Budujemy mosty - czyli mostki pomiarowe w elektronice (2)

Budujemy mosty - czyli mostki pomiarowe w elektronice (2)

W poprzedniej, pierwszej części artykułu, omówiliśmy podstawy działania mostków pomiarowych. Znamy podstawy działania takiej topologii elementów pasywnych, jednak same mostki na niewiele się zdają, bez odpowiednich układów aktywnych.

W pierwszej części artykułu omówiono konstrukcję mostka pomiarowego – układu czterech elementów pasywnych (typowo oporowych), służącego do pomiaru niewielkich zmian rezystancji (czy impedancji w systemach napięcia zmiennego, o których jeszcze nie pisaliśmy). Na rysunku 1 pokazano najprostszy schemat mostka pomiarowego, tak zwany mostek Wheatstone’a.

Rysunek 1. Uproszczony schemat mostka pomiarowego

Po przyłożeniu napięcia wzbudzenia (VCC) do mostka pomiarowego, mierzone będzie tzw. napięcie niezrównoważenia, pomiędzy punktami D i B. Na ogół napięcie to jest bardzo małe i jeżeli nie korzystamy z mostka w warunkach laboratoryjnych, gdzie można stosować do jego pomiaru czuły galwanometr, konieczne jest zastosowanie odpowiednich układów analogowych, do wzmocnienia napięcia niezrównoważenia do poziomu, jaki może być następnie użyteczny dla reszty systemu – na przykład dla analogowej pętli sprzężenia zwrotnego lub przetwornika analogowo-cyfrowego (ADC).

Z jakim sygnałem mamy do czynienia

Zanim dobierzemy układ, czy topologię do połączenia z układem mostkowym, przyjrzyjmy się typowym sygnałom, z jakimi mamy do czynienia w przypadku układów mostkowych. Omówmy to na przykładzie mostka z czterema elementami zmiennymi (np. tensometrami) o rezystancji bazowej R, ułożonymi antyrównolegle (tzn. tak, że gdy dwa z nich zwiększają swoją rezystancję o ΔR, dwa pozostałe zmniejszają rezystancje o taką samą wartość). W takiej sytuacji napięcie niezrównoważenia równe jest:

Jako przykład weźmy tensometr TF1/120-P firmy TENMEX. Jego stała tensometru jest równa 2,15, a bazowa rezystancja (w stanie nierozciągniętym) równa jest 120 Ω. Oznacza to, że dla 1% odkształcenia rezystancja wzrośnie o 2,15%, czyli 2,58 Ω. Maksymalne odkształcenie dla tego elementu wynosi 5%, co przekłada się na maksymalne ΔR równe 12,9 Ω. Dla maksymalnego naprężenia i napięcia wzbudzenia mostka równego 12 V, napięcie niezrównoważenia wyniesie, zgodnie z równaniem 1, 1,29 V. To może wydawać się całkiem dużym napięciem, jednakże pamiętać należy, że jest to maksymalne napięcie, z jakim pracować ma układ. Typowe naprężenia, jakie mierzy się w układach laboratoryjnych są na poziomie pojedynczych promili, co oznacza napięcie niezrównoważenia będące, co najmniej 10 razy mniejsze (ok. 130 mV), a potrzebna nam rozdzielczość pomiarowa powinna być dalsze kilka rzędów mniejsze, co oznacza, że mierzone napięcia mogą być na poziomie pojedynczych miliwoltów.

Dodatkowo, należy pamiętać, że napięcie niezrównoważenia nie jest napięciem mierzonym względem masy. Oznacza to, że tak niewielki, miliwoltowy sygnał, „jedzie” na grzbiecie o wiele większego sygnału stałego. Wymaga to zastosowania specjalnej topologii wzmacniacza – układu różnicowego, który wzmacniać będzie tylko sygnał różnicowy, tłumiąc jednocześnie sygnał współbieżny.

Wzmacniacz pomiarowy

Wzmacniaczem pomiarowym nazywamy układ trzech wzmacniaczy operacyjnych, pokazany na rysunku 2, który charakteryzuje się występowaniem wzmacniaczy buforujących wejście, co m.in. uniezależnia działanie stopnia różnicowego układu, od impedancji obu źródeł sygnału (V1 oraz V2). Wzmacniacze A1 oraz A2 buforują napięcia wejściowe odpowiednio V1 i V2. Dodatkowo, w układzie podłączony jest pojedynczy rezystor, kontrolujący wzmocnienie Rg, który umieszczono pomiędzy wyjściami obu elementów.

