Budujemy mosty (3). Mostki wzbudzane napięciem zmiennym

Budujemy mosty (3). Mostki wzbudzane napięciem zmiennym

Mostki pomiarowe są stosowane nie tylko z elementami rezystancyjnymi. Układy tego rodzaju były używane do pomiaru wartości pojemności i indukcyjności elementów. Obecnie stosowane są w wielu aplikacjach z sensorami.

Sensory nie ograniczają się tylko do elementów rezystancyjnych. Istnieje wiele rodzajów sensorów, gdzie wraz z monitorowaną wartością zmienia się np. pojemność sensora. Przykładem mogą być tutaj np. pojemnościowe sensory przemieszczenia, stosowane w bardzo czułych systemach do śledzenia ruchu czy sensory indukcyjne, stosowane do wykrywania aut, zatrzymujących się na czerwonym świetle.

Może się wydawać, że sensory tego rodzaju to specyficzne rozwiązania, ale warto znać zasadę działania zmiennoprądowych mostków pomiarowych, stosowanych w tego rodzaju systemach. Tym bardziej że mostki pomiarowe działające z napięciem przemiennym nie są wcale tak różne od układów z napięciem stałym.

Mostki AC

Mostki zmiennoprądowe to układy mostkowe, które są wzbudzane napięciem zmiennym (AC). Stosuje się je po to, aby układ mostkowy mógł pracować nie tylko z elementami rezystancyjnymi, ale także indukcyjnymi i pojemnościowymi. Wyróżnia się dwa zasadnicze rodzaje mostków zmiennoprądowych – pojemnościowe i indukcyjne.

Mostki pojemnościowe

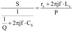
Typowy przykład mostka pojemnościowego został pokazany na rysunku 1. Składa się on z dwóch kondensatorów: stałego, o znanej pojemności CS i zmiennego CX, czyli naszego sensora oraz dwóch rezystorów, z czego jeden z nich, oznaczony na rysunku jako Q, jest opornikiem nastawnym. Do układu przyłożone jest napięcie przemienne – sygnał sinusoidalny o częstotliwości f.

Rysunek 1. Mostek pojemnościowy

Pomiędzy punktami środkowymi ramion mostka rozciągnięty jest detektor zera, który mierzy napięcie zmienne pomiędzy punktami środkowymi. W momencie, gdy napięcie mierzone przez miernik D (rysunek 1) wyniesie zero, mostek będzie w tzw. równowadze, co oznacza, że:

     (1)

czyli:

     (2)

Analogicznie, napięcie to można zapisać jako:

   (3)

co oznacza, że:

   (4)

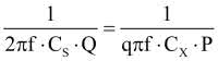
Jeśli podzielimy przez siebie równanie 2 i 4, otrzymamy:

     (5)

Teraz w miejsce XCS i XCX podstawić możemy równanie na impedancję kondensatora – zależy ona od pojemności danego elementu i częstotliwości, co daje finalnie:

   (6)

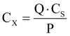
Jeżeli rozwiążemy to równanie dla nieznanej pojemności CX, to otrzymamy równanie:

     (7)

W takiej sytuacji wystarczy zmieniać rezystancję opornika Q tak długo, aż miernik D nie będzie wykrywał żadnego napięcia niezrównoważenia. Następnie można wyznaczyć nieznaną pojemność z wartości rezystancji i drugiej, znanej pojemności.

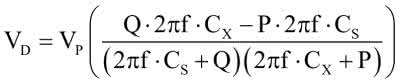
Drugie podejście bazuje na pomiarze napięcia niezrównoważenia. Jest to o tyle trudniejsze podeście w tego rodzaju systemie, że wymaga pomiaru amplitudy napięcia przemiennego. Najprościej jest zrealizować ten pomiar z użyciem np. układu prostującego, co pozwala na zrealizowanie pomiaru za pomocą zwykłego przetwornika analogowo-cyfrowego, nawet jeżeli jego częstotliwość próbkowania będzie niższa niż częstotliwość wzbudzenia.

Napięcie niezrównoważenia VD to różnica pomiędzy VQ i VP:

   (8)

Jeśli teraz pod napięcia punktów środkowych obu ramion mostka podstawimy odpowiednie wzory, otrzymamy równanie dla napięcia niezrównoważenia:

 

   (9)

gdzie VP to amplituda napięcia wzbudzenia.

Jak widać, arytmetyka opisująca działanie tych mostków nie odbiega wiele od matematycznego opisu mostka rezystancyjnego. Różnicą jest obecność składowej zależnej od częstotliwości. Dzięki temu możliwa jest zmiana częstotliwości napięcia wzbudzenia, aby mierzyć np. charakterystykę pojemności w funkcji częstotliwości nieznanego elementu CX.

Mostki indukcyjne

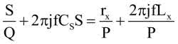
Mostki indukcyjne, analogicznie jak pojemnościowe, mają w swojej architekturze dwie rezystancję i dwa elementy indukcyjne. Schemat takiego mostka, zwanego mostkiem Wiena, pokazano na rysunku 2. Tego rodzaju mostek działa tak samo jak mostek pojemnościowy, należy tylko pamiętać o tym, że:

     (10)

gdzie r to rezystancja stałoprądowa cewki, a L to jej indukcyjność.

