Sieć telefonii komórkowej 5G (2). Od teorii do praktykti budowania urządzeń

Sieć telefonii komórkowej 5G (2). Od teorii do praktykti budowania urządzeń
Pobierz PDF Download icon

Wydaje mi się, że większość inżynierów elektroników miała do czynienia z urządzeniami radiowymi przede wszystkim jako ich użytkownicy. To znaczy, konstruowali co prawda urządzenia transmitujące dane z wykorzystaniem fal radiowych, jednak używając z gotowych modułów lub innych urządzeń i co najwyżej dodając do nich jakąś antenę z oferty dystrybutorów. Ale ci, którzy choćby otarli się o zagadnienia związane z antenami nadawczo-odbiorczymi przeznaczonymi do pracy przy częstotliwości rzędu kilku gigaherców lub mieli do czynienia z tzw. integralnością sygnałów przy transmisji danych przeprowadzanej z bardzo dużą prędkością, na pewno wiedzą, jak trudno jest wykonać poprawnie działający obwód w.cz., gdy każdy milimetr długości ścieżki oraz jej kształt mają tak duże znaczenie. Tymczasem technologia 5G wprowadza do powszechnego użycia fale milimetrowe. Czy nie ciekawi was, jak konstruuje się urządzenia dla fal o takiej długości?

Zakresy fal milimetrowych, które będą używane w transmisji 5G, to między innymi pasma częstotliwości 28, 38, 64 i 71 GHz, dotychczas uważane za bezużyteczne dla sieci komercyjnych. Ich użycie stało się możliwe dzięki opracowaniu nowych algorytmów przetwarzania sygnałów, nowym schematom modulacji, rozwojowi technologii MIMO, opracowaniu nowych podzespołów elektronicznych i innym, niewymienionym.

W pierwszej części artykułu można było przeczytać o podstawach działania sieci 5G, natomiast w kolejnych skupimy się na warstwie sprzętowej, podając szereg informacji dotyczących sposobów opracowywania urządzeń korzystających z zalet infrastruktury 5G. Raczej nie podamy tu recepty na to, jak zbudować własny telefon 5G, ale skupimy się na aspektach funkcjonowania takiego urządzenia lub systemu łączności.

Niegdyś podstawową usługą oferowaną przez operatorów telefonii komórkowej była transmisja sygnału mowy. Jednocześnie operatorzy sieci i producenci urządzeń zainwestowali ogromny wysiłek i środki w to, aby poprawić nasze odczucia podczas korzystania z sieci: początkowo w QoS (jakość usług), a następnie w QoE (jakość wrażeń). Co prawda, w sieciach GSM głos był zamieniany na postać cyfrową i tak transmitowany, ale na pierwsze połączenia danych trzeba było trochę poczekać. Myślę, że wiele osób pamięta pierwsze modemy GSM pracujące z prędkością od 9,6 do 14,3 kb/s i… koszmarnie wysoką opłatę za ich użytkowanie.

Wraz z przeniesieniem ciężaru usług w stronę transmisji danych zaczęło brakować pasma radiowego, kanałów transmisyjnych, prędkości i pojemności sieci, więc zaczęła ona ewoluować w stronę umożliwiającą jak najszybszą transmisję danych. Współcześnie wydaje się, że coraz więcej osób nie tyle rozmawia przez telefon, ile korzysta z szeregu aplikacji przeznaczonych do obsługi tzw. czatów i sieci społecznościowych. Korzystamy też z informacji dostępnych za pomocą telefonu na stronach internetowych, za pośrednictwem serwisów informacyjnych oraz w inny sposób, ale zawsze podstawą jest transmisja danych. Zmienił się też sposób korzystania z telefonu, a tym samym musi zmienić się również towarzysząca mu infrastruktura sieci oraz dostępnych usług. Jak pisaliśmy w pierwszej części, wraz z technologią 5G wymagania te wzrosły jeszcze bardziej.

