Moduł świateł dziennych na 555

Moduł świateł dziennych na 555
Pobierz PDF Download icon

Moduł świateł dziennych jest doskonałym dodatkiem dla starszych samochodów bez świateł dziennych. Wykorzystuje on światła drogowe jako dzienne. Zasada działania polega na obniżeniu napięcia skutecznego podanego na żarówki drogowe poprzez generowanie sygnału PWM o napięciu szczytowym 12 V.

W samochodach załączanie świateł odbywa się poprzez podanie masy na żarówki (12 V jest doprowadzone na stałe) lub poprzez podanie 12 V (masa jest dołączona na stałe). Układ został zaprojektowany dla samochodów, w których załączanie świateł drogowych odbywa się poprzez podanie 12V. Zmieniając wypełnienie sygnału PWM, czyli czas trwania podania 12V, zmieniamy wartość skuteczną napięcia

a tym samym ograniczamy prąd płynący przez żarówkę. Przy zmniejszeniu natężenia prądu maleje natężenie światła żarówki, ale światła do jazdy dziennej nie muszą świecić tak mocno, jak światła mijania. Moc świecenia należy ustawić doświadczalnie, kierując się tym, aby samochód był jak najbardziej widoczny oraz aby nasze światła nie oślepiały innych uczestników ruchu. W praktyce, moc żarówki ogranicza się do 5…30% wypełnienia generowanego sygnału, a wtedy prąd płynący przez taką żarówkę wynosi około 1…2,5 A. Należy nadmienić, że przepisy prawa zabraniają stosowania modułów tego typu w niektórych reflektorach.

Według przepisów światła do jazdy dziennej powinny się załączać natychmiast po załączeniu zapłonu, natomiast bardziej logiczne jest , aby załączenie to następowało dopiero po uruchomieniu silnika, gdy regulator alternatora spowoduje ustabilizowanie się napięcia na wartości około 14 V. Dlatego moduł świateł powinien wykryć wyższe napięcie po załączeniu silnika i uruchomić światła dzienne. Gdyby moduł załączał się od razu po załączeniu zapłonu, żarówki świeciłyby się od razu, co jest niekorzystne szczególnie zimą, gdy w niskiej temperaturze akumulator ma cięższe warunki do pracy.

Moduł musi być zasilany dopiero po załączeniu zapłonu samochodu, dlatego jego zasilanie musi być zrealizowane przez przekaźnik zapłonu, jeśli taki występuje lub dobudowany przez nas przekaźnik załączający się po uruchomieniu zapłonu.

W zależności od tego, czy alternator jest sprawny oraz, czy jest dobrze dobrany pod względem mocy odbiorników oraz jakiej jest jakości, wytworzone napięcie na biegu jałowym po załączeniu odbiorników może spadać do wartości napięcia na akumulatorze. O ile taka sytuacja rzadko może się zdarzyć przy większych obrotach silnika, może wystąpić, gdy stoimy w korku i mamy załączone podgrzewanie tylnej szyby, radio, nadmuch na przednią szybę oraz wycieraczki. Dzieje się tak, ponieważ wzbudzenie przy niskich obrotach jest wtedy za małe. Z tego powodu po pierwszym wykryciu załączenia silnika (wzrost napięcia) układ powinien mieć podtrzymanie, które w przypadku spadku napięcia do wartości napięcia na akumulatorze (przy wyłączonym silniku) spowoduje, że moduł nie przestanie działać.

Podstawową zaletą stosowania modułu jest przedłużenie żywotności akumulatora oraz rzadsza wymiana żarówek świateł mijania.

Budowa

W erze, w której większość urządzeń bazuje na mikrokontrolerze zdecydowano się, aby nie używać go w projekcie. Powoduje to, że osoby, które nie znają się za bardzo na programowaniu mikrokontrolerów nie będą mieć żadnego problemu z montażem. Jako serce projektu zastosowano coraz rzadziej używany w obecnych czasach timer 555, który ma przecież bardzo dużo możliwości.

