Tętnienie światła w układach oświetlenia LED

Tętnienie światła w układach oświetlenia LED
Pobierz PDF Download icon

Tętnienie światła (light flicker), obok rozkładu widmowego oświetlenia i jego natężenia, jest jednym z czynników mających wpływ na komfort widzenia przy oświetleniu stanowiska pracy. Tętnienie oświetlenia to szybkie, periodyczne zmiany natężenia światła. W typowych warunkach większość ludzi nie jest w stanie zobaczyć tętnienia światła o częstotliwości powyżej 80 Hz, którą uznaje się za częstotliwość graniczną dla oświetlenia LED.

Długookresowe tętnienie światła jest powodem występowania dyskomfortu wzrokowego podczas pracy. Może powodować bóle głowy, migreny, wywołać atak padaczkowy. W środowisku przemysłowym może prowadzić do wypadków z udziałem ludzi, ponieważ efekt stroboskopowy wywołany przez tętnienie światła prowadzi do zaburzenia postrzegania prędkości obracających się obiektów, np. części maszyn. Tętnienie jest wysoce niepożądane w obiektach sportowych, koncertach, gdzie używa się wysokiej jakości kamer filmowych, często z możliwością szybko-
klatkowej rejestracji (60 klatek/s i więcej), kiedy efekt zmiany natężenia światła staje się widoczny. Widzenie peryferyjne jest bardziej czułe na efekt tętnienia, który w sytuacji kierowcy pojazdu  może zaburzyć jego koncentracje i przekierować uwagę na źródło światła, stwarzając tym samym zagrożenie dla  bezpieczeństwa ruchu drogowego.

Gwałtowny rozwój technologii oświetlenia opartej na diodach LED sprawił, że zagadnienie to staje się coraz bardziej istotne ze względu na bardzo szybki czas reakcji tego typu źródeł światła na poziomie kilkunastu, kilkudziesięciu ns. W żarówkach czas reakcji, a więc i tętnienia, jest ograniczony przez dużą bezwładność termiczną włókna.

Układy pomiarowe

Do pomiaru parametrów tętnienia źródła światła stosuje się urządzenia fotometryczne składające się z wysokiej klasy układu fotodetekcyjnego (fotodioda ze wzmacniaczem transimpedancyjnym) uzupełnionym o optyczny filtr V-lambda pozwalający na dopasowanie krzywej czułości układu do charakterystyki ludzkiego oka (rysunek 1). Budowa takiego układu nie jest łatwa, ponieważ musi on pozwalać na pomiar w szerokim zakresie natężenia oświetlenia – od pojedynczych lx do kilkunastu tysięcy lx – oraz przenosić częstotliwości do kilku tysięcy Hz. Taki układ musi być uzupełniony o dobrej klasy przetwornik A/C o rozdzielczości 12–16 bitów i odpowiednie oprogramowanie pozwalające na zarejestrowanie i scharakteryzowanie mierzonego sygnału za pomocą powszechnie dostępnych miar tętnienia. Zebrane dane można przedstawić na wykresie czasowym lub w domenie częstotliwości po wykonaniu szybkiej transformaty Fouriera.

Oferowane do sprzedaży przyrządy pomiarowe pozwalające na pomiar parametrów tętnienia światła są przeważnie spektrometrami uzupełnionymi o funkcję pomiaru tętnienia. Można także zbudować taki układ pomiarowy w oparciu o odpowiednią fotodiodę z korekcją, kartę akwizycji danych oraz własne oprogramowanie. Najwygodniejsze są jednak urządzenia przenośne z wyświetlaczem LCD i układem do rejestracji i obliczania parametrów tętnienia światła, które umożliwiają pomiary w laboratorium (w trakcie testów i dobierania elementów oraz do celów końcowej charakteryzacji produktów) oraz w terenie (konkretnej instalacji oświetleniowej).

Miary tętnienia światła

Przy charakteryzacji tętnienia światła jednym z podstawowych zagadnień jest określenie częstotliwości tętnień źródła światła. W żarówkach wolframowych, halogenowych lub fluorescencyjnych częstotliwość tętnienia jest najczęściej podwojoną częstotliwością sieci energetycznej, czyli w Unii Europejskiej jest to 100 Hz, a np. w USA będzie to już 120 Hz. Ponieważ często występują dodatkowe źródła tętnień, w analizie sygnału w układach pomiarowych tętnienia stosuje się szybką transformatę Fouriera (FFT) w celu wydzielenia wszystkich składowych występujących w sygnale.

Istotna jest również możliwość obejrzenia zarejestrowanego sygnału na wykresie czasowym, co umożliwia ocenę kształtu sygnału tętnienia (sinusoidalny, prostokątny, trójkątny), wypełnienia czy powtarzalności.

