Obwody ze wzmacniaczami. Jak uniknąć podstawowych problemów przy projektowaniu

Obwody ze wzmacniaczami. Jak uniknąć podstawowych problemów przy projektowaniu

Układy ze wzmacniaczami operacyjnymi i pomiarowymi mają wiele zalet. Są znacznie prostsze niż wersje oparte na elementach dyskretnych, jednakże potrafią zastawić na niedoświadczonego projektanta szereg pułapek…

Wzmacniacze operacyjne i pomiarowe są niezwykle użyteczne i, wydawałoby się, proste w aplikacji w układzie. Niestety bardzo często, na skutek drobnych przeoczeń przy projektowaniu takiego obwodu, pomija się pewne bardzo podstawowe kwestie, które prowadzą do tego, że obwód nie działa zgodnie z oczekiwaniami, a być może w ogóle. W poniższym artykule omówiono kilka najczęściej występujących problemów z aplikacjami op-ampów i wzmacniaczy pomiarowych, wraz z propozycjami praktycznego rozwiązania każdego z wymienionych problemów.

Brak ścieżki powrotnej stałego prądu polaryzacji dla sprzężenia zmiennoprądowego

Jednym z najczęściej napotykanych problemów związanych z aplikacjami op-ampów jest brak ścieżki powrotnej DC dla prądu polaryzacji wejścia w obwodach wzmacniacza operacyjnego lub pomiarowego ze sprzężeniem wejścia AC. Na schemacie z rysunku 1 kondensator wejściowy jest połączony szeregowo z nieodwracającym „+” wejściem wzmacniacza operacyjnego. Jest to łatwy sposób blokowania napięć stałych związanych z napięciem wejściowym (VIN) i powinien być szczególnie przydatny w zastosowaniach o dużym wzmocnieniu, gdzie nawet małe napięcie stałe na wejściu wzmacniacza może ograniczyć użyteczny zakres dynamiki, a nawet spowodować nasycenie wyjścia. Jednakże pojemnościowe sprzężenie z wejściem o wysokiej impedancji bez zapewnienia ścieżki dla prądu stałego płynącego na wejściu „+” doprowadzić może do problemów z działaniem układu.

Rysunek 1. Układ ze zmiennoprądowym sprzężeniem na wejściu, któremu brakuje ścieżki powrotnej dla prądu stałego

W rzeczywistym układzie wejściowy prąd polaryzacji wejścia będzie przepływać przez kondensator sprzęgający, ładując go, aż do przekroczenia wartości znamionowej napięcia współbieżnego na wejściu op-ampa lub do przekroczenia wartości granicznej napięcia wyjściowego. W zależności od biegunowości wejściowego prądu polaryzacji kondensator będzie ładował się w kierunku dodatniego lub ujemnego napięcia zasilania. Napięcie polaryzacji jest wzmacniane przez wzmocnienie stałoprądowe wzmacniacza, działającego w zamkniętej pętli sprzężenia zwrotnego.

Proces ten może zająć dużo czasu. Na przykład przy wzmacniaczu z wejściem w postaci tranzystora polowego (FET), o prądzie polaryzacji na poziomie pojedynczych pikoamperów, podłączonym poprzez kondensator 0,1 µF, napięcie na pojemności wejściowej narastać będzie z prędkością (I/C=10–12/10–7) równą około 10 µV/s, czyli 600 µV na minutę. Jeśli wzmocnienie tego op-ampa równe będzie 100 V/V, to obserwowany na skutek ładowania pojemności wejściowej dryf napięcia na wyjściu wyniesie około 0,06 V/min. To zbyt mało, aby można było to zaobserwować za pomocą zwykłych testów laboratoryjnych, szczególnie przy użyciu oscyloskopu ze sprzężeniem wejścia AC. Zatem podczas testów nie wykryjemy tego problemu, a obwód ulegnie awarii dopiero po np. kilku godzinach pracy. Kluczowe jest więc całkowite uniknięcie tego problemu. Na rysunku 2 zostało pokazane proste rozwiązanie tego bardzo powszechnego problemu. Dodatkowy rezystor jest podłączony między wejściem wzmacniacza operacyjnego a masą, aby zapewnić ścieżkę do odprowadzania wejściowego prądu polaryzacji. Aby zminimalizować napięcia offsetu wyjściowego, spowodowane wejściowymi prądami polaryzacji, R1 jest zwykle dobierany jako równy równoległemu połączeniu oporników R2 i R3.