Na rysunku 1 pokazano schemat modułu świateł dziennych. Rezystor R1 oraz Pot1 tworzą dzielnik rezystancyjny mierzący wartość napięcia na akumulatorze. Dzielnik służy głównie do pomiaru wzrostu napięcia po uruchomieniu silnika. Potencjometr Pot1 służy do wyregulowania, przy jakim napięciu ma się załączyć moduł świateł dziennych. Regulację tą należy tak przeprowadzić, żeby moduł poniżej napięcia na akumulatorze przy wyłączonym silniku nie załączył się natomiast powyżej tego napięcia nastąpiło jego uruchomienie. Napięcie z przedziału 13,1…13,3 V powinno być granicą, powyżej której następuje załączenie.

Rysunek 1. Schemat ideowy modułu świateł dziennych

Napięcie z dzielnika jest podawane na wtórnik napięciowy IC1A, z wyjścia którego jest podawane na układ całkujący, złożony z rezystora R2 oraz kondensatora C1. Układ ma za zadanie wytłumienie zakłóceń z alternatora oraz minimalne opóźnienie podania mierzonego napięcia akumulatora na komparator IC1B (t≈(4÷5)R2C1). Dzięki takiemu rozwiązaniu zostały całkowicie wyeliminowane przypadkowe załączenia modułu związane z wysterowaniem przekaźnika, który podaje zasilanie na moduł świateł dziennych.

Fotografia 2. Maksymalne, możliwe do ustawienia wypełnienie przebiegu zasilającego żarówkę
Fotografia 3. Minimalne, możliwe do ustawienia wypełnienie przebiegu zasilającego żarówkę

Na wyjście odwracające komparatora IC1B jest podane napięcie odniesienie 9,1 V za pomocą diody zenera D1 oraz rezystora R3. Po uruchomieniu silnika oraz wcześniejszym dobrym wyregulowaniu progu załączenia modułu (Pot1), na wejściu nieodwracającym pojawia się napięcie wyższe niż na wejściu odwracającym, dzięki czemu na wyjściu komparatora pojawia się napięcie. Poprzez dzielnik rezystancyjny R4, R10 jest ono doprowadzane do wejścia RESET timera 555, przez co zaczyna on działać jako multiwibrator astabilny. Dzielnik R4, R1 został tak dobrany żeby napięcie na wyjściu komparatora w stanie niskim (5…10% (Vcc/2)) nie powodowało załączenia timera. Układ R12C4 wraz z diodą Zenera D4 działa jako układ opóźniający wysterowanie tranzystora T3 w stosunku do napięcia występującego na wyjściu komparatora. Wysterowany tranzystor T3 zwiera wejście odwracające komparatora, dzięki czemu nawet przy obniżeniu napięcia na akumulatorze (spowodowane załączeniem dużej liczby odbiorników w samochodzie oraz niskimi obrotami silnika) na wyjściu komparatora nadal występuje napięcie.

Po załączeniu świateł pozycyjnych tranzystor T2 zwiera wejście RESET timera do masy, dzięki czemu układ 555 przestaje generować przebieg wyjściowy. Tranzystor T1 z rezystorem R8 działają jako negator. Gdy na wyjściu timera mamy poziom wysoki, to na bramce tranzystorów Q1, Q2 (MOSFET-P) występuje poziom niski potrzebny do ich pełnego wysterowania.