Jako spadek po QoS sieci 5G odziedziczyły wymagania odnośnie do prędkości transmisji w kierunku downlink. Teoretyczna, szczytowa prędkość transmisji ma wynosić 10 Gb/s w terenie silnie zurbanizowanym, a więc w takim, w którym będzie wystarczająco dużo stacji bazowych, aby zapewnić wymaganą pojemność sieci (a tym samym liczbę kanałów transmisyjnych). Przy tak dużej prędkości transmisji i skróconym czasie latencji na pewno poprawią się wrażenia z użytkowania urządzenia, a tym samym zostanie spełnione wymaganie odnośnie do zapewnienia wystarczającego poziomu QoE. Jak się jednak zapewne spodziewamy, umożliwienie osiągnięcia tak dużej prędkości transmisji stawia podwyższone wymagania efektywności wykorzystania widma częstotliwości (co najmniej 100 bitów/s/Hz), bazując na paśmie o szerokości 100 MHz, które operator jest w stanie zapewnić za pomocą 5 komponentów nośnych (każdy o szerokości pasma 20 MHz). Jeśli szerokość pasma RF jest stała, to takie wymagania doprowadzają do konieczności użycia wyższych schematów modulacji, użycia multipleksowania przestrzennego z większą liczbą warstw lub obu tych technik jednocześnie.

Wymienione wyżej wymagania odnośnie do interfejsu radiowego wymuszają zastosowanie prądożernych, skomplikowanych podzespołów o bardzo dobrych parametrach, co nie jest łatwe do osiągniecia przy tak dużej szerokości pasma. Na dodatek MIMO musi być zaimplementowane w urządzeniu o bardzo ograniczonej, wypełnionej podzespołami przestrzeni. W takiej sytuacji nie jest łatwo zapewnić właściwą czułość oraz efektywność promieniowania mocy. Dodatkową trudność sprawiają przedmioty znajdujące się w otoczeniu oraz sam użytkownik, który może zasłonić ręką powierzchnię anten.

Telefon komórkowy przystosowany do pracy w sieci 5G może zawierać antenę MIMO 4×4 i używać schematu modulacji 256QAM. Wtedy teoretyczna prędkość transmisji w kierunku downlink sięga 1960 Mb/s przy użyciu 5 komponentów nośnych. Jednocześnie takie urządzenie osiąga maksymalne korzyści z tytułu multipleksowania przestrzennego ze względu na ograniczony obszar dla anteny MIMO. W rezultacie największa osiągalna efektywność spektralna jest rzędu 20 bitów/s/Hz. Dla wspomnianego urządzenia mobilnego osiągnięcie wymaganej prędkości transmisji 10 Gb/s wymaga pasma o szerokości 500 MHz, które aktualnie nie jest dostępne w rozumieniu ograniczonej przestrzeni widma zajmowanej przez operatorów telekomunikacyjnych.

W międzyczasie szybko rozwija się standard Wi-Fi. Najnowsze urządzenia do transmisji danych, kompatybilne ze standardem IEEE 802.11ac, mogą wykorzystywać technologię 4×4 MU-MIMO (multi-user MIMO) w kierunku downlink, pracując w paśmie 60 GHz, to jest w zakresie fal milimetrowych. Zapowiedziano też nowe standardy: IEEE 802.11ax oraz IEEE 802.11ay, które będą następcami standardów, odpowiednio - IEEE 802.11ac i 802.11ad. W założeniach mają one zapewnić lepszą jakość usług, lepsze pokrycie obszaru i większą prędkość transmisji oraz krótszy czas latencji przy komunikacji na niewielką odległość. Ponadto w urządzeniach mobilnych są implementowane również inne rodzaje interfejsów radiowych, takie jak Bluetooth, NFC oraz odbiorniki nawigacji satelitarnej. Te technologie bezprzewodowe konkurują z technologią 5G, zajmując przestrzeń, pasmo radiowe, zasoby sprzętowe i czerpiąc energię z baterii zasilającej. Dla przykładu, bardzo trudno jest wykonać w ramach przestrzeni dostępnej w urządzeniu anteny pracujące w zakresie częstotliwości od 700 MHz do blisko 6 GHz zajmowanym przez poszczególne interfejsy radiowe, a przy tym zaimplementować antenę MIMO wymaganą przez 5G.

