Urządzenia zasilające (1). Podstawowe konfiguracje zasilaczy

Urządzenia zasilające (1). Podstawowe konfiguracje zasilaczy

W cyklu artykułów opiszemy działanie zasilaczy od strony teoretycznej i praktycznej oraz zamieścimy szereg wskazówek ułatwiających projektowanie tych układów. Ponadto wyjaśnimy wiele aspektów związanych z zasilaniem urządzeń, takich jak rozdzielanie mas czy izolacja galwaniczna. W pierwszej części przeanalizujemy podstawowe rozwiązania układowe stosowane w zasilaczach sieciowych.

Podstawowym zadaniem zasilacza sieciowego jest zamiana napięcia przemiennego sieci (w Polsce jest to 230 V AC) na określone napięcie stałe. Zwykle napięcie wyjściowe ma dużo niższą wartość, a dodatkowo wymagane jest galwaniczne odseparowanie od napięcia wejściowego. Z tego wynika konieczność stosowania transformatorów zarówno w zasilaczach klasycznych, jak i impulsowych.

Zasilacz klasyczny bez stabilizacji

Jest to najprostszy układ zasilacza. Składa się tylko z transformatora sieciowego i prostownika (rysunek 1). I pomimo coraz większej popularności zasilaczy impulsowych jest nadal stosowany. Ponieważ układ ten wnosi małe zakłócenia, często jest stosowany w urządzeniach audio (najczęściej do zasilania stopni wyjściowych, które nie wymagają napięcia stabilizowanego). Innym zastosowaniem tego układu są układy małej mocy, gdzie też nie ma wymagań w stosunku do napięcia wyjściowego takie jak np. zasilanie układów sterujących przetwornic dużej mocy czy układy podtrzymujące napięcie.

Rysunek 1. Schemat blokowy najprostszego zasilacza bez stabilizacji

Zasilacz klasyczny ze stabilizacją

Przed rozpowszechnieniem się zasilaczy impulsowych był to najczęściej stosowany układ zasilacza (rysunek 2). Obecnie szeroko stosuje się go w układach małej mocy, ponieważ ma niską sprawność. Zaletami tego układu są małe zakłócenia i bardzo dobra stabilność napięcia wyjściowego. Z uwagi na powyższe zalety jest też stosowany w zasilaczach laboratoryjnych.

Rysunek 2. Schemat blokowy zasilacza ze stabilizacją

Zasilacz z transformatorem sieciowym i stabilizatorem impulsowym

Rozwiązanie ze stabilizatorem impulsowym (rysunek 3) ma wysoką sprawność i jest stosowane w zasilaczach dużej mocy. Konfiguracja z transformatorem na wejściu jest rzadko stosowana, ponieważ została prawie całkowicie wyparta przez zasilacze impulsowe. Zaletą jest to, że dzięki zastosowaniu transformatora sieciowego wnosi małe zakłócenia. Niestety ten sam transformator sieciowy wpływa na duże wymiary i znaczą masę konstrukcji.

Rysunek 3. Schemat blokowy zasilacza z transformatorem sieciowym i stabilizatorem impulsowym

Zasilacz impulsowy

Obecnie najpopularniejszym rodzajem zasilaczy są zasilacze impulsowe (rysunek 4).

Rysunek 4. Schemat blokowy zasilacza z przetwornicą AC/DC

Wyróżniają się dużą sprawnością i małymi wymiarami transformatorów (fotografia 1). Zmniejszenie wymiarów transformatora jest możliwe dzięki pracy przy wyższych częstotliwościach - zazwyczaj około 50...100 kHz. Rozwiązanie jest stosowane w układach dużej mocy używa np. w komputerach oraz w miniaturowych zasilaczach służących do ładowania telefonów komórkowych.

Fotografia 1. Zasilacz impulsowy o mocy 150 W

Układy takie mają dużą sprawność i niewielkie wymiary. Wadą ich jest to, że emitują silne zakłócenia elektromagnetyczne (często umieszczane są w metalowej obudowie). Ponadto w zasilaczach impulsowych w napięciu wyjściowym występują tętnienia wysokiej częstotliwości.

Pozostałe układy stosowane w zasilaniu układów elektronicznych

Nieraz zachodzi konieczność konwersji napięcia wewnątrz układu elektronicznego, gdzie nie ma konieczności stosowania separacji galwanicznej. Możemy wtedy stosować konwertery impulsowe DC/DC, które umożliwiają zmniejszenie lub zwiększenie napięcia wyjściowego, w dowolnym stosunku oraz wytworzenie napięcia ujemnego.

Możemy również wykorzystać do tego celu pompy ładunkowe, jednak te rozwiązanie nie umożliwia regulacji napięcia wyjściowego. Jego zaletą jest brak elementów indukcyjnych. Z kolei jeśli chcemy tylko obniżyć napięcie wyjściowe, możemy zastosować stabilizator klasyczny (liniowy) szeregowy lub równoległy, co również zapewnia nam dużą dokładność napięcia wyjściowego i bardzo mały poziom tętnień.

