Praktyczne aplikacje scalonych układów AFE (12). Front-endy pojemnościowe

Praktyczne aplikacje scalonych układów AFE (12). Front-endy pojemnościowe

W poprzedniej części cyklu Poradnik Implementacji omówiliśmy tematykę front-endów indukcyjnych. Tym razem natomiast przejdziemy do opisu układów przeznaczonych do pomiaru pojemności. O ile bowiem znaczna część dostępnych obecnie na rynku mikrokontrolerów jest wyposażona w proste, sprzętowe bloki peryferyjne do obsługi przycisków dotykowych - działających w oparciu na detekcji zmian pojemności - o tyle aplikacje wymagające dokładnych pomiarów tego parametru korzystają ze znacznie bardziej rozbudowanych rozwiązań.

Topologie czujników pojemnościowych

Podstawowa zasada działania sensorów pojemnościowych, opierająca się na pomiarze zmiany pojemności czujnika względem znanej pojemności odniesienia, w praktyce przyjmuje kilka postaci, które można podzielić na trzy grupy. Układ elektrod schematycznie pokazany na rysunku 1 jest najczęściej stosowany przez przyciski dotykowe i detektory gestów - dwustronna płytka drukowana umieszczona zostaje tuż pod powierzchnią nieprzewodzącej obudowy, przy czym ścieżki (lub pole miedzi) po stronie sąsiadującej z obudową tworzą elektrodę „gorącą”, zaś funkcję ekranu pełni warstwa oddalona od pokrywy urządzenia.

Rysunek 1. Schemat prostego czujnika pojemnościowego z pojedynczą elektrodą aktywną (https://t.ly/yVRa)

Zbliżenie palca do panelu (a zwłaszcza jego dotknięcie) powoduje wzrost pojemności takiego prostego kondensatora na drodze sumowania pojemności własnej czujnika oraz pojemności dodanej, tworzonej przez układ: elektroda aktywna - ciało człowieka - ziemia - masa układu pomiarowego (rysunek 2).

Rysunek 2. Uproszczony model układu prostego czujnika pojemnościowego po dotknięciu go przez użytkownika (https://t.ly/iHJt)
Rysunek 3. Schemat czujnika pojemnościowego z parą elektrod aktywnych (https://t.ly/yVRa)

Na rysunku 3 zaprezentowano kolejną, często spotykaną topologię układu do pomiaru pojemności, tym razem wykorzystującą dwie elektrody aktywne, z których żadna nie jest tożsama z ekranem - ten znajduje się pod elektrodami i jest od nich galwanicznie oddzielony przez warstwę izolatora. Topologia ta jest często spotykana w sensorach do pomiaru objętości medium w zbiorniku, jednak zakres jej zastosowań wykracza daleko poza takie aplikacje. Znacznie bardziej rozpowszechnioną, praktyczną realizację tej koncepcji stanowią elektrody grzebieniowe, spotykane w interfejsach dotykowych (rysunek 4).

Rysunek 4. Przykładowe układy elektrod grzebieniowych dla pojedynczego przycisku dotykowego (https://t.ly/iHJt)

W takim przypadku pojemność tworzona przez ciało człowieka oraz pojemność sprzężenia nie sumują się bezpośrednio z pojemnością własną czujnika, zamiast tego zachodzi bardziej złożony proces, polegający z jednej strony na zwiększeniu pojemności pomiędzy elektrodami przez dodatkową „okładzinę” kondensatora (tworzoną przez palec użytkownika), z drugiej zaś, na pewnym zmniejszeniu tej pojemności poprzez wytworzenie dodatkowej drogi przepływu ładunków, zaburzającej pole elektryczne wokół elektrod (rysunek 5).