W świetle wymienionych wyzwań konstrukcyjnych obowiązujących w paśmie poniżej 6 GHz, a związanych z koniecznością zapewniania możliwości łączności różnym standardom, uwagę autorów standardów przyciąga pasmo milimetrowe, ponieważ anteny urządzeń pracujących w tym paśmie będą miały bardzo małe wymiary. W lipcu 2016 r. organizacja FCC zaproponowała wykorzystanie nielicencjonowanych pasm 28 GHz (27,5…28,35 GHz), 37 GHz (37…38,6 GHz), 39 GHz (38,64 GHz) oraz nowe nielicencjonowane pasmo 64…71 GHz. Ta inicjatywa podjęta przez FCC pomaga zmierzyć się z wyzwaniami stawianymi przez technologię 5G na różnych obszarach. Po pierwsze, szersze, ciągłe pasmo radiowe pozwala na uzyskanie większej prędkości transmisji. Po drugie, użycie zakresu fal milimetrowych prowadzi do znacznego zmniejszenia fizycznych wymiarów anteny, co w efekcie ułatwia formowanie wiązki oraz multipleksowanie przestrzenne.

W świetle opisanych wymagań trudno nie domyślić się, że wykonanie urządzenia mobilnego korzystającego z dobrodziejstw oferowanych przez sieć 5G jest o wiele bardziej złożone niż przy użyciu wcześniejszych technologii. Przyjrzyjmy się niektórym aspektom.

Zasilanie

Jak można zaobserwować, prędkość transmisji danych w sieciach Wi-Fi oraz komórkowych wzrastała około 10-krotnie co 5 lat. Z drugiej strony, na przestrzeni 20 lat zaszły 3 ważne zmiany w technologii stosowanej w akumulatorach urządzeń mobilnych. Na początku mieliśmy do czynienia z bateriami NiCd, następnie NiMH, a współcześnie głównie z Li-Ion.

W latach od 1995 do 2014 pojemność sieci wzrosła około 10 tys. razy, natomiast w tym samym okresie nastąpił jedynie 4…5-krotny wzrost mocy dostarczanej przez baterię zasilającą. Ilość energii dostępnej w akumulatorze urządzenia mobilnego jest jednym z wąskich gardeł rozwoju urządzeń przenośnych i silnie oddziałuje na QoE. Bez względu na trwające prace rozwojowe nad nowymi źródłami zasilania kluczowe znaczenie dla urządzeń mobilnych ma ich sprawność energetyczna, która pozwala na dłuższy czas pracy na jednym ładowaniu.

Sprzęt i płytka drukowana

Z punktu widzenia sprzętu użytego do budowy urządzenia sprawność działania urządzenia bezprzewodowego w dużej mierze zależy od ewolucji układów SoC, zmian w technologii produkcji płytek drukowanych, konstrukcji mechanicznej oraz - co bardzo ważne dla 5G - sposobu wykonania anteny. Jest naturalne, że konstruktorzy urządzeń chętnie stosują układy SoC o dużej skali integracji, ponieważ znacznie upraszczają one budowę urządzenia oraz ograniczają pobór mocy. Aktualnie postęp w dziedzinie SoC nieco zwolnił, odkąd możliwości technologii sięgnęły nanometrów, jednak nadal trwają badania w zakresie nowych materiałów oraz trwają próby opracowywania układów scalonych złożonych z 3-4 warstw półprzewodnikowych.

