Wyświetlacze LCD - rozwój pod każdym względem

Wyświetlacze LCD - rozwój pod każdym względem
Pobierz PDF Download icon
Rynek wyświetlaczy elektronicznych stale ewoluuje. Parametry nowe modeli, pojawiających się w sprzedaży, stopniowo przekraczają kolejne granice, które jeszcze rok, czy dwa lata temu były praktycznie nieosiągalne. Proces ten jest obserwowany także i w innych dziedzinach elektroniki, ale w przypadku wyświetlaczy jest bardziej skomplikowany, gdyż liczba kluczowych parametrów, decydujących o jakości prezentowanego obrazu jest dosyć duża. A to daje duże pole do popisu wiodącym firmom na rynku.

Jakie cechy wydają się być najważniejsze w wyświetlaczu? Odpowiedź będzie zależała od konkretnej aplikacji, choć w uproszczeniu da się stwierdzić, że dobry wyświetlacz pokazuje żywe kolory o dużym nasyceniu, jest jasny i czytelny w różnych warunkach oraz pozwala na prezentowanie drobnych szczegółów, a więc ma dużą rozdzielczość. Ale to nie wszystko, bo ważny też będzie szeroki kąt obserwacji, duży zakres temperatury pracy oraz odpowiedni kontroler, który umożliwia szybkie przygotowanie programu.

Naturalnie jest konieczne też znalezienie modelu o odpowiedniej przekątnej, z którą wiążą się wymiary wewnętrzne ekranu. W dobrych, nowoczesnych wyświetlaczach producentom udało się zminimalizować różnicę pomiędzy wymiarami wewnętrznymi, a zewnętrznymi, co pozwala na projektowanie urządzeń, w których ramka dokoła ekranu ma bardzo małą szerokość.

Duże znaczenie w obecnych czasach ma też możliwość obsługi ekranu dotykowego, który bardzo często jest zintegrowany z wyświetlaczem, dlatego jego obecność i rodzaj również stanowią istotny parametr nowoczesnych wyświetlaczy elektronicznych.

Aktualne parametry

Nowoczesne wyświetlacze elektroniczne wciąż dostępne są w różnych technologiach wykonania, ale niektóre z dawniejszych praktycznie odeszły już w niepamięć. O ile cały czas dominują wyświetlacze LCD, stopniowo rosnącą popularność zyskują modele OLED. Niemniej, głównie ze względu na cenę, ale po części także niektóre cechy użytkowe, postęp w technologii LCD i rosnąca mnogość dostępnych rozwiązań są bardziej zauważalne, niż w OLEDach.

W przypadku technologii LCD, zdecydowaną zmianą, w stosunku do tego, co można było znaleźć na rynku jeszcze kilka lat temu, jest zupełne zastąpienie modeli z podświetleniem CCFL na rzecz LED. Diody świecące, w dużej mierze dzięki ich rozwojowi w ostatnich latach, praktycznie pod każdym względem stały się lepsze niż lampy fluorescencyjne.

Nie tylko dają jasne, białe światło i mają niewielkie rozmiary, zapewniające równomierne podświetlenie, ale też umożliwiają tworzenie wyświetlaczy przystosowanych do pracy w niskich temperaturach, w których tradycyjnie stosowane lampy nie byłyby w stanie poprawnie działać przez dłuższy czas.

Podświetlenie diodowe

Zastosowanie diodowego podświetlenia oraz nowoczesnych rodzajów matryc pozwala na uzyskanie dużej jasności wyświetlacza. Ta natomiast przekłada się na czytelność urządzenia w bezpośrednim świetle słonecznym. To bardzo istotna cecha, której znacznie w ostatnich latach wzrosło.

Coraz więcej wyświetlaczy stosowanych jest bowiem albo w urządzeniach przenośnych, albo w automatach, które mogą pracować na zewnątrz budynków. Obecnie, na potrzeby takiej aplikacji, warto poszukać modeli, cechujących się jasnością na poziomie przynajmniej tysiąca cd/m², ale dostępne są także modele LCD o jasności dochodzącej do 2000 cd/m².

Duża rozdzielczość - dużo obliczeń

Nieco mniejsze znaczenie ma obecnie kontrast, który oczywiście decyduje o ogólnej czytelności i jakości obrazu, ale już dawno osiągnięto wartości, które spełniają wymagania niemal dowolnej aplikacji. Oferta producentów zmieniła się za to bardziej w zakresie dostępnych rozdzielczości.

