Świadomość pomiarów. Czy świadomie mierzymy to, co mierzymy?

Świadomość pomiarów. Czy świadomie mierzymy to, co mierzymy?
Pobierz PDF Download icon
Popularne multimetry cyfrowe umożliwiają wykonywanie pomiarów wielu parametrów w sposób szybki i dokładny. Często machinalnie wybieramy rodzaj pomiaru i bez głębszej analizy notujemy wynik. Nawet nie zastanawiamy się specjalnie nad dobraniem odpowiedniego zakresu pomiarowego - zwykle automatycznie robi to za nas miernik. Czy jednak zawsze mamy świadomość tego, co mierzymy?

Rysunek 1. Oscyloskopowy pomiar napięcia średniego, gdy: a) okres przebiegu mieści się w całości na ekranie - pomiar prawidłowy, b) ekran zawiera półtora okresu - duży błąd pomiaru

Każdy miernik cyfrowy, nawet najprostszy, umożliwia wykonywanie pomiarów co najmniej podstawowych wielkości elektrycznych: napięć, prądów, rezystancji. Nieco droższe przyrządy mierzą też częstotliwość, pojemność elektryczną, temperaturę, współczynnik wypełnienia przebiegu prostokątnego, współczynniki wzmocnienia tranzystorów, mają tester połączeń i diod. Do niektórych pomiarów wymagane są odpowiednie sondy dostępne najczęściej jako wyposażenie dodatkowe danego multimetru, przyczyniające się jednak do znacznego zwiększenia cech funkcjonalnych przyrządu.

Liczba parametrów mierzonych za pomocą multimetrów lub liczba funkcji pomiarów automatycznych implementowanych w oscyloskopach cyfrowych jest dość pokaźna. Nawet najprostsze oscyloskopy mierzą od kilkunastu do kilkudziesięciu parametrów elektrycznych. Stanowi to oczywiście zaletę przyrządów, ale może też stwarzać pewne zagrożenia dla użytkownika związane ze zdarzającymi się niewielkimi subtelnościami pomiędzy poszczególnymi wariantami pomiarów, wpływającymi jednak dość istotnie na uzyskiwane wyniki.

Rysunek 2. Ustawienie przełącznika rodzaju pomiaru dla: a) napięcia DC (wartości średniej przebiegu zmiennego), b) napięcia AC (wartości skutecznej ACRMS - bez składowej stałej), c) napięcia AC+DC (wartości skutecznej DCRMS - z uwzględnieniem składowej stałej)

Niezrozumienie zasady pomiaru, lub częściej obserwowana u profesjonalistów zwykła rutyna, mogą prowadzić do przyjmowania błędnych wyników jako wiarygodnych. Bo, na przykład, jeśli w wysokiej, nawet bardzo wysokiej klasy oscyloskopie włączono pomiar napięcia średniego, to dlaczego nie wierzyć wskazaniom markowego przyrządu?

Szczególnie niebezpieczne są pomiary sygnałów zmiennych w czasie (w tym przemiennych), zdefiniowanych jako całka odpowiedniej funkcji liczona po czasie. Inspiracją do napisania artykułu była dyskusja na zbliżony temat, jakiej niedawno byłem świadkiem. Kilka zamieszczonych przykładów opisuje problem.

Definicje

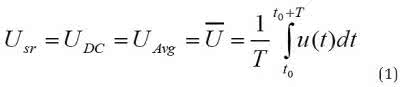
Do lektury dalszej części artykułu konieczne będzie przypomnienie definicji rozpatrywanych wielkości elektrycznych. Wartość średnia. Definiuje ją zależność (1):

Rysunek 3. Przebieg testowy wykorzystywany do pomiarów

Pomiar wartości średniej wiąże się, jak widać, z obliczeniem całki oznaczonej napięcia (prądu) liczonej po czasie. Definicja podaje, że całkowanie odbywa się w przedziale od t0 do t0+T, a to oznacza, że obliczenie obejmuje pełny okres przebiegu lub jego wielokrotność. Całkowanie w zakresie innym niż okres przebiegu (lub jego wielokrotność) będzie skutkowało otrzymaniem błędnego wyniku! Szczególną uwagę należy zwracać podczas pomiarów oscyloskopowych.

Jeśli nie zostanie prawidłowo wybrany typ pomiaru automatycznego lub nie zostaną spełnione wymienione wyżej warunki, od błędu nie uchroni nas nawet najwyższa klasa przyrządu. Warto pamiętać, że w oscyloskopach klasy średniej granica pomiaru napięcia średniego lub skutecznego (RMS) jest zwykle wyznaczona nastawą podstawy czasu pomnożoną przez liczbę działek na osi czasu.

Innymi słowy, całkowanie odbywa się na tym fragmencie przebiegu, który jest wyświetlany na ekranie. Dlatego, jeśli nie obserwujemy całkowitej wielokrotności okresu przebiegu, wynik będzie obarczony błędem. Błąd ten w pewnym stopniu będzie zależał od kształtu przebiegu, a także od tego, jaka część okresu została pominięta w obliczeniach.