Rysunek 8. Przykładowe rozmieszczenie elementów na płytce smartfonu 5G

Na rysunku 8 pokazano przykładowe rozmieszczenie elementów wewnątrz telefonu komórkowego. Oczywiście to tylko przykładowy wygląd płytki drukowanej, która w rzeczywistości może wyglądać zupełnie inaczej. Współczesny aparat jest bardzo złożonym urządzeniem nie tylko pod względem skali integracji oraz liczby komponentów, ale również ze względu na liczbę zintegrowanych funkcjonalności na przykładowej płytce można zauważyć: transceivery 5G, Wi-Fi, przełącznik anten, wzmacniacz mocy, transceiver Bluetooth, odbiornik nawigacji satelitarnej, procesor aplikacyjny, układ zarządzania zasilaniem, pamięć RAM i inne. Współcześnie wiele z układów stosowanych w telefonach jest dostarczanych przez różnych producentów i są opracowywane na potrzeby konkretnego wyrobu. Oczywiście, zdarza się tak, że układ scalony lub moduł są używane w różnych urządzeniach, ale równie dobrze ich produkcja może się zakończyć wraz z określonym modelem aparatu.

Równocześnie z rozwojem układów scalonych są rozwijane metody wytwarzania płytek drukowanych. Rozwój następuje głównie w kierunku wytwarzania coraz mniejszych podstawek układów scalonych, węższych ścieżek i coraz mniejszych odstępów pomiędzy nimi. W efekcie na pojedynczej płytce może być zamontowanych więcej układów, co skutkuje mniejszymi stratami oraz lepszym dopasowaniem impedancji. Wpływa to na pracę nie tylko bardzo szybkich układów cyfrowych, ale przede wszystkim na transceivery radiowe umożliwiając uzyskanie większej czułości, lepszego odstępu sygnał/szum oraz podwyższenie mocy nadajnika. Jednak nic za darmo, ponieważ na takiej płytce znacznej komplikacji ulegają zagadnienia związane z integralnością sygnałów. Na przykład przebiegi zegarowe oraz ich harmoniczne mogą wpływać na czułość odbiornika, degradując ją lub zmniejszając elementarną stopę błędu. Z tego powodu oraz dla zapewnienia kompatybilności elektromagnetycznej jest wymagane ekranowanie podzespołów - funkcję ekranu pełni również obudowa. Innym często napotykanym, typowym problemem jest degradacja czułości odbiornika z powodu przenikania części sygnału z wyjścia nadajnika do wejścia odbiornika na skutek niewystarczającej "izolacji" pomiędzy wyprowadzeniami. Ma to szczególne znaczenie podczas agregacji nośnej, na przykład, gdy harmoniczna sygnału przypada w paśmie sparowanej nośnej. Jak można przewidzieć, problemy te staną się bardziej powszechne w urządzeniu końcowym 5G.

Antena lub anteny

Współczesne smartfony są napakowane różnymi standardami komunikacji bezprzewodowej i dlatego oraz ze względu na szczupłość miejsca, inaczej niż w erze telefonii 2G/3G, ich konstruktorzy spodziewają się, że współczesna antena obsłuży wiele standardów komunikacji, a nie tylko jeden. Z tego powodu oczekuje się jej dobrej charakterystyki w zakresie częstotliwości od około 700 MHz do 6 GHz (nie jest wymagana liniowa charakterystyka anteny w całym zakresie, ale pokrycie używanych częstotliwości). Oprócz tego taka antena powinna też umożliwiać multipleksowanie przestrzenne, wymagane w technologii MIMO. Jednocześnie musi być spełnione wymaganie odnośnie do sprawności energetycznej anteny oraz małego współczynnika jej absorpcji, a wszystko to pomimo obudowy nierzadko metalizowanej lub wykonanej z metalu. Do tego dochodzą jeszcze oczekiwania konsumentów odnośnie do wyglądu gotowego produktu (na przykład cienka obudowa, wąska ramka wokół wyświetlacza, dotykowy ekran, ekran umieszczony z obu stron aparatu, długi czas pracy bez ładowania, interfejsy zewnętrzne i inne). Pogodzenie tych wszystkich wymagań nie jest łatwe i wymaga interdyscyplinarnego, współpracującego ze sobą zespołu konstruktorów, zdolnego do wypracowania kompromisu.