Rysunek 2. Mostek indukcyjny – mostek Maxwella

Oczywiście reaktancja XL jest zależna również od częstotliwości, analogicznie jak w przypadku kondensatora. Z uwagi na fakt, że wykonanie cewek o wysokiej indukcyjności jest problematyczne, często układ pokazany na rysunku 2 zamienia się w układ Maxwella-Wiena, pokazany na rysunku 3. Pozwala to ograniczyć się do jednego precyzyjnego kondensatora w systemie, który jest o wiele prostszy (i tańszy) do implementacji w systemie. Układ taki ma dwa potencjometry oznaczone S oraz Q, którymi trzeba manipulować, aby zrównoważyć mostek.

Rysunek 3. Mostek Maxwella–Wiena

Dla mostka pokazanego na rysunku 3 możemy zapisać równanie (w stanie równowagi):

 

   (11)

gdzie j to jednostka urojona (√–1). Możemy teraz rozdzielić zespolone równanie 11 na część rzeczywistą i urojoną, aby je do siebie niezależnie przyrównać, uzyskując układ równań pokazany na równaniu 12.

     (12)

Pozwala to na wyznaczenie indukcyjności oraz rezystancji stałoprądowej cewki, regulując rezystancję dwóch potencjometrów.

Aplikacje

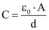
Istnieje szereg aplikacji sensorów pojemnościowych i indukcyjnych. Wiele z nich skupia się wokół systemów wykrywania ruchu. Najprostszym tego rodzaju systemem jest kondensator płaski (płytkowy). Pojemność takiego elementu jest równa:

     (13)

gdzie ε0 to stała dielektryczna materiału pomiędzy okładkami o powierzchni A, oddalonych od siebie o odległość d. Zatem, jeżeli zmieniamy odległość pomiędzy rzeczonymi okładkami, to spada pojemność kondensatora. Tego rodzaju systemy wykorzystuje się w precyzyjnym pozycjonowaniu i uzyskuje się nawet nanometrową dokładność. Przykład takiego rozwiązania pokazano na fotografii 1. Jest to piezoelektryczny siłownik, który wykorzystuje sensor pojemnościowy do pomiaru przesunięcia piezoelementu, aby pracować w zamkniętej pętli sprzężenia zwrotnego.

Fotografia 1. Piezoelektryczny system do nanopozycjonowania, wyposażony w pojemnościowy sensor przesunięcia do pracy w zamkniętej pętli sprzężenia zwrotnego

Innym zastosowaniem czujników pojemnościowych jest bezkontaktowy pomiar poziomu cieczy. Na rysunku 4 pokazano schemat takiego systemu. Na nieprzewodzącym zbiorniku naklejone są dwie elektrody, pomiędzy którymi znajduje się ciecz, której poziom jest mierzony. Wraz ze zmianą poziomu cieczy zmienia się środowisko dielektryczne pomiędzy okładkami (ciecz ma inną stałą dielektryczną niż powietrze), a co za tym idzie, zmienia się pojemność mierzona między elektrodami (równanie 13).

Rysunek 4. Pojemnościowy sensor do pomiaru poziomu cieczy

Istnieją też analogiczne sensory indukcyjne, w których obiekty zbliżające się do uzwojenia (lub wręcz wnikające w uzwojenie) zmieniają indukcyjność cewki, co pozwala na ich bezkontaktowe wykrywanie.

Stosowanie mostków zmiennoprądowych wiąże się z większymi wymaganiami co do elektroniki im towarzyszącej. Głównie dotyczy to wzmacniacza różnicowego, stosowanego do pomiaru napięcia niezrównoważenia mostka. Mają zastosowanie wszystkie te same parametry, co w przypadku mostków stałoprądowych, z tym tylko zastrzeżeniem, że muszą być one mierzone dla napięcia zmiennego. Nakłada to też krytyczne wymagania na minimalne pasmo działania takiego układu.

Podsumowanie

Mostki zmiennoprądowe to rzadziej stosowana odmiana mostków pomiarowych. Istnieje wiele rodzajów elementów – sensorów, które są stosowane w takich aplikacjach. Układy zmiennoprądowe mogą się wydawać trudniejsze w implementacji, jednak zasada ich działania nie odbiega znacznie od mostków stałoprądowych, jeśli przejdzie się z opisu bazującego na rezystancji, do opisu zawierającego impedancję poszczególnych elementów.

Nikodem Czechowski, EP

Źródła:

Artykuł ukazał się w
Elektronika Praktyczna
marzec 2022
Elektronika Praktyczna Plus lipiec - grudzień 2012

Elektronika Praktyczna Plus

Monograficzne wydania specjalne

Elektronik listopad 2025

Elektronik

Magazyn elektroniki profesjonalnej

Raspberry Pi 2015

Raspberry Pi

Wykorzystaj wszystkie możliwości wyjątkowego minikomputera

Świat Radio listopad - grudzień 2025

Świat Radio

Magazyn krótkofalowców i amatorów CB

Automatyka, Podzespoły, Aplikacje listopad - grudzień 2025

Automatyka, Podzespoły, Aplikacje

Technika i rynek systemów automatyki

Elektronika Praktyczna listopad 2025

Elektronika Praktyczna

Międzynarodowy magazyn elektroników konstruktorów

Elektronika dla Wszystkich grudzień 2025

Elektronika dla Wszystkich

Interesująca elektronika dla pasjonatów