Rysunek 4. Pomiary napięcia średniego i skutecznego DCRMS przebiegu testowego wykonane oscyloskopem DS1202CA i multimetrem DMM914

Aby ustrzec się od opisanych wyżej błędów producenci oscyloskopów implementują specjalne odmiany pomiarów automatycznych wartości średniej i skutecznej. W zestawie pomiarów automatycznych niektórych oscyloskopów Tektroniksa znajdują się na przykład pomiary "Mean", "Cursor Mean" i "Cycle Mean". Jak nietrudno się domyślić, całkowanie w pierwszym pomiarze jest wykonywane na fragmencie przebiegu widocznym na ekranie. W drugim przypadku użytkownik musi określić granice całkowania ręcznie, poprzez ustawienie dwóch kursorów czasowych w odpowiednich punktach przebiegu. W trzecim pomiarze natomiast okres przebiegu jest wyznaczany automatycznie (tak, jak w multimetrach) i w tym zakresie przebiega całkowanie.

Na rysunku 1 przedstawiono pomiar oscyloskopowy napięcia średniego i skutecznego pewnego przebiegu. Teoretycznie napięcia te są równe odpowiednio: Vavg=0,4 V i Vrms=1,27 V. Na rysunku 1a przedstawiono wyniki dla dokładnie jednego okresu mieszczącego się na ekranie (wynik prawidłowy), na rysunku 1b uwzględniono półtora okresu (widoczny wyraźny błąd!).

Na zakończenie rozważań o wartości średniej warto przypomnieć, że w praktyce często stosowane są dla niej inne, równoznaczne określenia, takie jak: składowa stała, przesunięcie lub offset. Pomiar wartości średniej za pomocą multimetru jest wykonywany po ustawieniu przełącznika rodzaju pracy w położeniu pokazanym na fotografii 2a. Można też spotkać przyrządy, w których jest stosowane oznaczenie DC. Okazuje się więc, że zakresy stałoprądowe nie muszą dotyczyć wyłącznie napięć (prądów) stałych, co sugeruje symbol DC. Przykłady podano w dalszej części artykułu. Wartość skuteczna. Definiuje ją zależność (2):

Obliczenie wartości skutecznej wymaga wykonania aż trzech operacji matematycznych: podnoszenia do kwadratu, całkowania i pierwiastkowania. I w tym wypadku jest ważne prawidłowe ustalenie granic całkowania. Obowiązują zasady takie same, jak dla obliczeń wartości średniej.

Po wybraniu w oscyloskopie pomiaru automatycznego VRMS obliczenia są wykonywane zgodnie z formułą (2). Ze wzoru tego wynika, że jeżeli przebieg ma składową stałą, to będzie ona uwzględniona. Wynik końcowy można szybko oszacować, jako pierwiastek z sumy kwadratu offsetu i kwadratu wartości skutecznej przebiegu bez składowej stałej.

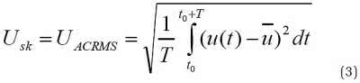
Nieco inaczej jest w przypadku pomiaru wykonywanego multimetrem. Większość takich przyrządów, szczególnie niższej klasy, w ogóle nie ma trybu przeznaczonego do pomiaru wartości UDCRMS. Multimetry takie mierzą jedynie wartość skuteczną napięcia (prądu) z pominięciem składowej stałej, czyli UACRMS. Obliczenia przebiegają wówczas według formuły (3):

Rysunek 5. Pomiary napięcia średniego i skutecznego DCRMS przebiegu testowego wykonane oscyloskopem DS2202 i multimetrem DMM914

Pomiar wartości skutecznej UACRMS jest wykonywany po ustawieniu przełącznika multimetru w położeniu pokazanym na fotografii 2b lub opisanym symbolem AC. Multimetry umożliwiające pomiar pełnej wartości skutecznej uwzględniającej składową stałą mają dodatkowy tryb pomiarowy oznaczany np. jako AC+DC (fotografia 2c).

Przykłady praktyczne

Powyższe definicje matematyczne staną się o wiele bardziej zrozumiałe po wykonaniu kilku przykładowych pomiarów. Do eksperymentów wykorzystano generator arbitralny i oscyloskop zawarty w zestawie Analog Discovery firmy Digilent oraz oscyloskopy stacjonarne Rigola - DS1202CA i DS2202. Pomiary wykonano również multimetrem Tektronix DMM914. Eksperyment polega na porównaniu teoretycznych obliczeń matematycznych z praktycznymi wynikami pomiarów przeprowadzonych wymienionymi wyżej przyrządami.