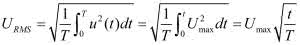
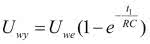
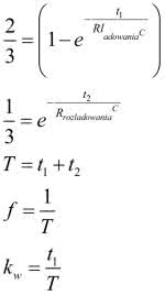
Układ 555 pracuje w aplikacji multiwibratora astabilnego dla, którego możliwa jest regulacja wypełnienia od 0…30%. Ponieważ układ musi pracować z odpowiednią częstotliwością, taką żeby nie było widać migotania światła, elementy pasywne współpracujące z timerem muszą mieć odpowiednie wartości. W projekcie zostały one dobrane w taki sposób, żeby minimalna częstotliwość wynosiła 1,08 kHz, natomiast minimalne wypełnienie sygnału wynosiło 7,5%.Ponieważ wejścia obu komparatorów timera 555 (THERESHOLD, TRIGGER) są dołączone do kondensatora C2, dlatego czas stanu wysokiego na wyjściu będzie równy czasowi ładowania tego kondensatora od napięcia (1/3)Vcc  do napięcia (2/3)Vcc. Czas stanu niskiego na wyjściu timera będzie równy czasowi rozładowania kondensatora C2 od napięcia (2/3)Vcc do napięcia (1/3)Vcc. Dzięki diodą D2 oraz D3 ładowanie kondensatora następuje poprzez rezystor R6, natomiast jego rozładowywanie do nóżki DISCHARGE (nóżka podłączona do kolektora tranzystora rozładowującego timera 555),poprzez potencjometr Pot2 oraz rezystor R7. Czas ładowania jest krótszy od czasu rozładowania. Czasy ładowania oraz rozładowania można obliczyć stosując wzór

dla ładowania oraz wzór

dla rozładowania.

Wzór ten można wyprowadzić rozwiązując równanie różniczkowe dla układu RC lub stosując transformatę Laplace’a dla tego układu. Rozwiązując poniższe równania można wyznaczyć wartość kondensatora C2 oraz rezystorów R6, R7 i potencjometru Pot2.

Żeby wyznaczyć wartości można także skorzystać z jednego z dostępnych wielu darmowych w sieci kalkulatorów.

Na rys. 2 oraz rys. 3 pokazano na oscyloskopie sygnał wyjściowy z timera przy dwóch skrajnych położeniach potencjometra Pot2. Zdjęcia potwierdzają prawidłowy dobór elementów dla timera 555.

Montaż i uruchomienie

Płytkę (rysunek 4) została zaprojektowana w taki sposób, żeby możliwe było jej wykonanie za pomocą żelazka. Wykorzystanie elementów przewlekanych powoduje, że nawet osoby o mniejszej wprawie w lutowaniu nie powinny mieć problemów ze zmontowaniem całego układu. W pierwszej kolejności zaczynamy od wlutowania obu układów scalonych, następnie montujemy wszystkie pozostałe elementy. Po zmontowaniu układu należy do tranzystorów zamontować radiatory używając także pasty termoprzewodzącej. Ponieważ tranzystory mocno nagrzewają się, należy cały układ umieścić w obudowie, która nie ulegnie stopieniu pod wpływem temperatury. Dobrze jest zastosować obudowę aluminiową i do niej przymocować tranzystory polowe, obudowa posłuży wtedy także jako radiator. Zmontowany układ przedstawiono na fotografii 5.

Rysunek 4. Schemat montażowy modułu świateł dziennych

Pierwsze uruchomienie należy przeprowadzić używając zasilacza laboratoryjnego. Pierwszą czynnością jest wyregulowanie mocy żarówki używając do tego potencjometru Pot2.Następną czynnością jest ustawienie na zasilaczu laboratoryjnym 12,5 V oraz wyregulowanie za pomocą potencjometru Pot1, żeby po podłączeniu modułu do zasilacza nie nastąpiło jego uruchomienie. Dobrze wyregulowany moduł będzie wtedy gdy przy zwiększaniu napięcia na zasilaczu uruchomienie modułu świateł dziennych nastąpi przy wartości 13,1 V.