Rysunek 5. Model układu dwuelektrodowego czujnika pojemnościowego po dotknięciu go przez użytkownika (https://t.ly/iHJt)

Trzecią, znacznie rzadziej spotykaną w codziennej praktyce metodą pomiaru pojemności jest badanie zmiany tego parametru przez umieszczenie pomiędzy elektrodami pomiarowymi (o niezmiennej odległości) dodatkowego materiału w postaci płaskiej warstwy izolacyjnej (rysunek 6). Układ taki można zastosować np. do pomiaru stałej dielektrycznej próbki laminatu lub innego dielektryka - wartość εr wpływa bowiem wprost proporcjonalnie na wynikową pojemność kondensatora płaskiego.

Rysunek 6. Schemat układu elektrod planarnych do pomiaru przenikalności dielektrycznej badanej próbki (https://t.ly/yVRa)

Aplikacje front-endów pojemnościowych

Pomiary pojemności są stosowane w codziennej praktyce znacznie częściej niż opisane w poprzednim odcinku naszego cyklu metody indukcyjne. Choć zakres zastosowań obydwu rodzajów pomiaru w dużej części się pokrywa, to pewne szczególne zalety układów pojemnościowych - znacznie niższy pobór energii, prostsza konstrukcja (zwłaszcza w miniaturowych systemach, np. MEMS) czy też możliwość pracy z obiektami nieprzewodzącymi, sprawiają, że front-endy pojemnościowe można spotkać w niemal każdej gałęzi przemysłu elektronicznego. Wśród najczęściej spotykanych grup aplikacji możemy wymienić:

  • klawiatury i złożone interfejsy dotykowe,
  • panele dotykowe ekranów LCD,
  • interfejsy HMI bazujące na rozpoznawaniu gestów,
  • przemysłowe czujniki zbliżeniowe,
  • czujniki poziomu cieczy i materiałów sypkich,
  • przepływomierze elektromagnetyczne z odczytem bezkontaktowym,
  • czujniki wilgotności i sensory punktu rosy,
  • czujniki ciśnienia (rysunek 7) i siły,
  • detektory zanieczyszczeń wody,
  • samochodowe czujniki deszczu,
  • profilometry do badania powierzchni metalu,
  • czujniki dotyku montowane w klamkach samochodowych.
Rysunek 7. Konstrukcja pojemnościowego czujnika ciśnienia (https://t.ly/oBm4)

W naszym opisie skupimy się na uniwersalnych front-endach pomiarowych, pominiemy natomiast bardzo obszerny segment układów przeznaczonych specjalnie do aplikacji interfejsów dotykowych oraz kontrolerów paneli dotykowych dla ekranów LCD. Układy projektowane z myślą o zastosowaniach pomiarowych (przemysłowych, medycznych, motoryzacyjnych i in.) znacząco różnią się, zarówno pod względem parametrów, jak i konstrukcji niezbędnej do realizacji zadanych funkcji. Uproszczone porównanie pojemnościowych układów pomiarowych oraz interfejsowych zestawiono w tabeli 1.

AD7745/AD7746/AD7747

Rodzina układów AD774x marki Analog Devices obejmuje trzy modele front-endów pojemnościowych, przy czym wersje z końcówką „5” i „6” są przeznaczone do stosowania z czujnikami „pływającymi”, zaś AD7747 może mierzyć pojemności dołączone do masy układu.

Układy AD7745 i AD7746 różnią się natomiast liczbą kanałów wejściowych - pierwszy z nich ma jeden różnicowy kanał pomiarowy, zaś drugi - dwa. Schemat blokowy tego ostatniego został pokazany na rysunku 8. Multiplekser wejściowy umożliwia przełączanie pomiędzy kanałami CIN1 i CIN2, a dodatkowo pozwala na pomiar napięcia, pochodzącego np. z zewnętrznego dzielnika, czujnika temperatury lub innego źródła sygnału analogowego. Dodatkowo istnieje możliwość podłączenia do ADC wbudowanego sensora termicznego o dokładności co najmniej ±2°C (typowo ±0,5°C).