Rysunek 2. Poprawny sposób podłączania wejścia ze sprzężeniem zmiennoprądowym w systemie z zasilaniem symetrycznym

Należy jednak pamiętać, że ten rezystor zawsze będzie wprowadzał pewien dodatkowy szum do obwodu, więc jego finalny dobór jest kompromisem między impedancją wejściową obwodu, rozmiarem wymaganego wejściowego kondensatora sprzęgającego i szumem Johnsona dodanym przez ten rezystor. Typowe wartości rezystorów R1 mieszczą się na ogół w zakresie od około 100 kΩ do 1 MΩ.

Podobny problem może mieć wpływ na działanie obwodu ze wzmacniaczem pomiarowym. Schemat z rysunku 3 pokazuje aplikację tego rodzaju wzmacniacza z wejściami sprzężonymi pojemnościowo. W układach tych nie zapewniono ścieżki powrotnej dla prądu polaryzacji wejść wzmacniacza. Ten problem występuje w przypadku obwodów wzmacniacza pomiarowego wykorzystujących zarówno podwójne (rysunek 3a), jak i pojedyncze (rysunek 3b) zasilanie.

Rysunek 3. Niefunkcjonalne przykłady wzmacniaczy pomiarowych ze sprzężonymi pojemnościowo wejściami i zasilaniem: a) symetrycznym, b) asymetrycznym
Rysunek 4. Niefunkcjonalny przykład układu ze wzmacniaczem pomiarowym sprzęgniętym poprzez transformator

Problem taki wystąpić może również w układach pomiarowych sprzężonych ze źródłem sygnału za pomocą transformatora tak, jak pokazano na rysunku 4, jeśli obwód uzwojenia wtórnego nie ma stałoprądowej ścieżki do masy. Najprostsze rozwiązanie dla wspomnianych układów zaprezentowano na rysunku 5 oraz rysunku 6. Wystarczy, podobnie jak dla wzmacniacza operacyjnego, dodać ścieżkę DC od wejść do masy lub innego napięcia. Dlatego też w układach tych dodane są oporniki (RA, RB) pomiędzy wejściami a masą (dla układów zasilanych symetrycznie) lub napięciem VCM (dla układów zasilanych asymetrycznie). Może to być dowolne napięcie pomiędzy masą a zasilaniem, ale dla uzyskania maksymalnej dynamiki napięcie to powinno być równe połowie napięcia zasilania. Takie samo podejście można zastosować do wejść sprzężonych poprzez transformator (rysunek 6), chyba że uzwojenie transformatora ma wyprowadzenie na środku, które można podłączyć do masy lub VCM.

Rysunek 5. Oporniki o wysokiej rezystancji podłączone pomiędzy wejścia wzmacniacza pomiarowego a punkt wspólny: a) masę dla układów z zasilaniem symetrycznym, b) napięcie VCM dla układów z pojedynczym napięciem zasilania
Rysunek 6. Poprawna metoda podłączania transformatora separującego do wejścia wzmacniacza pomiarowego

W pokazanych obwodach wystąpi niewielki błąd napięcia offsetu, spowodowany niedopasowaniem między rezystorami i wejściowymi prądami polaryzacji. Aby zminimalizować takie błędy, trzeci rezystor, o wartości około 1/10 rezystancji RA i RB (ale nadal duży w porównaniu do różnicowej rezystancji źródła), można podłączyć między dwoma wejściami we wzmacniaczu, mostkując oba rezystory.

Dostarczanie napięcia odniesienia dla wzmacniaczy operacyjnych, pomiarowych i przetworników analogowo-cyfrowych (ADC)

Na rysunku 7 został pokazany obwód z pojedynczym napięciem zasilania, w którym wzmacniacz wejściowy steruje asymetrycznym przetwornikiem analogowo-cyfrowym (ADC). Napięcie odniesienie wzmacniacza zapewnia napięcie polaryzacji odpowiadające zerowemu wejściu różnicowemu, a napięcie odniesienia ADC zapewnia współczynnik skalowania. Prosty dolnoprzepustowy filtr antyaliasingowy RC jest często używany między wyjściem wzmacniacza a wejściem ADC, którym steruje, aby zredukować szum pozapasmowy. Projektanci często ulegają pokusie stosowania prostych rozwiązań, takich jak dzielniki rezystancyjne do uzyskania napięć referencyjnych we wzmacniaczu i przetworniku ADC. Może to prowadzić do błędów w przypadku niektórych wzmacniaczy pomiarowych.