Dwie najważniejsze miary (z punktu widzenia inżyniera zajmującego się pomiarem tętnienia światła układów LED) oparte są na pomiarze amplitudy sygnału (flicker percent) oraz kształtu (flicker index). Rysunek 2 przedstawia sinusoidalną zmianę natężenia oświetlenia (prądu fotodiody) w czasie. Na wykresie zaznaczono najważniejsze amplitudy oraz obszary pod krzywą służące do wyznaczenia miar tętnienia.

Flicker Percent (FP) jest najprostszą miarą tętnienia opartą na pomiarze maksymalnej i minimalnej amplitudy tętnień. W razie zmiany kształtu przebiegu (przy zachowaniu wartości amplitud tętnień), np. z sinusoidalnego na prostokątny lub wypełnienia przebiegu prostokątnego, wartość współczynnika tętnienia pozostanie taka sama. Zakres możliwych do uzyskania wartości wynosi od 0% (przy braku tętnień) do 100%. Rekomendacje IEEE 1789-2015 sugerują wartości flicker percent <0,08×częstotliwość tętnień (8% dla częstotliwości tętnień 100 Hz). Jest to poziom niskiego ryzyka (low-risk level). Drugie, wyższe kryterium zakłada, że poziom tętnień będzie w tzw. NOEL (no observable effect level) i nie przekroczy 0,0333×częstotliwość tętnień (3% dla 100 Hz).

gdzie:
- maksimum – maksymalna amplituda sygnału.
- minimum – minimalna amplituda sygnału.

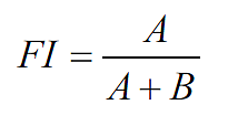
Flicker Index (FI) jest miarą tętnienia opartą na wyznaczeniu całek pod krzywą. W odróżnieniu od poprzedniej miary, flicker index oprócz amplitudy przebiegu, uwzględnia również jego kształt oraz wypełnienie. Wartość miary może się zawierać w przedziale od 0 (w razie braku tętnień) do 1. Amerykańska organizacja IES zaleca, aby źródła światła nie przekraczały wartości flicker index=0,1.

gdzie:
- A – powierzchnia pod krzywą do poziomu wartości średniej,
- B – powierzchnia pod krzywą od poziomu wartości średniej do zera.

Stroboscopic Visibility Measure (SVM) jest nową miarą określającą prawdopodobieństwo wystąpienia efektu stroboskopowego. Została ona opracowana przez grupę naukowców z Philips Research z uwzględnieniem percepcji postrzegania wzrokowego różnych częstotliwości tętnienia źródła światła. Wartość równa lub większa od 1 oznacza, że efekt stroboskopowy będzie widoczny dla obserwatora. W odróżnieniu od miar flicker index i flicker percent, SVM uwzględnia różną czułość ludzkiego układu przetwarzania obrazu (oko i mózg) w odniesieniu do częstotliwości tętnień.

Parametr SVM odpowiada sumie komponentów transformaty Fouriera Cm, podzielonych przez Tm rozumianym jako próg detekcji korespondującej częstotliwości dla tętnienia o modulacji sinusoidalnej.

Omawiane w artykule miary odnoszą się do rzeczywistych pomiarów natężenia badanego źródła światła. Czym innym są tzw. mierniki migotania światła budowane w oparciu na normie PN6100-4-15, czyli urządzenia do pomiaru krótko-terminowych (wskaźnik Pst – 10 minut) i długoterminowych (wskaźnik Plt – 2 godziny) wahań napięcia sieci energetycznej (120 V lub 230 V, 50 lub 60 Hz) wywołanych przez zmienną w czasie moc bierną odbiorników zakłócających. Norma ta zakłada pomiar napięcia sieci (a nie bezpośrednio pomiar tętnień natężenia źródła światła), symulację układu oko, mózg oraz stosowanie żarowych źródeł światła.

Układy zasilania i sterowania LED-ami

Wybór odpowiedniego sposobu zasilania diody LED zależy od wielu parametrów takich jak:

- koszt produktu,
- ograniczenia przestrzenne (zasilacz w trzonku typu E27),
- potrzeba spełnienia dodatkowych wymagań, np. produkty dla branży medycznej, motoryzacyjnej czy hodowli zwierząt i uprawy roślin.

Najlepszym z możliwych jest sterowanie diody LED  źródłem prądowym przy założeniu, że na wejściu mamy stabilne, wolne od tętnień zasilanie prądem stałym.

