z pojemnością wyjściową. Kondensator elektrolityczny, w odróżnieniu od ceramicznego, ma bowiem znaczną zastępczą rezystancję szeregową ESR (rysunek 5).

Rysunek 5. Schemat zastępczy filtru LC z kondensatorem elektrolitycznym

Wybieramy najpierw typ Panasonic EEE-FP1C470AP o pojemności 47 µF i ESR=0,26 Ω. Iloraz 2L/R2 spadł do ok. 400 µF. Wykres zielony na rysunku 4 pokazuje, że znacznie zmalało podbicie charakterystyki – aczkolwiek duża ESR sprawia, że tłumienie filtru jest ogólnie słabe.

Zastosujemy większy kondensator: 220 µF (Panasonic EEE-FP1E221AP). Tu trzeba zwrócić uwagę na fakt, że większe kondensatory mają zwykle mniejszą ESR, co niejako niweczy „zbawienny wpływ” wzrostu pojemności na kształt charakterystyki. Tak jest też w tym wypadku. Pojemność wzrosła, ale ESR spadła do 0,08 Ω, co sprawiło, że na charakterystyce spore podbicie nadal występuje (kolor czarny). Trzeba jednak zauważyć, że w zakresie powyżej 10 kHz kilkakrotnie poprawiło się tłumienie.

Idąc za ciosem, zwiększamy pojemność do 1000 µF (Panasonic EEU-FP1E102B; ESR=0,05 Ω). Tym posunięciem mocno zredukowaliśmy podbicie charakterystyki i jednocześnie poprawiliśmy tłumienie filtra już od kilku kHz (charakterystyka fioletowa). Taki filtr spełni oczekiwania w większości zastosowań.

Można jeszcze polepszyć tłumienie powyżej 100 kHz poprzez dodanie równolegle na wyjściu kondensatora ceramicznego 22 µF (kolor niebieski). Zauważmy przy tym ciekawy fakt: ten sam kondensator ceramiczny, pozbawiony obecności elektrolitycznego „kolegi”, spisywał się źle – powodował silne podbicie charakterystyki częstotliwościowej (wykres czerwony).

Znam z praktyki podobny przypadek. Na zaciskach zasilania pewnego układu znajdował się, zgodnie z zaleceniem producenta użytej tam przetwornicy DC/DC, duży kondensator ceramiczny. Okazało się, że w niektórych egzemplarzach układu dochodzi do uszkodzeń.

Wyszło na jaw, że podczas załączania napięcia zasilającego występowały znaczne przepięcia na kondensatorze. Brały się one stąd, że w obwodzie zasilania, za sprawą indukcyjności przewodów zasilających i bardzo niskiej ESR kondensatora, utworzył się obwód rezonansowy o dużej dobroci. Problem załatwiło dodanie niedużego kondensatora elektrolitycznego równolegle do ceramicznego. Impedancja ESR dodatkowego kondensatora wytłumiła obwód LC, znacznie zmniejszając jego dobroć. Przepięcia zniknęły.

Koralik ferrytowy zamiast dławika

W roli dławika używany jest często tzw. koralik ferrytowy (ferrite bead). Jest to element o charakterze w przybliżeniu indukcyjnym, choć przy wyższych częstotliwościach ujawnia się rezonans (rysunek 6a). Uwzględnia to schemat zastępczy zawierający obwód LC (rysunek 6b).

Rysunek 6. Charakterystyka impedancji koralika ferrytowego BLM18SG221TN1 (a) i jego schemat zastępczy (b)

Koraliki mają niewielką indukcyjność, do kilku µH, więc nadają się raczej do odfiltrowywania zakłóceń o dużych częstotliwościach (powiedzmy od setek kHz w górę), na przykład „szpilek” wytwarzanych na linii zasilania przez szybkie układy cyfrowe.

Z moich obserwacji wynika, że do prawidłowego wyboru koralika konstruktorzy przywiązują jeszcze mniejszą wagę niż do wyboru dławika drutowego. Nieraz można zobaczyć schemat, na którym w linii zasilania umieszczono po prostu „koralik”, bez podania typu.