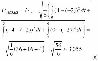
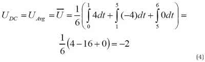
Najpierw obliczymy teoretyczne wartości poszczególnych napięć zgodnie ze wzorami 1, 2 i 3. Przebieg testowy przedstawiono na rysunku 3. Obliczamy wartość średnią, przyjmując dla uproszczenia, że T=6. Wówczas:

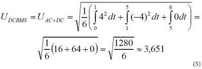
Teraz obliczamy pełną wartość skuteczną (uwzględniającą składową stałą), zachowując wcześniejsze założenie, że T=6:

Pozostało jeszcze obliczenie wartości skutecznej bez uwzględnienia składowej stałej:

Rysunek 6. Pomiary napięcia średniego i skutecznego DCRMS i ACRMS przebiegu testowego wykonane oscyloskopem USB Analog Discovery

Pozostaje już tylko sprawdzenie, jak parametry te zostaną zmierzone przez poszczególne przyrządy. Tu ważna uwaga: Każdy z zastosowanych oscyloskopów ma inną liczbę działek na osi czasu, więc na ekranie będziemy obserwowali różne przedziały czasowe przebiegów. Jeśli założymy, że zawsze mają być widoczne dokładnie dwa okresy, konieczna będzie zmiana częstotliwości przebiegu dla każdego oscyloskopu.

Sprawdzimy czy multimetr będzie sobie z tym radził automatycznie (powinien). I tak: na ekranie oscyloskopu DS1202CA jest 12 działek, co przy podstawie czasu np. 1 ms/dz oznacza, że obserwujemy 12 ms przebiegu, więc e tym pomiarze należy ustawić częstotliwość 2/12 [ms], czyli 166,7 Hz. W oscyloskopie DS2202 jest 14 działek, co odpowiada częstotliwości 142,9 Hz, natomiast w oscyloskopie USB Analog Discovery jest 10 działek, więc dla tego pomiaru należy ustawić częstotliwość 200 Hz.

Wyniki pomiarów przedstawiono na rysunkach 4, 5 i 6. Jak widać, wskazania są zbliżone do obliczeń teoretycznych, czego się spodziewaliśmy świadomie dobierając częstotliwość. Drobne różnice w wynikach mogą powstawać na skutek nieidealnego kształtu generowanego fizycznie przebiegu, offsetów poszczególnych przyrządów itp. Oscyloskopy wykorzystane do eksperymentów nie miały opcji pomiaru napięcia skutecznego ACRMS, więc ten parametr zmierzono tylko multimetrem. Wynik pomiaru przedstawiono na fotografii 7.

True RMS

Fotografia 7. Pomiar napięcia skutecznego ACRMS przebiegu testowego wykonany multimetrem DMM914

Przywykliśmy już do tego, że współczesne multimetry cyfrowe, co najmniej średniej klasy, mierzą prawdziwą wartość skuteczną (True RMS - True Root Mean Square), zatem rodzi się pytanie, co w takim razie mierzą mierniki niemające tej cechy? Powróćmy jeszcze na chwilę do matematycznej definicji wartości skutecznej (wzór 2). Występujące w niej operacje podnoszenia do kwadratu, całkowania i pierwiastkowania, choć przy obecnym stanie techniki nie stwarzają większego problemu, kiedyś nie były łatwe w realizacji.

Dużo prościej jest zastosować prosty układ uśredniający (całkujący - np. filtr RC), a miernik wyskalować w jednostkach wartości skutecznej. Do przeliczania jest wykorzystywany współczynnik określający zależność między wartością średnią a skuteczną dla sinusoidy. Oznacza to, że mierniki RMS fizycznie zawsze mierzą wartość średnią, a wynik podają tak, jakby przebieg mierzony miał kształt sinusoidalny.

Z oczywistych powodów takie przyrządy, choć będą poprawnie mierzyły przebiegi sinusoidalne, to nie nadają się do pomiarów przebiegów odkształconych. Błąd pomiaru może być rzędu nawet kilkudziesięciu procent. Przykładowo, pomiar napięcia skutecznego przebiegu z rysunku 1 miernikiem RMS (Metex) dał wynik 0,95 V. Błąd pomiaru jest więc równy 25%!

Jarosław Doliński, EP

Artykuł ukazał się w
Elektronika Praktyczna
październik 2014
DO POBRANIA
Pobierz PDF Download icon
Elektronika Praktyczna Plus lipiec - grudzień 2012

Elektronika Praktyczna Plus

Monograficzne wydania specjalne

Elektronik listopad 2025

Elektronik

Magazyn elektroniki profesjonalnej

Raspberry Pi 2015

Raspberry Pi

Wykorzystaj wszystkie możliwości wyjątkowego minikomputera

Świat Radio listopad - grudzień 2025

Świat Radio

Magazyn krótkofalowców i amatorów CB

Automatyka, Podzespoły, Aplikacje listopad - grudzień 2025

Automatyka, Podzespoły, Aplikacje

Technika i rynek systemów automatyki

Elektronika Praktyczna listopad 2025

Elektronika Praktyczna

Międzynarodowy magazyn elektroników konstruktorów

Elektronika dla Wszystkich grudzień 2025

Elektronika dla Wszystkich

Interesująca elektronika dla pasjonatów