Rysunek 7. Wzmacniacz steruje przetwornikiem ADC w typowym obwodzie z pojedynczym napięciem zasilania

Poprawne podłączanie napięcia odniesienia do wzmacniacza pomiarowego

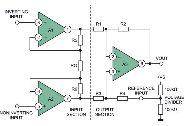
Powszechnym założeniem jest, że wejście napięcia odniesienia we wzmacniaczu pomiarowym ma wysoką impedancję, ponieważ jest traktowane jak każde inne wejście. Dlatego projektant może ulec pokusie, aby podłączyć do niego źródło napięcia o wysokiej impedancji, takie jak na przykład dzielnik rezystancyjny. Może to jednakże spowodować poważne błędy w przypadku niektórych typów wzmacniaczy pomiarowych (rysunek 8). Weźmy za przykład popularną konfigurację wzmacniacza pomiarowego, która wykorzystuje trzy wzmacniacze operacyjne połączone jak na rysunku 8.

Rysunek 8. Nieprawidłowe użycie prostego dzielnika napięcia do bezpośredniego sterowania pinem napięcia  odniesienia wzmacniacza pomiarowego (złożonego z 3 wzmacniaczy operacyjnych)

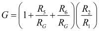
Całkowite wzmocnienie sygnału w takim układzie wynosi:

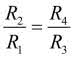
gdzie

Wzmocnienie dla wejścia odniesienia (jeśli jest sterowane ze źródła o niskiej impedancji) wynosi jeden. Jednak w zaprezentowanym przypadku pin odniesienia wzmacniacza pomiarowego jest bezpośrednio połączony z prostym dzielnikiem napięcia. To powoduje nierównowagę symetrii obwodu odejmującego i współczynnika podziału dzielnika napięcia. Redukuje to tłumienie w trybie wspólnym wzmacniacza i wpływa na jego dokładność wzmocnienia. Jeśli jednak można zmniejszyć wartość rezystancji R4 (jest on dostępny w systemie, a nie zawarty w układzie scalonym), o wartość równą rezystancji wynikającej z równoległego umieszczenia dzielnika napięcia (50 kΩ w pokazanym obwodzie), to obwód taki będzie zachowywał się jak źródło napięcia o niskiej impedancji równe (w tym przykładzie) połowie napięcia zasilania. Pozwoli to na zachowanie dokładności pracy części odejmującej wzmacniacza pomiarowego.

Tego podejścia nie można zastosować, jeśli wzmacniacz jest dostarczany jako zamknięty pojedynczy element (układ scalony). Inną kwestią jest to, że współczynniki temperaturowe rezystorów w dzielniku napięcia powinny odpowiadać współczynnikom TWR opornika R4 i innych rezystorów w gałęzi odejmowania. Podejście to blokuje również możliwość zmiany napięcia odniesienia. Z drugiej strony, jeśli spróbujemy zastosować małe wartości rezystorów w dzielniku napięcia, starając się, aby dodana rezystancja była pomijalna, spowoduje to wzrost poboru prądu z zasilacza i zwiększenie poziomu rozpraszania mocy w obwodzie. Takie podejście jest dalekie od optymalnego i nie jest rekomendowane w projekcie.

Na schemacie z rysunku 9 pokazano lepsze rozwiązanie, wykorzystujące bufor w postaci wzmacniacza operacyjnego małej mocy pomiędzy dzielnikiem napięcia a wejściem odniesienia wzmacniacza pomiarowego. Eliminuje to problem dopasowania impedancji i śledzenia temperatury oraz umożliwia łatwą regulację napięcia odniesienia.

Rysunek 9. Sterowanie pinem napięcia odniesienia wzmacniacza pomiarowego ze źródła o niskiej impedancji – wzmacniacza operacyjnego

Jak zachować PSRR op-ampa, przy wykorzystaniu napięcia zasilania jako napięcia odniesienia

Często pomijanym faktem jest to, że wszelkie zakłócenia, stany nieustalone lub dryfty napięcia zasilającego VS, podawane przez wejście odniesienia, dodają się bezpośrednio do napięcia wyjściowego, tłumione tylko przez współczynnik dzielnika napięcia odniesienia. Praktyczne rozwiązania obejmują różnego rodzaju filtry pasmowe czy stabilizatory napięcia odniesienia, na przykład za pomocą precyzyjnego układu scalonego – stabilizatora napięcia odniesienia, takiego jak ADR121, zamiast stosowania prostego dzielnika na linii VS.