Przekonajmy się, czym tutaj grozi niefrasobliwość.

Znowu naszym zadaniem projektowym będzie filtr zasilania analogowego do mikrokontrolera, choć tym razem napięcie wejściowe pochodzi ze stabilizatora liniowego. Mamy więc do czynienia z zasilaniem w zasadzie gładkim, choć z nałożonymi szybkimi zakłóceniami.

Zastosujemy koralik MURATA BLM18SG221TN1. Na wyjściu dołączymy kondensator ceramiczny 1 µF. Charakterystykę częstotliwościową pokazuje wykres czerwony na rysunku 7. Ten kształt charakterystyki jest zapewne znany – widać silny „pik”. Nigdy nie wiadomo, czy na linii nie pojawi się zakłócenie o częstotliwości akurat wpasowującej się we wzmacniany zakres (100…150 kHz), nawet jeżeli jest to mało prawdopodobne. Takiego filtru nie akceptujemy.

Rysunek 7. Charakterystyki częstotliwościowe filtrów z koralikami ferrytowymi

Postępując podobnie jak w przypadku dławika, zmienimy typ koralika na taki o większej rezystancji szeregowej. Koralik BLM18SG221TN1 ma rezystancję 40 mΩ i prąd dopuszczalny 2,5 A – co jest w tym wypadku zupełnie niepotrzebne. Zastosujemy typ BLM18TG102TN1 o rezystancji 600 mΩ. Charakterystykę widzimy na wykresie zielonym. Już jest lepiej i w zasadzie można by było ten filtr zostawić. Wypróbujmy jednak trzeci typ koralika: BLM18HK102SN1. Ma on rezystancję szeregową aż 1,5 Ω i to wywiera korzystny wpływ na kształt charakterystyki (kolor niebieski). Model tego koralika zawiera taką samą indukcyjność jak typ poprzedni, co sprawia, że obie charakterystyki od częstotliwości 200 kHz pokrywają się.

Sprawdźmy jeszcze, co da zwiększenie kondensatora do 10 µF. Widzimy (wykres fioletowy), że taki filtr nie pozostawia w zasadzie nic do życzenia. Ma znakomite tłumienie począwszy od setek kHz, a zrealizowany z elementów SMD zajmie mniej niż 4 mm2.

Podsumowanie

Niniejszy artykuł nie wyczerpuje tematu. Mam jednak nadzieję, że uczuli konstruktorów na wagę problemu i skłoni ich do przemyślanego dobierania elementów w filtrach z dławikami. Wystarczy zawczasu wykonać proste rachunki i przeprowadzić parę prób w jakimś symulatorze układów elektronicznych, a zaprojektowany poprawnie filtr zaoszczędzi nam sporo kłopotów.

Jarosław Ziembicki
j.ziembicki@wp.pl

Artykuł ukazał się w
Elektronika Praktyczna
styczeń 2021
DO POBRANIA
Pobierz PDF Download icon
Elektronika Praktyczna Plus lipiec - grudzień 2012

Elektronika Praktyczna Plus

Monograficzne wydania specjalne

Elektronik listopad 2025

Elektronik

Magazyn elektroniki profesjonalnej

Raspberry Pi 2015

Raspberry Pi

Wykorzystaj wszystkie możliwości wyjątkowego minikomputera

Świat Radio listopad - grudzień 2025

Świat Radio

Magazyn krótkofalowców i amatorów CB

Automatyka, Podzespoły, Aplikacje listopad - grudzień 2025

Automatyka, Podzespoły, Aplikacje

Technika i rynek systemów automatyki

Elektronika Praktyczna listopad 2025

Elektronika Praktyczna

Międzynarodowy magazyn elektroników konstruktorów

Elektronika dla Wszystkich grudzień 2025

Elektronika dla Wszystkich

Interesująca elektronika dla pasjonatów