Fotografia 5. Zmontowany moduł świateł dziennych

Po uruchomieniu modułu zmniejszanie napięcia na zasilaczu nie może powodować jego wyłączenia. Zwarcie przewodu wykrycia załączenia świateł pozycyjnych do zasilania musi spowodować wyłączenie modułu świateł dziennych. Jeżeli wszystko w warunkach laboratoryjnych działa poprawnie można przystąpić do zamontowania modułu w samochodzie. Do przewodu zasilającego moduł należy przylutować gniazdo bezpiecznika samochodowego oraz umieścić w nim bezpiecznik o wartości 10 A. Jak wspomniano, zasilanie modułu świateł dziennych powinno być doprowadzone przez przekaźnik uruchamiany w momencie załączenia zapłonu. Przewody, którymi podajemy zasilanie na światła drogowe powinny być podłączone za bezpiecznikami świateł drogowych. Przewód, którym moduł wykrywa załączenie świateł pozycyjnych należy podłączyć przed żarówką pozycyjną. Schemat montażu w pojeździe przedstawiono na rysunku 6. W przypadku, gdy po zamontowaniu okaże się, że światła oślepiają innych uczestników ruchu, należy zmniejszyć za pomocą potencjometru Pot2 wypełnienie sygnału PWM.

Rysunek 6. Schemat włączenia modułu w pojeździe

Po montażu w samochodzie należy sprawdzić, czy wszystko działa prawidłowo tzn. czy moduł uruchamia się dopiero po załączeniu silnika oraz, czy nie następuje jego wyłączenie jeżeli załączymy jak najwięcej odbiorników (np. podgrzewanie szyby tylnej, radio, nawiew wentylatora ustawiony na maksimum). Moduł świateł dziennych musi się wyłączyć, gdy załączymy światła pozycyjne lub mijania. W momencie załączenia świateł drogowych moduł zostaje z mostkowany przekaźnikiem uruchamiającym te światła. Moduł w samochodzie nie należy montować w pobliżu elementów mocno nagrzewających się, mogących spowodować uszkodzenie modułu. Przez jakiś czas po montażu, po przejechaniu dłużej trasy należy sprawdzić, czy czasem nie zamontowaliśmy modułu w miejscu, w którym jest wysoka temperatura i nie następuje przegrzanie tranzystorów MOSFET, co może objawić się całkowitym otwarciem ich kanału (światła drogowe będą świecić pełną mocą). Na fotografii 7 pokazano układ zamontowany w samochodzie marki Fiat Punto Grande. Moduł został zamontowany w samochodzie ponad dwa lata temu i jak do tej pory działa bez żadnej awarii.

Fotografia 7. Moduł świateł dziennych zamontowany w samochodzie Fiat Punto Grande

Krzysztof Miękus
lordwest1989@tlen.pl

 

Wykaz elementów:
Rezystory:
  • R1: 910 V
  • R2, R6, R12: 10 kV
  • R3, R4, R9, R11: 4,7 kV
  • R10, R8: 1 kV
  • R7: 22 kV
  • R5: 470 kV
  • Pot1: 5 kV/lin
  • Pot2: 100 kV/lin
Kondensatory:
  • C1, C4: 10 mF/25 V
  • C2: 10 nF
  • C3: 100 nF
Półprzewodniki:
  • D2, D3: 1N4004
  • D1, D4: dioda Zenera 9,1 V
  • T1, T2, T3: BC547
  • Q1, Q2: MOSFET-P np. IRF9540
  • IC1: TL082
  • IC2: NE555

 

Artykuł ukazał się w
Elektronika Praktyczna
grudzień 2018
DO POBRANIA
Pobierz PDF Download icon
Elektronika Praktyczna Plus lipiec - grudzień 2012

Elektronika Praktyczna Plus

Monograficzne wydania specjalne

Elektronik listopad 2025

Elektronik

Magazyn elektroniki profesjonalnej

Raspberry Pi 2015

Raspberry Pi

Wykorzystaj wszystkie możliwości wyjątkowego minikomputera

Świat Radio listopad - grudzień 2025

Świat Radio

Magazyn krótkofalowców i amatorów CB

Automatyka, Podzespoły, Aplikacje listopad - grudzień 2025

Automatyka, Podzespoły, Aplikacje

Technika i rynek systemów automatyki

Elektronika Praktyczna listopad 2025

Elektronika Praktyczna

Międzynarodowy magazyn elektroników konstruktorów

Elektronika dla Wszystkich grudzień 2025

Elektronika dla Wszystkich

Interesująca elektronika dla pasjonatów