Kwestia ta jest bardzo ważna podczas projektowania obwodów zawierających zarówno wzmacniacze pomiarowe, jak i operacyjne. Techniki tłumienia wpływu napięcia zasilania są stosowane w celu odizolowania wzmacniacza od zakłóceń w domenie zasilania: przydźwięku sieciowego, szumu i wszelkich przejściowych zmian napięcia występujących na szynach zasilających. Jest to ważne, ponieważ wiele rzeczywistych obwodów istnieje i pracuje w środowiskach, które oferują mniej niż idealne napięcie zasilania dla wzmacniaczy. Ponadto sygnały prądu przemiennego obecne w przewodach zasilających mogą być wprowadzane z powrotem do obwodu, wzmacniane i w odpowiednich warunkach stymulować oscylacje pasożytnicze w układzie, które obecne mogą być na wyjściu toru analogowego, pogarszając jego parametry.

Nowoczesne wzmacniacze operacyjne i wzmacniacze pomiarowe zapewniają znaczne tłumienie zasilania w zakresie zakłóceń o niskiej częstotliwości w ramach swojej konstrukcji. Jest to coś, co większość inżynierów elektroników uważa za oczywiste. Wiele nowoczesnych wzmacniaczy operacyjnych i wzmacniaczy pomiarowych ma specyfikację odrzucenia wpływu napięcia zasilania (PSRR) na poziomie od 80 dB do ponad 100 dB, zmniejszając wpływ wahań napięcia zasilania o współczynnik od 10 000 do 100 000. Nawet dość skromna specyfikacja PSRR wynosząca 40 dB izoluje sygnał od wahania zasilania ze wzmacniacza o współczynnik 100. Niemniej jednak kondensatory filtrujące zakłócenia wysokiej częstotliwości (takie jak te na rysunkach 1...7) są zawsze pożądane w układzie, a na ogół wręcz niezbędne.

Ponadto w systemie używa się prostego dzielnika rezystancyjnego na szynie zasilającej i bufora w postaci wzmacniacza operacyjnego do dostarczania napięcia odniesienia do wzmacniacza, wszelkie zmiany napięcia zasilania są przepuszczane przez ten obwód z niewielkim tłumieniem i dodawane bezpośrednio do poziomu napięcia wyjściowego wzmacniacza pomiarowego. Tak więc, jeśli nie zostanie tutaj dodany odpowiedni filtr dolnoprzepustowy, to wysoki PSRR scalonego wzmacniacza pomiarowego zostanie istotnie pogorszony.

Na rysunku 10 duży kondensator został dodany do dzielnika napięcia, aby odfiltrować na jego wyjściu wahania napięcia zasilania i zachować wysoki PSRR systemu. Biegun –3 dB tego filtra dolnoprzepustowego jest konfigurowany przez równoległą kombinację rezystorów R1 i R2 oraz pojemność kondensatora C1. Biegun ten powinien być ustawiony około 10 razy niżej niż najniższa częstotliwość analizowana w układzie. Pokazane wartości domyślne zapewniają filtrowanie przy częstotliwości równej około 0,03 Hz. Mały (0,01 µF) kondensator na R3 minimalizuje szum rezystora.

Rysunek 10. Filtrowania sygnału napięcia odniesienia w celu zachowania wysokiego PSRR systemu

Naładowanie filtra zajmie trochę czasu. Przy użyciu sugerowanych wartości, czas narastania na wejściu odniesienia wynosi kilka stałych czasowych (gdzie T=R3Cf=5 sekund dla tych wartości) lub około 10…15 sekund.

Obwód z rysunku 11 oferuje dalszą poprawę parametrów tego systemu. W układzie tym bufor wzmacniacza operacyjnego działa jako filtr aktywny, co pozwala na zastosowanie znacznie mniejszych kondensatorów przy takim samym filtrowaniu zasilania. Ponadto filtr aktywny można zaprojektować tak, aby zapewniał większą dobroć, a tym samym zapewniał szybszy czas włączenia filtra. Przy pokazanych wartościach komponentów i przyłożeniu 12 V do wzmacniacza doprowadzono filtrowane napięcie odniesienia 6 V. Do modulowania zasilania 12 V zastosowano falę sinusoidalną o napięciu międzyszczytowym 1 V o zmiennej częstotliwości, przy wzmocnieniu wzmacniacza ustawionym na jedność. W tych warunkach, gdy częstotliwość spadła, żaden sygnał AC nie był widoczny na oscyloskopie, przy VREF lub na wyjściu wzmacniacza, aż do około 8 Hz. Zmierzony zakres zasilania dla tego obwodu wynosił od 4 V do ponad 25 V, przy niskim poziomie sygnału wejściowego przyłożonego do wzmacniacza. Czas włączania się obwodu wynosił jakieś 2 sekundy.