Rysunek 8. Schemat blokowy układu AD7746 (https://t.ly/3Ry0)

Efektywna rozdzielczość 24-bitowego przetwornika (bazującego na modulatorze delta-sigma 2. rzędu i filtrze cyfrowym 3. rzędu) wynosi 21 bitów, zaś liniowość utrzymuje się na poziomie ±0,01%. Dokładność przy zastosowaniu fabrycznej kalibracji układów to aż ±4 fF (!). Każdy układ z serii AD774x zawiera wbudowany generator przebiegu taktującego oraz źródło napięcia odniesienia, co znacząco redukuje liczbę niezbędnych do pracy komponentów dyskretnych - istnieje jednak możliwość podłączenia zewnętrznego napięcia referencyjnego, co może mieć znaczenie w układach, które wymagają lepszej dokładności i stabilności termicznej (wbudowany wzorzec oferuje dryf termiczny na poziomie ±5 ppm/°C).

Rysunek 9. Schemat blokowy dla różnicowego pomiaru pojemności z zaznaczonymi połączeniami przetworników CAPDAC w układach AD7745/6 (https://t.ly/3Ry0)

Niezwykle istotnym elementem front-endów pojemnościowych (tak jest też w przypadku AD774x) są wbudowane przetworniki cyfrowo-pojemnościowe (CAPDAC), których zadaniem jest programowa niwelacja offsetu (tzw. common-mode capacitance), czyli stałej pojemności złożonej z pojemności pasożytniczych, jak i własnej, „podstawowej” pojemności elementu mierzonego. W przypadku rodziny AD774x przetworniki CAPDAC są w stanie poradzić sobie z offsetem na poziomie 17 pF, przy czym zakres pomiarowy wynosi ±4 pF (w przypadku AD7745 i AD7746) lub ±8 pF (AD7747). Układy z rodziny AD774x zawierają dwa osobne przetworniki (CAPDAC A i CAPDAC B), pełniące funkcję „ujemnej pojemności”, podawanej niezależnie na oba wejścia różnicowe przetwornika CDC (rysunek 9).

Rysunek 10. Podłączenie pojemności mierzonej do układu AD7745/6 (https://t.ly/3Ry0)

Zasada działania front-endu opiera się na synchronicznym próbkowaniu ładunku przepływającego przez mierzoną pojemność, przy pobudzeniu sygnałem prostokątnym, pochodzącym z wbudowanego generatora. Sygnał ten jest dostępny na wyjściu EXC (rysunek 10) - przy czym w przypadku układów AD7745/6 dostępne są dwa wyjścia EXCA i EXCB (programowane niezależnie za pomocą rejestrów konfiguracyjnych) - producent zaleca, by w dwukanałowej wersji układu wykorzystywać osobne wejścia do obydwu mierzonych pojemności. Aby ułatwić użytkowanie układu, jego projektanci zapewnili dostęp do trzech rejestrów kalibracyjnych: CAP OFFSET (przesunięcie poziomu wartości zapisywanej do rejestru wyjściowego), CAP GAIN (skalowanie wzmocnienia) oraz VOLT GAIN (skala dla wejścia napięciowego) - warto przy tym pamiętać, że pojemności pasożytnicze większe niż 1 pF producent zaleca redukować w pierwszej kolejności za pomocą przetworników CAPDAC i dopiero potem (precyzyjnie) poprzez użycie rejestru CAP OFFSET.

Rysunek 11. Wykorzystanie linii SHLD układu AD7747 do podłączenia aktywnego ekranu (https://t.ly/1toI)

W przypadku układu AD7747 do dyspozycji użytkownika nie ma już jednak linii EXC - te zostały podpięte wewnętrznie, co było konieczne, by umożliwić włączenie pojemności mierzonych między wejścia układu a masę. Zamiast wyjścia EXC konstruktorzy Analog Devices przewidzieli natomiast linę SHLD, która, choć udostępnia dokładnie taki sam sygnał, jak przebieg podany na właściwe wejście pomiarowe, służy do podłączenia… aktywnego ekranu (rysunek 11). Zasada działania tego typu ekranowania okazuje się genialna w swojej prostocie - dzięki temu, że ekran jest „zasilany” takim samym sygnałem jak wejście pomiarowe, pomiędzy linią sygnałową a ekranem nie przepływa praktycznie żaden ładunek (prąd przemienny). Taka sztuczka układowa sprawia, że pojemność pasożytnicza jest niemal niewidoczna dla układu pomiarowego, co w dużej mierze zwiększa dokładność pomiaru i uniezależnia go od zmiennego wpływu otoczenia na ścieżkę sygnałową, biegnącą pomiędzy mierzoną pojemnością a wejściem front-endu.