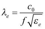
Wymiary anteny są proporcjonalne do długości fali. Można je przybliżyć wzorem [9]:

gdzie:

  • C0 - prędkość światła w próżni,
  • f - częstotliwość fali,
  • εe - efektywna przenikalność dielektryczna.

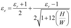
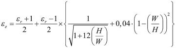
Efektywna przenikalność dielektryczna εr może być opisane wzorem [9]:

Jeśli W/H <1

Jeśli W/H ≥ 1

We wzorach W jest szerokością anteny, natomiast H jest grubością podłoża, na którym jest zamontowana antena. Można stąd wywnioskować, że wymiary anteny są w głównej mierze określone przez częstotliwość fali oraz materiał podłoża. Mimo że większa efektywna przenikalność dielektryczna redukuje wymiary anteny, to jednocześnie degraduje jej sprawność, ponieważ znaczna część promieniowanej energii zostanie ograniczona w podłożu, zamiast być wypromieniowana na zewnątrz.

Rysunek 9. Przykładowa budowa wewnętrzna smartfonu 5G (sposób montażu ekranu mikrofalowego wewnątrz aparatu)


Rysunek 10. Kierunek promieniowania wiązki radiowej

Opracowanie anteny dla urządzenia przenośnego pracującego w sieci 5G tworzy wiele wyzwań. Wymagane jest pokrycie zakresów fal 3GPP oraz 5G, a więc od fal centymetrowych do milimetrowych. Z tego punktu widzenia wykonanie anteny MIMO pracującej poprawnie w założonym zakresie częstotliwości jest bardzo trudne i wymaga przestrzeni wewnątrz urządzenia dla zapewnienia dobrej izolacji oraz separację od wpływu czynników zewnętrznych. Co prawda współcześnie poszczególne elementy anteny uległy miniaturyzacji, ale metalowa obudowa może degradować sprawność anteny.

Inne czynniki

Oprócz omówionych wcześniej trzech głównych czynników wymagających szczególnej uwagi w czasie opracowywania urządzenia pracującego w sieci 5G są również inne czynniki wpływające na urządzenia pracującego w sieci 5G. Na przykład, z punktu widzenia sprzętu, trzeba rozpatrzeć możliwość zachodzenia interferencji pomiędzy poszczególnymi komponentami. Na przykład przetwornica zasilająca podświetlenie LCD może degradować czułość obwodów wejściowych.

Wzajemny wpływ komponentów może zachodzić również na innym poziomie. Jest mi znany przykład markowego aparatu telefonicznego 3GPP, w którym grzejący się układ SoC powodował odbarwienie wyświetlacza.

Na rysunku 9 pokazano przykładową budowę smartfonu. Jak można zauważyć, pomiędzy ekranem a płytką bazową jest montowany ekran mikrofalowy. Zadaniem tego ekranu jest minimalizacja mocy wiązki kierowanej podczas rozmowy w stronę głowy użytkownika oraz ograniczenie wpływu fal radiowych na wyświetlacz (rysunek 10). Dzięki niemu energia może być wypromieniowana przez antenę prawie wyłącznie przez tylną ściankę telefonu, w kierunku przeciwnym niż ekran (rysunek 11). Konieczność zamontowania ekranu nie pozostaje bez wpływu na grubość aparatu oraz degraduje współczynnik kształtu.

W nowoczesnych smartfonach montowane są również inne komponenty, zupełnie nieprzydatne z punktu widzenia komunikacji 5G. Mogą to być kamera (lub kamery), głośnik, czytnik odcisków palców i inne. Stosowane w smartfonach płytki bazowe oraz baterie nie mają znormalizowanych kształtów. Bateria może być owinięta folią aluminiową, a płytka pokryta znacznymi obszarami masy, co nie pozostaje bez wpływu na kształt wiązki elektromagnetycznej i parametry urządzenia, a przez to może prowadzić do nieoczekiwanych efektów, możliwych do stwierdzenia dopiero w gotowym urządzeniu lub jego prototypie.

