Symulacja i pomiar, czyli LTspice i Analog Discovery 2 w rękach konstruktora (19). Komparator analogowy

Symulacja i pomiar, czyli LTspice i Analog Discovery 2 w rękach konstruktora (19). Komparator analogowy
Pobierz PDF Download icon

Komparacja, czyli porównywanie jest operacją, która wbrew pozorom nie jest związana wyłącznie z techniką cyfrową. Komparatory analogowe znajdują zastosowanie w wielu aplikacjach użytkowych. Można je znaleźć również w układach z pogranicza techniki cyfrowej i analogowej, np. w przetwornikach ADC.

Spis treści

Dodatnie sprzężenie zwrotne

Do tej pory uczono nas, że dodatnie sprzężenie zwrotne ma teoretycznie destrukcyjny wpływ na układ, w którym jest zastosowane. Gdy sygnał wejściowy nieznacznie wzrośnie, zostanie wzmocniony i podany z powrotem na wejście. Większy sygnał wejściowy spowoduje dalszy wzrost sygnału wyjściowego itd. Gdyby nie było żadnych ograniczeń, niechybnie doszłoby do zniszczenia układu, gdyż sygnał wyjściowy narastałby do nieskończoności. Na szczęście w układach rzeczywistych są ograniczenia, które uniemożliwiają wzrost sygnału wyjściowego do nieskończoności – jest nim choćby zasilanie, a dodatnie sprzężenie zwrotne zastosowane w komparatorze może mieć korzystny wpływ dla jego działania.

Rysunek 13. Symulacyjne zdjęcie charakterystyki przejściowej komparatora AD8561

Zanim przejdziemy do analizy takiego sprzężenia zbadajmy charakterystykę przejściową komparatora, czyli zależność napięcia wyjściowego od wejściowego. Schemat pomiarowy i wyniki zostały pokazane na rysunku 13. Jak widać na wykresach, przeskok z jednego stanu w drugi następuje w chwili, gdy napięcie wejściowe zrównuje się z napięciem referencyjnym. Nie może więc dziwić, że jeśli pojawi się jakiś szum czy to napięcia wejściowego czy referencyjnego, wyjście będzie się zachowywało niestabilnie. Rozwiązaniem tego problemu jest takie zaprojektowanie komparatora, aby przeskok ze stanu niskiego na wysoki następował przy innym (wyższym) napięciu wejściowym niż napięcie powodujące przeskok ze stanu wysokiego na niski.

Rysunek 14. Komparator a) układ z dodatnim sprzężeniem zwrotnym, b) schemat zastępczy dla stanu wysokiego na wyjściu, c) schemat zastępczy dla stanu niskiego na wyjściu

Przeanalizujmy układ z rysunku 14a. Wiemy już, że komparator może przebywać (a przynajmniej powinien) w jednym z dwóch stanów wyjścia. Załóżmy, że rozpatrujemy przypadek, w którym wyjście jest w stanie wysokim (UwyH). Aby nastąpił przerzut, napięcie na wejściu odwracającym (wejście sygnału) musi osiągnąć wartość napięcia na wejściu nieodwracającym.

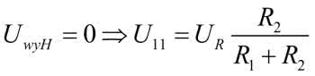
Rozpatrzmy część obwodu obejmującą źródło referencyjne UR, rezystor R1, wejście nieodwracające, rezystor R2 i wyjście komparatora. Schemat zastępczy układu w tym stanie został pokazany na rysunku 14b. Naszym zadaniem jest obliczenie napięcia U+. Ponieważ w obwodzie występują dwa źródła napięciowe, do wyznaczenia napięcia U+ zastosujemy zasadę superpozycji. W pierwszym kroku zwieramy źródło UwyH. Napięcie U+ przyjmie wartość U11 równą:

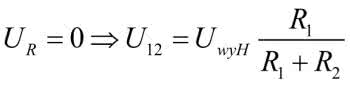
W drugim kroku zwieramy źródło UR i obliczamy U12 (rysunek 14c):

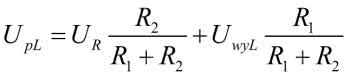
Napięcie na wejściu nieodwracającym dla tego przypadku jest, zgodnie z zasadą superpozycji, równe sumie powyższych napięć, a więc:

Jest to napięcie progowe, które oznaczyliśmy UpH. Jeśli narastające napięcie wejściowe przekroczy ten próg, nastąpi zmiana stanu wyjścia z wysokiego na niski.

Analogiczne obliczenia można przeprowadzić dla przypadku, w którym następuje przerzut napięcia wyjściowego z niskiego stanu na wysoki. Napięcie progowe jest wówczas równe:

Na podstawie powyższych wyrażeń wnioskujemy, że UpH>UpL, więc spodziewamy się charakterystyki przejściowej, która będzie wyglądała mniej więcej tak, jak na rysunku 15.

Rysunek 15. Orientacyjna charakterystyka komparatora z dodatnim sprzężeniem zwrotnym

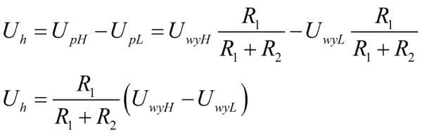
Mamy do czynienia z histerezą, której szerokość (Uh) jest zdefiniowana różnicą powyższych napięć progowych. Można ją obliczyć na podstawie wyrażenia:

 

Artykuł ukazał się w
Elektronika Praktyczna
luty 2021
DO POBRANIA
Pobierz PDF Download icon
Materiały dodatkowe
Elektronika Praktyczna Plus lipiec - grudzień 2012

Elektronika Praktyczna Plus

Monograficzne wydania specjalne

Elektronik listopad 2025

Elektronik

Magazyn elektroniki profesjonalnej

Raspberry Pi 2015

Raspberry Pi

Wykorzystaj wszystkie możliwości wyjątkowego minikomputera

Świat Radio listopad - grudzień 2025

Świat Radio

Magazyn krótkofalowców i amatorów CB

Automatyka, Podzespoły, Aplikacje listopad - grudzień 2025

Automatyka, Podzespoły, Aplikacje

Technika i rynek systemów automatyki

Elektronika Praktyczna listopad 2025

Elektronika Praktyczna

Międzynarodowy magazyn elektroników konstruktorów

Elektronika dla Wszystkich grudzień 2025

Elektronika dla Wszystkich

Interesująca elektronika dla pasjonatów