Coraz częściej można się spotkać z produktami, których gęstość upakowania pikseli jest na tyle duża, że prezentowane na wyświetlaczu szczegóły przestają być odróżniane gołym okiem. W praktyce jednak wyświetlacze o najwyższych rozdzielczościach nie są tak powszechnie dostępne, jakby się wydawało obserwując rynek elektroniki użytkowej, a szczególnie telefonów komórkowych.

Wynika to m.in. z faktu, że choć duża rozdzielczość ekranu bezpośrednio pozytywnie wpływa na jakość prezentowanego obrazu, to wiąże się też z licznymi problemami. Naturalnie, wyświetlacze o dużej rozdzielczości są znacznie droższe, niż ich mniej precyzyjne odpowiedniki, a do tego najczęściej cechują się nieco gorszymi, pozostałymi parametrami użytkowymi.

Dodatkowo, pobierają też więcej prądu, a ich obsługa może nastręczać wielu problemów. Trzeba pamiętać, że obrazy o dużej rozdzielczości wymagają zarówno większej ilości pamięci, jak i mocy obliczeniowej. Szczególnie ta druga może okazać się niewystarczająca, zwłaszcza gdy na ekranie prezentowane są animacje. Przykłady, w których producent "przedobrzył" widać m.in. właśnie wśród nowoczesnych smartfonów.

Nierzadko bowiem zdarza się, że nowsza generacja telefonu różni się od starszego przede wszystkim ekranem o większej rozdzielczości, którego gęstość upakowania pikseli znacznie przekracza już 300 punktów na cal. Dla ludzkiego oka nie stanowi to już wielkiej różnicy, ale dla procesora, który musi przetworzyć i przygotować obraz - już tak.

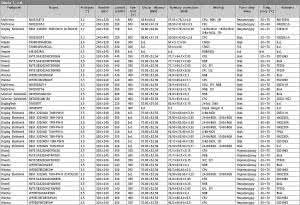
Tabela 1.

W efekcie bywają sytuacje, gdzie nowa generacja telefonu komórkowego, choć niby ma lepsze parametry, jest mniej ergonomiczna, gdyż działa wolniej, a do tego zużywa więcej prądu, potrzebnego do zasilenia i wyświetlacza i procesora, który rzadko kiedy przechodzi w tryb uśpienia. Warto dodać, że podobne problemy dotknęły nawet duże urządzenia, takie jak komputery firmy Apple.

W pierwszych MacBookach z wyświetlaczami Retina, a więc o rozdzielczościach 2880×1800 pikseli (220 ppi przy przekątnej 15,4"), producent uniemożliwiał przejście wyświetlacza do pracy w pełnej rozdzielczości, w trakcie normalnej pracy komputera, a jedynie podczas włączania określonych aplikacji pełnoekranowych.

Pozwoliło to uchronić nieświadomych użytkowników przed wprowadzaniem urządzenia w tryb, w którym ilość obliczeń potrzebnych do generowania obrazu do wyświetlenia na ekranie przekraczała możliwości procesora i powodowała znaczące spowolnienie działania systemu.

Dopiero dodatkowo płatna aplikacja umożliwiała świadomym użytkownikom ustawienie wyższej rozdzielczości niż 1440×900 pikseli. Mimo to, wyświetlacze "Retina", a szczególnie pierwsze z nich, sprawiały wiele problemów, gdyż ich dużą rozdzielczość osiągnięto kosztem innych parametrów, co skutkowało m.in. pojawianiem się cieni na ekranie, wynikających z niepełnych zmian stopnia skręcenia i ustawienia kryształków w matrycy LCD.

Takie przykłady jak ten uczą, że wybór wyświetlacza o dużej rozdzielczości warto poprzedzić odpowiednimi testami, które pozwolą upewnić się, że sprawdzi się on w projektowanej aplikacji.

Kontrolery

Ewoluują też kontrolery, stosowane do sterowania pracą wyświetlaczy. Zmiany w nich polegają przede wszystkim na dostosowywaniu dotychczasowych rozwiązań do nowych możliwości i rozdzielczości współczesnych wyświetlaczy, ale nie tylko. Coraz częściej spotykaną nowością są zaawansowane kontrolery, które wraz z wyświetlaczem tworzą niezależne, samodzielne moduły.