Rysunek 2. Schemat typowego wzmacniacza pomiarowego

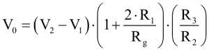
W ten sposób na oporniku Rg rozpięte jest pełne napięcie różnicowe (ponieważ A1 i A2 to bufory o jednostkowym wzmocnieniu). Dzięki temu zmieniając wartość Rg – pojedynczego opornika, można zmieniać wartość wzmocnienia dla sygnału różnicowego całego układu. Ma to tę zaletę, że po dobraniu wartości oporników R1, R2 i R3, tak, aby były one, odpowiednio, takie same, nie ma konieczności precyzyjnego dobierana wartości elementów dyskretnych między sobą. W takim układzie napięcie wyjściowe równe jest równe:

Jako że napięcie na Rg równe jest VIN=(V2–V1), to prąd płynący przez opornik kontrolujący wzmocnienie równy jest VIN/Rg, co powoduje spadek napięcia na opornikach R1 i przekłada się na sterowanie wzmocnieniem – napięcia na wyjściach wzmacniaczy A1 oraz A2 będą wzmocnione. Będą to jednak tylko napięcia różnicowe. Jeśli na wejściu pojawi się napięcie współbieżne, to, jako że napięcia po obu stronach Rg będą równe, to przez opornik ten (i opornik R1) nie popłynie prąd, a co za tym idzie, wzmacniacze A1 i A2 będą działały ze wzmocnieniem jednostkowym. W ten sposób, sygnały współbieżne nie będą wzmacniane przez układy buforujące, a sygnały różnicowe będą wzmacniane. Wzmocnienie różnicowe buforów równe jest:

W teorii oznacza to, że wzmocnienie różnicowe może być dowolnie wysokie, bez zwiększania błędów wynikających z wzmocnienia sygnału współbieżnego. Sygnał niewspółbieżny będzie wzmacniany, a sygnał współbieżny nie. Dzięki temu współczynnik odrzucenia sygnału współbieżnego (CMRR – common mode rejection rate) rośnie proporcjonalne ze wzmocnieniem. To szczególna cecha właściwości wzmacniaczy pomiarowych, dzięki czemu idealnie sprawdzają się w aplikacjach takich jak omawiana – pomiar niewielkich sygnałów różnicowych.

Drugim stopniem wzmacniacza pomiarowego jest wzmacniacz operacyjny (A3) w topologii wzmacniacza różnicowego. Odejmuje on od siebie napięcia wyjściowe z op-ampów A1 i A2. W układzie pokazanym na rysunku 2 napięcie Vo odnoszone jest do masy. Możliwe jest jednak podanie zamiast niej na wejście nieodwracające A3 przez opornik R3 napięcia stałego, o które zwiększone zostanie napięcie Vo. Ma to wiele zastosowań, między innymi pozwala pracować w systemie z pojedynczym napięciem zasilania, gdzie na wejście offsetowe podaje się, typowo, napięcie równe połowie napięcia zasilania systemu.

Selekcja układu - co znajdziemy w karcie katalogowej

Wzmacniacze pomiarowe charakteryzuje się szeregiem różnych parametrów. W dalszej części tego artykułu omówimy podstawowe parametry wzmacniaczy pomiarowych. Pełne omówienie parametrów tak złożonego układu analogowego, jakim jest wzmacniacz pomiarowy, stanowczo wykracza poza ramy jednego artykułu, ale potraktujmy ten skrócony opis, jako punkt wyjścia, do dalszych dywagacji nad pewnymi niuansami.

Podstawową informacją, jaką znajdziemy w karcie katalogowej, a jaka będzie potrzebna do zastosowania konkretnego układu scalonego w systemie, jest wzmocnienie sygnału różnicowego. Jest ono zależne od wartości elementów wewnętrznych układu oraz zewnętrznego wzmacniacza. Na ogół podaje się w karcie katalogowej układu wzór, uzależniający wzmocnienie różnicowe od wartości zewnętrznego opornika lub tabelkę z wartościami rezystancji i wzmocnieniami.

Kolejnym, szalenie istotnym parametrem, jest współczynnik odrzucenia wpływu napięcia współbieżnego – CMRR. Definiuje się go, jako:

gdzie AD to wzmocnienie różnicowe, VCM to napięcie współbieżne na wejściu wzmacniacza, a VOUT to napięcie, jakie pojawia się dla tego napięcia współbieżnego na wyjściu układu. Im wyższe CMRR, tym mniej sygnału współbieżnego „przenika” z wejścia na wyjście wzmacniacza. CMRR nie jest stały w funkcji częstotliwości i należy pamiętać o tym, że jeżeli w systemie pracujemy z sygnałami zmiennymi, to należy również zapoznać się z wykresem CMRR w funkcji częstotliwości.