ZSSC3122

Kolejny interesujący front-end pojemnościowy to ZSSC3122 marki Renesas. Twórcy układu zaoferowali szereg udogodnień, gwarantujących w pewnych obszarach znacznie większą elastyczność aplikacyjną niż opisane wcześniej propozycje Analog Devices. Schemat blokowy front-endu firmy Renesas pokazano na rysunku 12.

Rysunek 12. Schemat blokowy układu ZSSC3122 marki Renesas (https://t.ly/BrWG)

Układ wyposażono w rdzeń pomiarowy (CDC) z multiplekserem wejściowym i wewnętrznymi obwodami kondycjonowania (offset oraz pojemność odniesienia). Wyjście przetwornika podłączono do procesora DSP, zapewniającego dokładną kalibrację w domenie cyfrowej, przeprowadzaną na bieżąco z użyciem współczynników zapisanych w nieulotnej pamięci EEPROM. Sporą różnicę w porównaniu do układów z rodziny AD774x stanowi tutaj mnogość obsługiwanych przez front-end interfejsów wyjściowych - do dyspozycji użytkownika jest nie tylko szyna I2C, ale także SPI, wyjście PDM oraz linie binarne (Alarm High/Alarm Low).

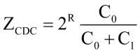
Istotnym ograniczeniem ZSSC3122 jest stosunkowo niewielka rozdzielczość (8...14 bitów), układ daje w zamian za to możliwość uzyskania znacznie wyższej częstotliwości odczytów niż front-endy ADI (w tym przypadku najkrótszy okres odczytu wynosi 0,7 ms, co daje częstotliwość na poziomie przeszło 1400 Hz - konkurencyjne układy AD7745/6 mogą pracować przy częstotliwości odświeżania zaledwie do 90 Hz). W wielu aplikacjach bardzo interesująca okaże się funkcja pomiaru ratiometrycznego - konfiguracja ta wykorzystuje dwie zewnętrzne pojemności, przy czym jedna to właściwa pojemność mierzona, zaś druga pełni funkcję pojemności odniesienia (do ich podłączenia służą wejścia C0 i C1 na rysunku 13).

Rysunek 13. Podłączenie układu ZSSC3122 w trybie pomiaru ratiometrycznego z zewnętrzną pojemnością odniesienia (https://t.ly/BrWG)

Wynik pomiaru jest generowany wg wzoru (1):

 (1), gdzie:

  • ZCDC - wartość odczytana z wyjścia przetwornika CDC,
  • R - rozdzielczość przetwornika [bit],
  • C0 - pojemność pomiędzy wejściem C0 a węzłem wspólnym,
  • C1 - pojemność pomiędzy wejściem C1 a węzłem wspólnym,
  • COFF - offset zerowy przetwornika CDC.

Warto zwrócić uwagę na kondensator, podłączony do wejścia CC - brak konieczności galwanicznego połączenia węzła kondensatorów C0 i C1 ze wspomnianym pinem układu daje dodatkową elastyczność w niektórych aplikacjach (producent podaje tu przykład czujnika inercyjnego z ruchomą masą). Dla ścisłości warto dodać, że układ może pracować także w trybie różnicowym, jednak, nieco wbrew nazwie, nie należy spodziewać się w tym przypadku pomiaru różnicowego w typowym tego słowa znaczeniu (tj. podobnie jak w przypadku wejść napięciowych, w których sygnały są analogowo odejmowane). Zamiast klasycznej różnicy pojemności C0 i C1, na wyjściu cyfrowym pojawia się bowiem wartość odniesiona do sumy obu pojemności, tj. (2):

 (2).