Komunikują się one z głównym mikrokontrolerem urządzenia, w którym są zainstalowane, za pomocą jakiegoś uniwersalnego interfejsu - np. I²C. Kontrolery te przyjmują proste polecenia, odnośnie wyświetlanych treści, a następnie same wykonują wszystkie obliczenia, konieczne do wykonania zgłoszonego żądania.

Pozwala to zdjąć z głównego mikrokontrolera obciążenie związane z obliczeniami na potrzeby wyświetlacza, a także uprościć samą integrację wyświetlacza z urządzeniem. Dostępne komendy obejmują najczęściej takie operacje, jak narysowanie linii, prostokąta, okręgu lub koła, wyświetlenie konkretnego tekstu, czasem w oparciu o wcześniej załadowaną czcionkę, a nawet załadowanie obrazu z pliku graficznego i umieszczenie go w ramce na wybranym fragmencie obrazu.

Obsługa takiego modułu wyświetlacza jest niezmiernie prosta i przypomina korzystanie z łatwej w użyciu, ale kompleksowej biblioteki graficznej. Co więcej, nie trzeba się martwić czasem wykonania operacji wyświetlania, ani sprytnie przeplatać operacji związanych z wyświetlaczem, z wykonywaniem pozostałych operacji, potrzebnych do działania aplikacji. Wystarczy wydać pojedyncze polecenie i dalej wykonywać operacje kluczowe dla danej aplikacji, a obliczenia związane z wyświetlaniem będą równolegle wykonywane przez kontroler wyświetlacza.

Ekrany dotykowe

Kontrolery tego typu mogą też mieć wbudowaną obsługę paneli dotykowych, które również coraz częściej integrowane są w wyświetlaczach. Zintegrowany ekran pojemnościowy pozwala na obsługę interfejsu dotykowego w sposób kompleksowy i bardzo naturalny dla użytkownika. Popularność ekranów tego typu znacząco wzrosła w ostatnich latach i wygląda na to, że należy się liczyć z tym, że stały się one standardem, mimo że nie zawsze ich stosowanie jest faktycznie w pełni uzasadnione.

Z punktu widzenia ergonomii, nierzadko bywa przecież tak, że dopiero przyciski mechaniczne, które łatwo wyczuć pod palcami, zapewniają możliwość bezdotykowego i niezawodnego sterowania urządzeniem. Jednakże w większości innych przypadków, użycie ekranu dotykowego pozwala w prosty i tani sposób stworzyć wygodny i intuicyjny interfejs, który na dodatek bardzo łatwo jest zaktualizować i z modernizować, jeśli istnieje taka potrzeba.

Oczywiście, aby użyć ekranu dotykowego, wcale nie trzeba wybierać wyświetlacza z bardzo zaawansowanym kontrolerem, który samoczynnie przetwarza proste polecenia na ciągi operacji. Większość dostępnych na rynku wyświetlaczy, zintegrowanych z ekranami dotykowymi, to nadal klasyczne rozwiązania, gdzie interfejs dotykowy ma postać kilkuprzewodową, i który trzeba samodzielnie obsłużyć.

Nie zmienia to faktu, że jeśli w danej aplikacji przewiduje się, stosowanie panelu dotykowego, warto od razu poszukać modelu zintegrowanego z wyświetlaczem, zamiast samodzielnie dobierać niezależne komponenty. Dzięki temu można się ustrzec problemów z nakładaniem ekranu na wyświetlacz i ma się pewność, że połączenie tych dwóch elementów będzie trwałe i szczelne.

Marcin Karbowniczek, EP

Artykuł ukazał się w
Elektronika Praktyczna
grudzień 2014
DO POBRANIA
Pobierz PDF Download icon
Elektronika Praktyczna Plus lipiec - grudzień 2012

Elektronika Praktyczna Plus

Monograficzne wydania specjalne

Elektronik listopad 2025

Elektronik

Magazyn elektroniki profesjonalnej

Raspberry Pi 2015

Raspberry Pi

Wykorzystaj wszystkie możliwości wyjątkowego minikomputera

Świat Radio listopad - grudzień 2025

Świat Radio

Magazyn krótkofalowców i amatorów CB

Automatyka, Podzespoły, Aplikacje listopad - grudzień 2025

Automatyka, Podzespoły, Aplikacje

Technika i rynek systemów automatyki

Elektronika Praktyczna listopad 2025

Elektronika Praktyczna

Międzynarodowy magazyn elektroników konstruktorów

Elektronika dla Wszystkich grudzień 2025

Elektronika dla Wszystkich

Interesująca elektronika dla pasjonatów