Kolejne istotne parametry, na jakie trzeba zwrócić uwagę dobierając taki element, to własności analogiczne, jak w przypadku wzmacniaczy operacyjnych – pasmo przenoszenia, szybkość narastania/opadania napięcia na wyjściu układu, poziom szumów czy offsetu, a także ich stabilność w funkcji częstotliwości, temperatury itd.

Spośród parametrów, które znamy z op-ampów, na osobną i szczególną uwagę zasługuje tutaj impedancja wejścia oraz prąd polaryzacji wejść. Wynika to z faktu, że nadmierne obciążenie mostka pomiarowego może wprowadzić błędy pomiarowe itp. Impedancje wejścia odwracającego i nieodwracającego układu musi być jednakowo wysoka. Wysoka impedancja wejściowa jest konieczna, aby uniknąć obciążania mostka. Wartości impedancji wejściowej typowych wzmacniaczy pomiarowych wahają się w zakresie od 109 do 1012 Ω.

Istnieją pewne odstępstwa od tego, takie jak n przykład układ AD629 (różnicowa impedancja wejścia równa 800 kΩ, współbieżna 200 kΩ), ale to dosyć egzotyczne przypadki (układ ten charakteryzuje się bardzo wysokim napięciem współbieżnym – do 270 V oraz dosyć wysokim CMRR – do 86 dB). Z impedancją wejścia powiązany jest prąd polaryzacji wejścia. To wartość prądu, która popłynie przez piny wejściowe, jako prądy bazowe wejściowych tranzystorów bipolarnych lub jako prądy upływu bramki w przypadku układów z wejściem FET. Prąd polaryzacji przepływający przez mostek pomiarowy może powodować powstanie pewnych offsetów napięciowych. W ogólności, wartość prądu wejściowego pomnożona przez rezystancję źródła nie powinna przekraczać 10 mV. Typowe wartości wejściowego prądu polaryzacji dla układu z tranzystorami BJT na wejściu wynosi od 1 nA do 50 nA, a dla urządzenia z wejściem FET od 1 pA do 50 pA. Warto zwrócić uwagę, że wartości te mogą zależeć od temperatury układu.

W przypadku, gdy napięcie niezrównoważenia naszego mostka ma być mierzone przez układ cyfrowy, również warto zwrócić uwagę na charakterystykę wyjścia. Nie każdy wzmacniacz pomiarowy może bezpośrednio wysterować np. przetwornik analogowo-cyfrowy i może potrzebować np. dodatkowego stopnia toru sygnałowego w postaci bufora. Można też dobrać odpowiedni wzmacniacz pomiarowy, który ma wyjście przeznaczone do sterowania wejściem nawet najbardziej wymagającego przetwornika ADC.

Podsumowanie

Wzmacniacze pomiarowe znajdują swoje podstawowe zastosowanie we wzmacnianiu sygnałów różnicowych narażonych na silne zakłócenia. Typowym przykładem takiej aplikacji są przetworniki pracujące w mostku. Wzmacniacze te są również szeroko stosowane w sprzęcie medycznym, do monitorowania napięć czy prądów w systemach zasilających czy w wymagających aplikacjach audio.

Układy mostkowe, dzięki scalonym wzmacniaczom pomiarowym są zadziwiająco łatwymi w implementacji systemami. Najistotniejszym etapem projektowania fragmentu takiego układu, jest dobór scalonego wzmacniacza mostkowego do danej aplikacji. Dzięki znajomości znaczenia różnych parametrów tego rodzaju układu można w prosty sposób dokonać wyboru odpowiedniego elementu – takiego, którego parametry i cena będą najlepszym kompromisem w danej aplikacji.

Nikodem Czechowski, EP

Źródła:

  • https://bit.ly/3oSZ1mV
  • Wikipedia
  • C. Kitchin, C. Lew, “A Designer’s Guide to Instrumentation
  • Amplifiers” Analog Devices 2006.
Artykuł ukazał się w
Elektronika Praktyczna
styczeń 2022
Elektronika Praktyczna Plus lipiec - grudzień 2012

Elektronika Praktyczna Plus

Monograficzne wydania specjalne

Elektronik listopad 2025

Elektronik

Magazyn elektroniki profesjonalnej

Raspberry Pi 2015

Raspberry Pi

Wykorzystaj wszystkie możliwości wyjątkowego minikomputera

Świat Radio listopad - grudzień 2025

Świat Radio

Magazyn krótkofalowców i amatorów CB

Automatyka, Podzespoły, Aplikacje listopad - grudzień 2025

Automatyka, Podzespoły, Aplikacje

Technika i rynek systemów automatyki

Elektronika Praktyczna listopad 2025

Elektronika Praktyczna

Międzynarodowy magazyn elektroników konstruktorów

Elektronika dla Wszystkich grudzień 2025

Elektronika dla Wszystkich

Interesująca elektronika dla pasjonatów