Logarytmujący sterownik wychyłowych wskaźników wysterowania

Logarytmujący sterownik wychyłowych wskaźników wysterowania

Analogowe wskaźniki wysterowania stosowane były głównie we wzmacniaczach sprzed paru dekad. Nie były to tylko efektowne gadżety – wskaźniki pokazywały faktyczny poziom sygnału, mierzony w decybelach. To efektowne rozwiązanie może stać się elementem również całkiem nowoczesnych bloków audio.

Podstawowe parametry:
  • niezależne sterowanie dwóch magnetoelektrycznych mikroamperomierzy o zakresie pomiarowym do 100 μA,
  • przystosowany do stereofonicznego wyjścia liniowego,
  • logarytmiczna zależność między aktualnym napięciem a prądem sterującym mikroamperomierz,
  • pasmo przenoszenia ograniczone od dołu, około 160 Hz,
  • regulacja poziomu odniesienia (0 dB),
  • pobór prądu około 10 mA,
  • zasilanie napięciem 12…15 V.

Wskaźniki wysterowania służą do tego, aby pokazać użytkownikowi sprzętu, jaki jest aktualny poziom sygnału w odniesieniu do wartości referencyjnej, umownie oznaczanej jako 0 dB. W ten sposób można się łatwo dowiedzieć, czy nasz sprzęt nie jest przesterowywany (wskazania powyżej 0 dB) lub wręcz przeciwnie, wysterowany w nikłym stopniu (bardzo niski średni poziom sygnału) co pogarsza stosunek sygnał/szum. Są to na ogół wskaźniki, a nie przyrządy pomiarowe, ponieważ ich dokładność jest bardzo niska – ale wystarczająca do tych zastosowań.

Mamy jednak dwa problemy. Po pierwsze, klasyczne mikroamperomierze wychyłowe, jakie znamy od dziesięcioleci, akceptują jedynie prąd płynący w jednym kierunku, z kolei sygnał audio ma naturę bipolarną: jego wartość chwilowa może być zarówno dodatnia, jak i ujemna. Po drugie, wskaźnik wysterowania pokazuje poziom sygnału w decybelach, więc wspomnianą już wartość chwilową napięcia trzeba zlogarytmować i dopiero wtedy podać na zaciski mikroamperomierza. Jak to zrobić bez użycia mikrokontrolerów? Bardzo łatwo, gdyż większość pracy wykonał słynny naukowiec William Shockley.

Budowa i działanie

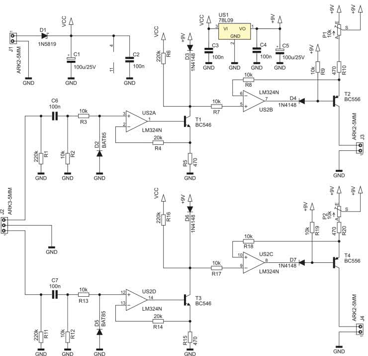
Schemat ideowy omawianego układu znajduje się na rysunku 1. Składa się z dwóch identycznych sekcji, po jednej dla każdego kanału audio (dlatego zostanie omówiona tylko jedna z nich) oraz wspólnej dla nich części zasilającej. Zasilanie układu podłącza się do zacisków złącza J1. Gdyby zdarzyła się pomyłka w określeniu biegunowości, nic strasznego się nie wydarzy, ponieważ dioda D1 zablokuje wtedy przepływ prądu. To napięcie jest również stabilizowane do wartości 9 V przez układ US1. Jak okaże się dalej, dokładna wartość napięcia wyjściowego tego stabilizatora nie jest istotna, lecz dzięki temu można w najprostszy sposób uzyskać napięcie o kilka woltów niższe od zasilającego, którego wartość nie ulega znaczącym zmianom.