Najczęściej w układach zasilania diod LED są stosowane przetwornice impulsowe, więc należy liczyć się z tętnieniami prądu. Nie zawsze można zastosować dodatkowe kondensatory filtrujące tętnienia ze względu np. na temperaturę lub ograniczoną przestrzeń. W wypadku przetwarzania typu AC/DC większy kondensator na wejściu może spowodować spadek współczynnika oddawania mocy. Projektant zasilacza musi rozważyć wszystkie te problemy i wybrać jakiś kompromis pomiędzy technologią a ograniczeniami kosztowymi i konstrukcyjnymi.

W razie konieczności ściemniania lamp przy użyciu techniki PWM należy wybrać odpowiednio dużą częstotliwość sterowania. Najczęściej w wypadku np. monitorów LCD z podświetleniem LED można się spotkać z przedziałem 100–400 Hz. Najnowsze badania pokazują jednak, że w pewnych warunkach częstotliwości do 2 kHz mogą być dostrzegalne, zwłaszcza jeśli chodzi o zjawisko stroboskopowe oraz tzw. efekt TLA (Temporal Light Artifact). Ten ostatni manifestuje się jako seria obrazów, które tworzą się na siatkówce w trakcie wykonywania szybkiego ruchu oka i patrzenia na stacjonarny obiekt świetlny o modulowanym natężeniu światła, np. tylny reflektor LED samochodu sterowany poprzez PWM. Wytyczne IEEE 1789-2015 zalecają stosowanie częstotliwości ściemniania PWM na poziomie powyżej 1,25 kHz (przy modulacji flicker percent=100%) dla spełnienia wymagania low-risk level oraz 3 kHz dla wyższego kryterium NOEL.

W wysokiej klasy zamiennikach żarówek typu E27 można oczekiwać parametrów flicker percent poniżej 1%, co pokazano na rysunku 3a. W tanich modułach LED sterowanych bezpośrednio z 230 V bez drivera (rysunek 3b) amplituda tętnień jest na poziomie starych świetlówek z balastem magnetycznym (FP=30–40%). Na rysunku 4a pokazano przykładowy przebieg modulacji PWM o częstotliwości 300 Hz w monitorze LCD, gdzie poziom jasności ustawiono na 75%. Rysunek 4b przedstawia wykres FFT z dominującą częstotliwością 300 Hz oraz jej wyższymi harmonicznymi 600 Hz, 1200 Hz, 1500 Hz, 2100 Hz i 2400 Hz.

Jak mierzyć?

Najczęściej producenci chcą określić parametry tętnienia modułów oraz lamp LED w warunkach laboratoryjnych w celu umieszczenia tych parametrów w karcie katalogowej. Badanie takie należy wykonywać w zaciemnionym pomieszczeniu, w którym nie ma innych źródeł światła mogących zakłócić pomiar. Przyrząd pomiarowy skierowany w kierunku źródła światła powinien być zamocowany na statywie, ponieważ drgania ręki mogą powodować dodatkowe niskie częstotliwości w sygnale. Złącze półprzewodnikowe PN diody LED ma ujemny współczynnik temperaturowy, więc wartość prądu płynącego przez diodę będzie narastać wraz z jej rozgrzewaniem się, dlatego należy odczekać kilka, kilkanaście minut w celu uzyskania stabilnych warunków temperaturowych modułu, co pozwoli na dokładne wyznaczenie parametrów tętnienia źródła światła.

Pomiar kilku źródeł światła jest zagadnieniem dużo trudniejszym ze względu na superpozycję (wzajemne nakładanie się fal) zmian natężenia światła, która wtedy zachodzi. Okresowa kontrola obiektów może jednak nas upewnić odnośnie aktualnego stanu oświetlenia, a zwiększone tętnienia mogą sugerować uszkodzenie układów zasilania lub zmienione warunki termiczne modułu LED.

Mierniki tętnienia światła różnią się czasem pomiaru, częstotliwościami próbkowania, maksymalną częstotliwością przenoszenia oraz rozdzielczością częstotliwościową zależną od rozmiaru FFT. Nie wszyscy producenci stosują się do wytycznych organizacji zajmujących się badaniem problemu tętnienia światła. Urządzenia wysokiej klasy próbkują sygnał z wysokim nadpróbkowaniem 10× wyższym niż najwyższa spodziewana częstotliwość sygnału mierzonego, co jest istotne dla dokładnego odtworzenia kształtu przebiegu sygnału tętnień. Przy projektowaniu lamp do specyficznych zastosowań w warunkach hali produkcyjnej czy obiektu sportowego może nas również interesować efekt stroboskopowy, dlatego też obecność w wyliczeniach tego parametru będzie w tym przypadku istotna.