Rysunek 11. Bufor wzmacniacza operacyjnego podłączony jako filtr aktywny steruje pinem napięcia odniesienia we wzmacniaczu pomiarowym

Filtrowanie zasilania op-ampów - układy z zasilaniem asymetrycznym

Obwody wzmacniaczy operacyjnych z pojedynczym zasilaniem wymagają polaryzacji wejściowego poziomu sygnału wspólnego w celu obsługi dodatnich i ujemnych wahań sygnałów dla prądu przemiennego na wejściu układu. Gdy to napięcie polaryzacji jest dostarczane z szyny zasilającej za pomocą dzielnika napięcia, wymagane jest odpowiednie filtrowanie tego napięcia, aby zachować wysoki PSRR układu, analogicznie do tego, co zostało opisane wcześniej.

Powszechną, ale niepoprawną praktyką jest stosowanie dzielnika rezystorowego z dwóch oporników 100 kΩ z kondensatorem filtrującym na poziomie 0,1 µF w celu dostarczenia napięcia polaryzacji VS/2 do nieodwracającego wejścia wzmacniacza operacyjnego. Przy tych wartościach filtrowanie zasilania jest często niewystarczające, ponieważ częstotliwość biegunów wynosi tylko 32 Hz. Często występuje niestabilność obwodu, zwłaszcza podczas zasilania obciążeń indukcyjnych.

Rysunek 12. Obwód wzmacniacza nieodwracającego z pojedynczym napięciem zasilania pokazujący prawidłowy sposób filtrowania linii zasilania. Wzmocnienie dla pasma środkowego równe jest 1+R2/R1

Na rysunku 12 (nieodwracający) i rysunku 13 (odwracający) pokazane są obwody, które realizują polaryzację filtrowanym napięciem VS/2 dla uzyskania możliwie najlepszych parametrów układu. W obu przypadkach na wejściu nieodwracającym podawane jest napięcie polaryzacji, a sprzężenie zwrotne powoduje, że wejście odwracające przyjmuje takie samo napięcie, a wzmocnienie równe jedności również polaryzuje wyjście do tego samego poziomu napięcie. Kondensator sprzęgający C1 obniża wzmocnienie dla sygnałów niskiej częstotliwości do jedności na poziomie częstotliwości BW3. Dobrą praktyczną zasadą przy stosowaniu dzielnika napięcia 100 kΩ/100 kΩ, jak pokazano, jest użycie wartości pojemności C2 wynoszącej co najmniej 10 µF, co zaowocuje przesunięciem się krawędzi –3 dB pasma do 0,3 Hz. Wartość 100 µF (biegun przy 0,03 Hz) jest jeszcze lepsza i należy ją stosować, jeśli jest to możliwe.

Rysunek 13. Prawidłowe filtrowanie zasilania obwodu wzmacniacza odwracającego z pojedynczym zasilaniem. Wzmocnienie pasma środkowego równe jest –R2/R1

Podsumowanie

Projektowanie układów analogowych z wykorzystaniem scalonych wzmacniaczy jest znacznie uproszczone. Nie oznacza to jednak, że nie można napotkać żadnych problemów. W powyższym artykule omówiliśmy, w jaki sposób należy zadbać o wejścia ze sprzężeniem AC, aby uniknąć powstawania dryftu napięcia offsetu wyjściowego w tego rodzaju układach oraz w jaki sposób należy filtrować napięcia odniesienia, wykorzystywane ze wzmacniaczami pomiarowymi oraz op-ampami z pojedynczym napięciem zasilania.

Nikodem Czechowski, EP

Źródło: https://bit.ly/3i7w5Ww

Artykuł ukazał się w
Elektronika Praktyczna
lipiec 2021
Elektronika Praktyczna Plus lipiec - grudzień 2012

Elektronika Praktyczna Plus

Monograficzne wydania specjalne

Elektronik listopad 2025

Elektronik

Magazyn elektroniki profesjonalnej

Raspberry Pi 2015

Raspberry Pi

Wykorzystaj wszystkie możliwości wyjątkowego minikomputera

Świat Radio listopad - grudzień 2025

Świat Radio

Magazyn krótkofalowców i amatorów CB

Automatyka, Podzespoły, Aplikacje listopad - grudzień 2025

Automatyka, Podzespoły, Aplikacje

Technika i rynek systemów automatyki

Elektronika Praktyczna listopad 2025

Elektronika Praktyczna

Międzynarodowy magazyn elektroników konstruktorów

Elektronika dla Wszystkich grudzień 2025

Elektronika dla Wszystkich

Interesująca elektronika dla pasjonatów