Rysunek 1. Schemat ideowy sterownika wskaźników wysterowania

Sygnał napięciowy audio należy podać na zaciski złącza J2, z których środkowy przeznaczony jest na masę tego sygnału. Kondensator C6 ma tutaj dwa zadania. Jednym z nich jest odcięcie składowej stałej, aby jej obecność nie zaburzała pracy dalszej części układu. Po drugie, pasmo przenoszenia układu zaczyna się od około 160 Hz. Wprowadza to tłumienie dla składowej 50 Hz, będącej częstotliwością podstawową w sieci elektroenergetycznej, która jednocześnie wprowadza nieznośny przydźwięk sieciowy do sygnału. Składowa 100 Hz, która jest drugą harmoniczną częstotliwości podstawowej, powstaje w wyniku dwupołówkowego prostowania prądu przemiennego i też potrafi wprowadzać nieprzyjemne efekty dźwiękowe. Zadaniem układu jest wskazanie poziomu sygnału, a nie jego niepożądanych składowych, dlatego jest on filtrowany przez bardzo prosty, górnoprzepustowy filtr RC. Rezystor R1 polaryzuje lewą okładkę kondensatora C6, zaś R2 prawą.

We wstępie wspomniano, że sygnał audio może mieć chwilowe wartości zarówno większe od 0 V, jak i niższe. Dlatego dalsza część układu reaguje tylko na dodatnie połówki sygnału, ujemne zaś są pomijane. Umożliwia to prostownik równoległy z diodą D2, który ogranicza wartość chwilową sygnału do wartości nie niższej niż około –0,3 V. Jest to istotne dla prawidłowej pracy następnego bloku w tym układzie. Prąd tej diody ogranicza rezystor R3. Bez niego układ mógłby zniekształcać sygnał audio rozprowadzany do innych elementów zestawu, jak na przykład wzmacniacza, ponieważ stanowiłby bardzo silne obciążenie dla ujemnych połówek sygnału, ustalane niemal wyłącznie rezystancją statyczną przewodzącej diody D2.

Wstępnie obrobiony sygnał jest wprowadzany na wejście źródła prądowego, a dokładniej precyzyjnego źródła prądowego, które do działania zawiera wzmacniacz operacyjny US2 A. Jego zadaniem jest takie wysterowanie bazy tranzystora T1, aby napięcie odkładające się na rezystorze R5 było równe temu, które w danym momencie jest przyłożone do wejście nieodwracającego US2 A. Ponieważ prąd bazy T1 jest bardzo mały to można przyjąć, że jego kolektor pobiera prąd o tym samym natężeniu, co przepływający przez rezystor R5. Zadaniem R4 jest wyrównanie rezystancji, przez którą są zasilane bazy tranzystorów różnicowego obwodu wejściowego US2 A. Wejście nieodwracające widzi sumaryczną rezystancję R2 i R3, zatem R4 musi mieć rezystancję do nich możliwie zbliżoną. W przeciwnym razie między wejściami wzmacniacza operacyjnego powstałoby niewielkie napięcie różnicowe, które mogłoby wywołać na tyle duży offset napięciowy, że T1 przewodziłby prąd nawet przy całkowitym braku sygnału. Dioda D2 nie dopuszcza do otwarcia złącza baza-kolektor wejściowego tranzystora PNP, który pełni rolę wtórnika na wejściu wzmacniacza operacyjnego US2 A.

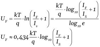
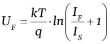
Prąd płynący przez kolektor tranzystora T1 jest wprost proporcjonalny do chwilowej wartości dodatniej połówki wejściowego sygnału audio. Do tej pory nie było mowy o jakimkolwiek logarytmowaniu, lecz dzieje się ono w następnym etapie. Otóż ten prąd przepływa przez nieliniowy element rezystancyjny, jakim jest złącze PN diody D3. Zadaniem tej diody jest przekształcenie liniowo zmieniającego się prądu w nieliniowo (logarytmicznie) zmieniające się napięcie, co wynika ze wzoru wyprowadzonego przez zespół wspomnianego już badacza:

 

  • IF – prąd przewodzenia złącza [A]
  • IS – prąd nasycenia złącza [A], wartość stała
  • q – ładunek elektronu [C]
  • UF – napięcie przewodzenia złącza [V]
  • k – stała Boltzmanna [J/K]
  • T – temperatura złącza [K], można przyjąć, że zmienia się w bardzo wąskich granicach

W tym momencie jeszcze nie za bardzo widać ten logarytm. Po przekształceniu uzyskujemy:

Teraz dowód jest jednoznaczny: napięcie na zaciskach diody zmienia się logarytmicznie w stosunku do płynącego przez nią prądu. Ale zaraz, przecież decybele obliczamy używając logarytmu o podstawie 10, zaś tutaj mamy logarytm naturalny. Odwołując się do matematyki ze szkoły średniej, zamieniamy podstawę logarytmu:

Nie ma więc różnicy, czy nasz nieliniowy element używa logarytmu naturalnego, czy też dziesiętnego – różnicę można zniwelować mnożąc wynik przez wartość stałą, czyli modyfikując wzmocnienie układu. Warto zauważyć, że użyta dioda, typu 1N4148, nie ma żadnych szczególnych właściwości, to typowa dioda małej mocy, która kosztuje grosze. Ale będzie pełnić swoją rolę tak samo dobrze, jak gdyby wstawić w to miejsce element o cenie nieporównywalnie wyższej. Stąd już tylko jeden krok do sterowania wskaźnikiem wychyłowym, na którym tak bardzo nam zależy.

Służy do tego, a jakże, drugie źródło prądowe, bazujące tym razem na wzmacniaczu operacyjny US2 B. Steruje on tranzystorem T2 w taki sposób, aby spadek napięcia na wypadkowej rezystancji połączonych szeregowo rezystorze R10 i potencjometrze P1 był równy napięciu przewodzenia diody D3. Prąd płynący przez R10 i P1, wynikający z prawa Ohma, wypływa z kolektora T3 i zasila cewkę naszego mikroamperomierza. Im większe jest natężenie tego prądu, tym większe staje się wychylenie wskazówki. Koniec, gotowe, możemy iść do domu? Nie do końca, są trzy małe mankamenty.

Pierwszym z nich jest prąd zerowy kolektora tranzystora T1. Płynie on nawet wtedy, kiedy T1 jest zatkany. Co dla nas istotne, wywołuje on pewien spadek napięcia na diodzie. Sam prąd nie ma wysokiego natężenia, nie powinien przekraczać 15 nA w temperaturze pokojowej. Swój prąd dokłada również wejście nieodwracające wzmacniacza operacyjnego, a dokładniej baza tranzystora wejściowego. To powoduje, że w stanie spoczynku na diodzie występuje napięcie rzędu 30…50 mV, co oczywiście przekłada się na pewne wychylenie wskazówki mikroamperomierza od położenia zerowego. Rezystor R6 podbiera część prądu z diody, więc może się ona całkowicie zatkać. R6 powinien mieć możliwie wysoką wartość, aby nie zaburzać procesu logarytmowania, a z kolei jego rezystancja najlepiej, by była jak najmniejsza, aby odkładające się na nim napięcie (wywołane wspomnianymi już prądami) było możliwie niskie. Dlatego R6 jest podłączony do potencjału wyższego niż anoda diody D3, więc w stanie spoczynku jest ona spolaryzowana zaporowo. Za to już przepływ prądu o niewielkim natężeniu, rzędu kilkunastu mikroamperów, jaki wymusi kolektor tranzystora T1, skłoni diodę do przewodzenia.

Wzmacniacz operacyjny typu LM324 dobrze obsługuje potencjały wejściowe zbliżone do 0 V, ale wymaga pewnego marginesu przy dodatniej linii zasilającej. W tym właśnie celu został zastosowany stabilizator US1. Wzmacniacz operacyjny jest zasilany wprost ze złącza J1, czyli są to wartości rzędu 12…15 V, natomiast jego wejścia pracują na potencjałach bliskich masy (US2 A) lub 9 V (US2 B). Wszystko może działać poprawnie. Dlatego ten stabilizator nie musi dawać napięcia równego dokładnie 9 V, mógłby to być element typu 78L08 lub 78L10, ponieważ chodzi tylko o zapewnienie kilkuwoltowego marginesu od potencjału zasilającego wzmacniacz operacyjny.