Transformatory

Do wykonania zasilacza stosuje się transformatory sieciowe, wśród których można wyróżnić trzy typy:

  • kształtkowy EE,
  • zwijany,
  • toroidalny.

Rdzeń transformatora kształtkowego zbudowany jest z nałożonych na siebie wielu warstw cienkiej blachy permalojowej. Taka konstrukcja jest konieczna, ponieważ materiał rdzenia jest przewodnikiem prądu i mógłby powodować przepływ prądów wirowych. W transformatorze zwijanym rdzeń zbudowany jest z nawiniętych na siebie warstw taśmy permalojowej. Rdzeń toroidalny ma kształt pierścienia - konstrukcja taka, w stosunku do transformatorów kształtowych, ma mniejsze straty w rdzeniu oraz małą reaktancję rozproszenia, jak również mniejszy poziom hałasu.

Rdzenie transformatorów impulsowych są wykonane zazwyczaj z ferrytu, co powoduje, że mają one znacznie mniejszą przenikalność magnetyczną. Z uwagi jednak na to, że pracują na znacznie wyższych częstotliwościach, ich wymiary są dużo mniejsze (fotografia 2).

Fotografia 2. Wygląd małego transformatora impulsowego

Prostowniki

Na rysunkach 5 i 6 zostały pokazane schematy stosowanych układów prostowników diodowych z filtrem.

Rysunek 5. Prostownik dwupołówkowy z mostkiem Greatza
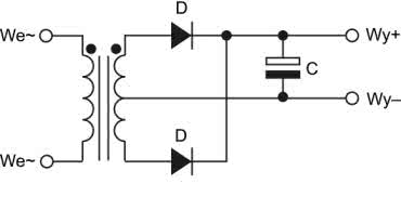
Rysunek 6. Prostownik dwupołówkowy z mostkiem Delona

Na rysunku 7 zostały pokazane przebiegi napięć i prądów występujących w takich układach. Kształt prądu diod (kolor czerwony) ma przebieg impulsowy. Z tego wynika, że szczytowa wartość tego prądu jest znacznie większa od średniej. W związku z tym w prostownikach sieciowych (napięcia sinusoidalnego) powinno się stosować diody prostownicze, które są przystosowane do takich warunków pracy. Drugim wnioskiem płynącym z impulsowego kształtu prądu jest to, że występuje większy spadek napięcia na rezystancjach pasożytniczych (głównie rezystancji uzwojeń transformatora), co także należy wziąć pod uwagę przy projektowaniu zasilacza.

Rysunek 7. Przebiegi napięć i prądów w układzie prostownika z filtrem

Przy wyznaczaniu napięcia wyjściowego należy uwzględnić spadek napięcia na diodach. Dla zwykłych diod prostowniczych wynosi on ok. 1 V. W mostku Greatza wynosi on 2×Ud=2 V, w mostku Delona 1×Ud=1 V.

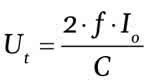
Ważnym parametrem napięcia wyjściowego jest poziom tętnień. Zależy on głównie od parametrów kondensatora filtrującego oraz prądu wyjściowego. Można je oszacować ze wzoru:

gdzie:

  • Ut - napięcie tętnień,
  • Io - prąd obciążenia,
  • C - pojemność kondensatora filtru,
  • f - częstotliwość napięcia sieci (50 Hz).

W rzeczywistości dla dużych wartości tętnień ich wartość jest nieco niższa niż wynikałoby to z powyższego wzoru.

W przypadku gdy nie zależy nam na dużej sprawności i obciążenie pobiera niewielki prąd (kilka miliamperów), w celu uproszczenia układu, możemy użyć prostownika jednopołówkowego.

Stabilizatory liniowe

Kształt napięcia na wyjściu prostownika sieciowego nie jest idealny. Przebieg tego napięcia zawiera pewien poziom tętnień. Ponadto wartość napięcia nie jest dokładnie ustalona. Z tych powodów stosuje się układy stabilizatorów. W zasilaczach klasycznych stosuje się zazwyczaj stabilizatory liniowe. Można je podzielić na dwa rodzaje:

  1. stabilizatory szeregowe,
  2. stabilizatory równoległe.

Zazwyczaj stosuje się stabilizatory szeregowe, ponieważ mają większą sprawność. Działają one na następującej zasadzie - napięcie wyjściowe jest porównywane z napięciem źródła odniesienia, a następnie wartość będąca różnicą tych napięć steruje układem regulacji prądu wyjściowego (rysunek 8). Układ porównujący te napięcia nazywa się wzmacniaczem błędu. Zazwyczaj na wejście wzmacniacz błędu jest podawane napięcie wyjściowe podzielone przez pewną wartość.

Źródłem napięcia odniesienia może być zwykła dioda Zenera. Jednak elementy te mają dużą niedokładność stabilizowanego napięcia, a ponadto w dużym stopniu zależy ono od temperatury. W dokładnych stabilizatorach stosuje się specjalne układy, które są skompensowane termicznie.