Rysunek 11. Różne sposoby trzymania smartfonu przez użytkowników

Na koniec

Jak można zauważyć, opracowanie urządzenia poprawnie pracującego w sieci 5G nie jest zadaniem łatwym i wymaga - jak wspomniano - interdyscyplinarnego zespołu specjalistów, w którym będą musiały być dyskutowane zagadnienia z wielu dziedzin techniki. Na pewno w miarę upływu czasu wiele komponentów będzie wykonywanych w postaci modułów, jednak nawet ich poprawne aplikowanie nie będzie zadaniem łatwym. Wyobraźmy sobie, dla przykładu, macierz anten - nawet "niewielką" 4×4 - i jej dołączenie do układu radiowego z zachowaniem parametrów połączenia, takich jak poprawna impedancja, jak najmniejsze tłumienie, integralność sygnałów, a wszystko w miniaturowej obudowie współczesnego smartfonu.

W kolejnym artykule z tego cyklu zaprezentujemy budowę przykładowego smartfonu. Powiedzmy sobie szczerze, że niewielu z nas ma lub będzie miało okazję konstruować telefony komórkowe. Jednak z drugiej strony, zagadnienie jest bardzo ciekawe dla każdego, kto chociaż w minimalnym stopniu interesuje się elektroniką i kto chociaż raz zbudował dowolny interfejs radiowy.

Jacek Bogusz, EP

 

Bibliografia:

  1. "5G new radio network. Uses cases, spectrum, technologies and architecture", 2016, Nokia white paper
  2. "Opportunities in 5G: the view from eight industries", Ericsson Survey Report, 2016
  3. "5G empowering vertical industries", the 5G Infrastructure Public Private Partnership (5G-PPP) Technical Report, 2016
  4. "Study on scenarios and requirements for next generation access technologies", 3GPP Technical Report TR38.913, ver. 14.2.0, Release 14, 2017
  5. A. A. Zaidi, r. Baldemair, H. Tullberg, H. Bjorkegren, L. Sundstrom, J. Medbo, C. Kilinc, and I. D. Silva "Waveform and numerology to support 5G services and requirements", IEEE Communications Magazine, vol. 54, no. 11, 2016
  6. "Phased Array Antennas & The Roadmap to 5G Wireless", http://bit.ly/2XFHcJj, lipiec 2017
  7. "Designing for the future: the 5G NR physical layer", http://bit.ly/2tTlcgG
  8. Sampson Hu, David TannerBuilding "Smartphone Antennas That Play Nice Together. 3D manufacturing can defeat the interference problem inside smart devices", http://bit.ly/2HiqxWr
  9. Yiming Huo, Xiaodai Dong, And Wei Xu "5G Cellular User Equipment: From Theory to Practical Hardware Design", IEEE Access Journal
Artykuł ukazał się w
Elektronika Praktyczna
maj 2019
DO POBRANIA
Pobierz PDF Download icon
Elektronika Praktyczna Plus lipiec - grudzień 2012

Elektronika Praktyczna Plus

Monograficzne wydania specjalne

Elektronik listopad 2025

Elektronik

Magazyn elektroniki profesjonalnej

Raspberry Pi 2015

Raspberry Pi

Wykorzystaj wszystkie możliwości wyjątkowego minikomputera

Świat Radio listopad - grudzień 2025

Świat Radio

Magazyn krótkofalowców i amatorów CB

Automatyka, Podzespoły, Aplikacje listopad - grudzień 2025

Automatyka, Podzespoły, Aplikacje

Technika i rynek systemów automatyki

Elektronika Praktyczna listopad 2025

Elektronika Praktyczna

Międzynarodowy magazyn elektroników konstruktorów

Elektronika dla Wszystkich grudzień 2025

Elektronika dla Wszystkich

Interesująca elektronika dla pasjonatów