Ostatnim problemem, nad którym trzeba się pochylić, jest złącze baza-emiter tranzystora T2. W stanie normalnej pracy jest ono polaryzowane, dzięki wyjściowi wzmacniacza US2B, w kierunku przewodzenia. Natomiast w stanie spoczynku, kiedy źródło prądowe ma się zatkać, zwrot napięcia na nim ulega odwróceniu. Producent deklaruje, że złącze to nie otworzy się aż do napięcia 6 V, ale to wartość mierzona przy prądzie emitera równym 10 μA. Jakiś niewielki prąd może zacząć „przeciekać” już wcześniej. Tranzystor w takim stanie pracy ma wprawdzie wybitnie kiepskie parametry, lecz na tyle dobre, aby czuły mikroamperomierz zarejestrował pewien niewielki prąd kolektora. Co nam to da? Irytujące wychylenie wskazówki od położenia zerowego przy braku sygnału. Co możemy z tym zrobić? Nie dopuścić do przebicia wstecznego złącza baza-emiter. W jaki sposób? Wystarczy dioda D4, która zatka się, kiedy potencjał wyjścia wzmacniacza wzrośnie powyżej 9 V. Do tego rezystor R9, który będzie utrzymywał napięcie baza-emiter tranzystora T2 na poziomie 0 V. To tyle, nic więcej nie trzeba.

Montaż i uruchomienie

Układ został zmontowany na jednostronnej płytce drukowanej o wymiarach 70×50 mm, której schemat został pokazany na rysunku 2. W odległości 3 mm od krawędzi płytki znalazły się cztery otwory montażowe, każdy o średnicy 3,2 mm.

Rysunek 2. Schemat płytki PCB

Montaż proponuję rozpocząć od elementów o najmniejszej wysokości obudowy, czyli rezystorów i diod. Pod układ US2 proponuję zastosować podstawkę, aby ułatwić jego wymianę w razie uszkodzenia. Zmontowany układ można zobaczyć na fotografii tytułowej. Montaż jest na tyle prosty, że może się go podjąć nawet mało doświadczony użytkownik lutownicy.

Zasilanie dla układu powinno być nie mniejsze niż 12 V i nie wyższe niż 15 V, z uwagi na prąd płynący przez rezystory R6 i R16 – przy wysokim napięciu zasilania staje się on wyższy. Na szczęście znalezienie napięcia stałego w takim przedziale nie powinno być trudne w niemal każdym sprzęcie audio. Pobór prądu nie przekracza natężenia 10 mA. W układzie znajdują się cztery złącza:

  • J1 – złącze zasilania,
  • J2 – złącze sygnału wejściowego audio,
  • J3 – mikroamperomierz wskazujący poziom sygnału na zacisku IN1 złącza J2,
  • J4 – mikroamperomierz wskazujący poziom sygnału na zacisku IN2 złącza J2.

Jeżeli montaż odbył się prawidłowo, po włączeniu zasilania wskazówki mikroamperomierzy powinny znaleźć się na pozycji 0. Po przytknięciu palca do zacisku IN1 i IN2 złącza J2 wskazówki te powinny się, chociażby minimalnie, wychylić, a po zabraniu palca opaść. Mając wstępnie przetestowany układ, można przejść do jego kalibracji, która wcale nie jest trudna.

Potencjometrami P1 i P2 należy ustawić poziom odniesienia tj. 0 dB dla obu mikroamperomierzy. W układzie prototypowym kalibrację wykonano przy pomocy sygnału sinusoidalnego o częstotliwości 1 kHz i wartości skutecznej 775 mV, co odpowiada wartości międzyszczytowej 2,2 V. Źródłem takiego sygnału może być generator sygnału lub karta dźwiękowa komputera lub smartfon z odpowiednią aplikacją i wyjściem słuchawkowym. Podając na oba wejścia taki sam sygnał należy tak ustawić ślizgacze P1 i P2, aby analogowe mierniki pokazywały prąd 100 μA. Wtedy każde wyjście wskazówki poza skalę będzie można traktować jako przesterowanie, natomiast cała skala będzie dobrze odzwierciedlała poziom wysterowania w decybelach.