Gdzie szukać dodatkowych informacji?

Dobrym źródłem informacji są strony internetowe renomowanych producentów diod LED oraz producentów układów scalonych tzw. driverów LED. Można tam często znaleźć porady, w jaki sposób sterować źródłami światła oraz jak zaprojektować zasilacz, aby zminimalizować efekt tętnienia światła.

Kolejnym dobrym źródłem informacji są normy oraz raporty organizacji zajmujących się tematem oświetlenia. Zawierają one zalecenia dotyczące samego pomiaru tętnienia światła jak również sposobu liczenia parametrów tętnienia. Ważniejsze dokumenty wymieniono w tabeli 1.

Podsumowanie

Projektując układy zasilające oraz sterujące pracą diod LED, należy mieć na uwadze omawiane w artykule parametry tętnienia światła. W wielu sytuacjach wystarczy kierowanie się dobrymi regułami projektowymi, jednak coraz wyższe wymagania odnośnie do parametrów oświetlenia sprawiają, że nieodzowne stają się dokładne pomiary parametrów tętnienia światła.

Producenci oświetlenia LED coraz częściej zwracają uwagę na parametry tętnienia natężenia światła projektowanych lamp LED, zasilaczy modułów LED, podświetlenia wyświetlaczy LCD i często chcą się tym pochwalić, określając swoje produkty w materiałach reklamowych jako wolne od tętnienia (flicker free). Obecnie wiele organizacji stara się unormować problem pomiaru tętnienia światła, jak również są podejmowane próby wprowadzenia różnych wartości granicznych oraz oznaczeń dla produktów. Postuluje się także wprowadzenie konieczności opisywania parametrów tętnienia w karcie katalogowej produktu. Underwriters Laboratories (UL), niezależna organizacja badająca bezpieczeństwo wyrobów, wdrożyła program weryfikacji produktów oświetleniowych. Przyjęte przez UL limity parametru flicker percent ustalono na 10% oraz 8% odpowiednio – dla źródeł zasilanych z sieci o częstotliwości 60 Hz lub 50 Hz.

Miary tętnienia oraz zalecane wartości maksymalne są podawane dla standardowej populacji, jednak część ludzi może być bardziej wrażliwa, np. dzieci, dodatkowo efekt tętnienia może być inaczej odbierany w zależności od kąta patrzenia, kontrastu. Jest to zagadnienie, które ostatnio bardzo mocno się rozwija pod względem badawczym oraz regulacji, dlatego osobom związanym z projektowaniem modułów, zasilaczy oraz lamp LED szczególnie polecam śledzenie aktualności w tej dziedzinie.

Paweł Czarnecki
GL Optic Polska sp. z o.o. sp. k.

 

Tabela 1. Ważne organizacje, publikacje, normy

Normy Światło i oświetlenie – Oświetlenie miejsc pracy. Część 1 – PN-EN 12464-1:2012 oraz część 2 – PN-EN 12464-2:2014-05

1789-2015 – IEEE Recommended Practices for Modulating Current in High-Brightness LEDs for Mitigating Health Risks to Viewers

ASSIST: Alliance for Solid-State Illumination Systems and Technologies - Application Considerations Related to Stroboscopic Effects from Light Source Flicker

National Electrical Manufacturers Association (NEMA) – Temporal Light Artifacts (Flicker and Stroboscopic Effects)

INTERNATIONAL COMMISSION ON ILLUMINATION – CIE TN 006:2016, Visual Aspects of Time-Modulated Lighting Systems – Definitions and Measurement Models

Illuminating Engineering Society (IES), książka Lighting Handbook 10th Edition (2011)

 

Artykuł ukazał się w
Elektronika Praktyczna
maj 2017
DO POBRANIA
Pobierz PDF Download icon
Elektronika Praktyczna Plus lipiec - grudzień 2012

Elektronika Praktyczna Plus

Monograficzne wydania specjalne

Elektronik listopad 2025

Elektronik

Magazyn elektroniki profesjonalnej

Raspberry Pi 2015

Raspberry Pi

Wykorzystaj wszystkie możliwości wyjątkowego minikomputera

Świat Radio listopad - grudzień 2025

Świat Radio

Magazyn krótkofalowców i amatorów CB

Automatyka, Podzespoły, Aplikacje listopad - grudzień 2025

Automatyka, Podzespoły, Aplikacje

Technika i rynek systemów automatyki

Elektronika Praktyczna listopad 2025

Elektronika Praktyczna

Międzynarodowy magazyn elektroników konstruktorów

Elektronika dla Wszystkich grudzień 2025

Elektronika dla Wszystkich

Interesująca elektronika dla pasjonatów