Elementem regulacyjnym jest zazwyczaj bipolarny lub unipolarny tranzystor mocy. W przypadku tranzystorów bipolarnych stosuje się zazwyczaj układ Darlingtona. Należy dodać, że od tego układu zależy parametr nazywany Drop-Out. Oznacza on minimalną różnicę pomiędzy napięciem wejściowym a wyjściowym, przy którym stabilizator pracuje poprawnie.

Rysunek 8. Schemat blokowy stabilizatora liniowego

W układzie z rysunku 8 napięcie wyjściowe można wyrazić wzorem:

Kompensacja częstotliwościowa

Stabilizatory liniowe podobnie jak wszystkie układy ze sprzężeniem zwrotnym mogą zachowywać się niestabilnie (działać jak generatory). Aby tego uniknąć, należy zastosować układy kompensacji częstotliwościowej. Zazwyczaj stosuje się kondensator w pętli ujemnego sprzężenia zwrotnego wzmacniacza błędu lub (oraz) kondensator na wyjściu stabilizatora (rysunek 9). Ponadto kondensator wyjściowy poprawia odpowiedź dynamiczną stabilizatora na szybkie zmiany prądu obciążenia.

Rysunek 9. Schemat obrazujący realizację kompensacji częstotliwościowej

Zabezpieczenie przeciwzwarciowe

Układ zabezpieczenia przeciwzwarciowego polega na pomiarze spadku napięcia na rezystorze o małej wartości podłączonego do wyjścia stabilizatora (rysunek 10, rysunek 11).

Rysunek 10. Ograniczenie prądowe ze wzmacniaczem różnicowym
Rysunek 11. Ograniczenie prądowe z tranzystorem wykrywającym przekroczenie prądu obciążenia

Gdy przekroczy ono wartość progową, blokowany jest element regulacyjny.

Zasilacze laboratoryjne

Jednym z głównych urządzeń, w których stosuje się stabilizatory liniowe, są zasilacze laboratoryjne. Główną cechą zasilacza laboratoryjnego jest to, że ma możliwość liniowej regulacji napięcia wyjściowego od 0 do napięcia maksymalnego. Zazwyczaj jest wyposażony też w regulację ograniczenia prądowego.

Dwa układy stabilizatorów stosowane w zasilaczach laboratoryjnych zostały pokazane na rysunkach 12 i 13.

Rysunek 12. Schemat blokowy stabilizatora laboratoryjnego z ujemnym napięciem pomocniczym
Rysunek 13. Schemat blokowy stabilizatora laboratoryjnego z dodatnim napięciem pomocniczym

W pierwszym przypadku napięcie wyjściowe obliczamy ze wzoru:

W drugim przypadku korzystamy ze wzoru:

Układy sterowane przez mikroprocesor

W nowoczesnych rozwiązaniach często stosuje się mikroprocesory do sterowania układami stabilizatorów. Służą one do ustawiania wartości napięcia i ograniczenia prądowego oraz do wyświetlania ustawionych parametrów.

Rysunek 14. Schemat blokowy sterowania stabilizatora przez mikrokontroler poprzez przetwornik cyfrowo-analogowy

Sterowanie stabilizatorem odbywa się poprzez ustawianie wartości napięcia odniesienia za pośrednictwem przetwornika cyfrowo-analogowego (rysunek 14) lub układu modulacji szerokości impulsu (PWM) oraz filtru dolnoprzepustowego (rysunek 15).

Rysunek 15. Schemat blokowy sterowania stabilizatora przez mikrokontroler poprzez układ modulacji szerokości impulsu

W takim układzie można zastosować podstawową konfigurację zasilacza, jednak należy zwrócić uwagę na zasilanie wzmacniacza błędu (najczęściej zwykłego wzmacniacza operacyjnego). Jeśli nie stosujemy układów zasilania pomocniczego, wytwarzającego napięcie ujemne, należy zastosować wzmacniacz operacyjny tolerujący zerowe napięcie wejściowe.

W tym miejscu kończymy pierwszą część artykułu. Kolejną rozpoczniemy od analizy budowy kilku popularnych stabilizatorów scalonych.

Tomasz Krogulski
krogul70@gmail.com

Artykuł ukazał się w
Elektronika Praktyczna
maj 2023
Elektronika Praktyczna Plus lipiec - grudzień 2012

Elektronika Praktyczna Plus

Monograficzne wydania specjalne

Elektronik listopad 2025

Elektronik

Magazyn elektroniki profesjonalnej

Raspberry Pi 2015

Raspberry Pi

Wykorzystaj wszystkie możliwości wyjątkowego minikomputera

Świat Radio listopad - grudzień 2025

Świat Radio

Magazyn krótkofalowców i amatorów CB

Automatyka, Podzespoły, Aplikacje listopad - grudzień 2025

Automatyka, Podzespoły, Aplikacje

Technika i rynek systemów automatyki

Elektronika Praktyczna listopad 2025

Elektronika Praktyczna

Międzynarodowy magazyn elektroników konstruktorów

Elektronika dla Wszystkich grudzień 2025

Elektronika dla Wszystkich

Interesująca elektronika dla pasjonatów