Wyniki pomiarów znajdują się w tabeli 1, zaś na jej podstawie opracowano wykres – rysunek 3. Jak je wykonano i jaki był tego cel? Na wejście układu (zasilanego napięciem 12 V w temperaturze pokojowej) podawano sygnał o poziomie odpowiadającym 0 dB oraz niższym: –3 dB, –6 dB i tak dalej. Notowano przy tym wskazania mikroamperomierza. Z rysunku 3 można odczytać, że układ nader wiernie (tj. liniowo) wskazuje poziom sygnału o wartości od –36 dB wzwyż. Tak duża dynamika pozwala na łatwe zdiagnozowanie stanu pracy naszego systemu audio (niedostatecznie wysterowanie lub przesterowanie).

Rysunek 3. Zależność między poziomem sygnału a wskazaniem mikroamperomierza

Wracając do samych mikroamperomierzy, to te użyte w prototypie można zobaczyć na fotografii 1. Ich wymiary to: 56,4 mm wysokości, 64,5 mm szerokości, 57 mm głębokości, wliczając w to śruby doprowadzające prąd. Ich cena jest całkiem przystępna i nie ma problemu z dostępnością tych podzespołów w Polsce. Można pokusić się o zaprojektowanie i wykonanie własnej skali, wyrażonej w decybelach. Klasa dokładności tych przyrządów to 2,5 lecz nie ma to dużego znaczenia w praktycznym użyciu. Tak naprawdę najistotniejszym momentem, w którym ów wskaźnik ma zastosowanie, jest przekraczanie poziomu 0 dB, gdyż wtedy zaczyna się przesterowanie sygnału.

Fotografia 1. Mikroamperomierze zastosowane w projekcie

W tym układzie nie zastosowano żadnych elementów spowalniających pracę wychyłowego mikroamperomierza. Testy wykazały, że bezwładność wskazówki jest na tyle znacząca, że inercja przez nią wprowadzana wystarcza do tego, aby wskaźnik wysterowania pracował płynnie. Gdyby jednak komuś zależało na jeszcze silniejszym odfiltrowaniu szybkozmiennych składowych, może dolutować kondensator o pojemności rzędu kilku-kilkudziesięciu mikrofaradów bezpośrednio do wyprowadzeń mikroamperomierza. Tego typu rozwiązanie było stosowane, między innymi, w polskim sprzęcie audio z czasów PRL.

Michał Kurzela, EP

Wykaz elementów:
Rezystory: (THT o mocy 0,25 W)
  • R1, R6, R11, R16: 220 kΩ
  • R2, R3, R7…R9, R12, R13, R17…R19: 10 kΩ
  • R4, R14: 20 kΩ
  • R5, R10, R15, R20: 470 Ω
  • P1, P2: 10 kΩ montażowy leżący
Kondensatory:
  • C1, C5: 100 μF 25 V raster 2,5 mm
  • C2…C4, C6, C7: 100 nF raster 5 mm MKT
Półprzewodniki:
  • D1: 1N5819
  • D2, D5: BAT85
  • D3, D4, D6, D7: 1N4148
  • T1, T3: BC546
  • T2, T4: BC556
  • US1: 78L09 (TO92)
  • US2: LM324 (DIP14)
Pozostałe:
  • J1, J3, J4: ARK2/500
  • J2: ARK3/500
  • jedna podstawka DIP14
  • dwa mikroamperomierze 100 μA (opis w tekście)
Artykuł ukazał się w
Elektronika Praktyczna
lipiec 2023
DO POBRANIA
Materiały dodatkowe
Elektronika Praktyczna Plus lipiec - grudzień 2012

Elektronika Praktyczna Plus

Monograficzne wydania specjalne

Elektronik listopad 2025

Elektronik

Magazyn elektroniki profesjonalnej

Raspberry Pi 2015

Raspberry Pi

Wykorzystaj wszystkie możliwości wyjątkowego minikomputera

Świat Radio listopad - grudzień 2025

Świat Radio

Magazyn krótkofalowców i amatorów CB

Automatyka, Podzespoły, Aplikacje listopad - grudzień 2025

Automatyka, Podzespoły, Aplikacje

Technika i rynek systemów automatyki

Elektronika Praktyczna listopad 2025

Elektronika Praktyczna

Międzynarodowy magazyn elektroników konstruktorów

Elektronika dla Wszystkich grudzień 2025

Elektronika dla Wszystkich

Interesująca elektronika dla pasjonatów