Ważne, by spełnić warunek stałości sumy C0+C1 (co oznacza, że gdy jedna z pojemności rośnie o pewną wartość, druga spada o tyle samo - nietrudno się domyślić, w jakiego rodzaju aplikacjach można wykorzystać taki tryb pomiaru).

Układ ZSSC3122 jest w stanie mierzyć pojemności do 10 pF, zaś maksymalna rozdzielczość osiągalna przez przetwornik CDC wynosi do 125 aF/LSB. Użytkownik może ustawić wewnętrzne pojemności offsetu i odniesienia w przedziałach do (odpowiednio) 10,1 pF oraz 11,5 pF (±10%).

FDC1004

Schemat blokowy czterokanałowego układu FDC1004 marki Texas Instruments został pokazany na rysunku 14.

Rysunek 14. Schemat blokowy front-endu FDC1004 (https://t.ly/t13u)

Także w tym przypadku konstruktorzy mają do wyboru kilka trybów pracy, a to za sprawą połączenia zalet znanych z opisanych wcześniej układów AD774x oraz ZSSC3122 - na pokładzie front-endu TI znalazły się bowiem zarówno rozbudowane multipleksery wyjściowe (obsługujące do 4 kanałów single-ended lub dwa kanały różnicowe), jak i przetwornik CAPDAC z możliwością sprzętowej kompensacji offsetu do niemal 100 pF.

Rysunek 15. Układ FDC1004 podłączony w trybie różnicowym (https://t.ly/t13u)

Nie zabrakło też dwóch wyjść ekranu aktywnego (SHLD), pozwalających na rozdzielenie ekranu na dwie grupy (obsługujące osobne czujniki różnicowe wg rysunku 15) lub połączenie za pomocą wewnętrznego klucza w przypadku pracy w trybie single-ended (rysunek 16).

Rysunek 16. Układ FDC1004 w trybie wejść single-ended z włączoną kompensacją offsetu za pomocą przetwornika CAPDAC (https://t.ly/t13u)

Dwa czterokanałowe multipleksery umożliwiają wybór praktycznie dowolnej konfiguracji wejść różnicowych przetwornika CDC - na wejście nieodwracające może zostać skierowany sygnał z któregokolwiek z wejść CIN1...4, zaś do wejścia odwracającego można podłączyć zarówno ww. wejścia CINx, jak i wyjście konwertera offsetu CAPDAC.

Zakres pomiarowy front-endu FDC1004 wynosi ±15 pF, maksymalna rozdzielczość jest równa 0,5 fF, zaś prędkość odczytów można skonfigurować w szerokim zakresie 100, 200 lub 400 Sps. Co więcej, maksymalne obciążenie pojemnościowe ekranu aktywnego wynosi w przypadku układów FDC1004 aż 400 pF.

PCAP04

Układ PCAP04 marki AMS można uznać za jeden z najbardziej zaawansowanych front-endów pojemnościowych dostępnych obecnie na rynku. Rozbudowana struktura rdzenia pomiarowego umożliwia pracę zarówno w trybie wysokiej rozdzielczości (do 20 bitów, maksymalna czułość na poziomie 2,5 aF!), jak też wysokiej częstotliwości próbkowania (do 50 kHz). Zaproponowany przez AMS układ (rysunek 17) to już nie tylko klasyczny, 6-kanałowy front-end analogowy CDC, ale rozbudowany SoC z 32-bitowym, 60-megahercowym procesorem DSP o architekturze typu Harvard i trzema blokami pamięci: NVRAM (pamięć programu procesora DSP), RAM (pamięć operacyjna) i XROM (stały zestaw najczęściej wykorzystywanych procedur programowych). W układzie znalazł się dodatkowy przetwornik do pomiaru czujników rezystancyjnych (RDC), stabilizator liniowy, blok taktowania oraz kontroler I/O obsługujący interfejsy szeregowe I2C i SPI, wyjście impulsowe PDM lub PWM oraz uniwersalne linie GPIO.

Rysunek 17. Schemat blokowy układu PCap04 marki AMS (https://t.ly/Z1aY)

Obecność wbudowanego, „pełnoprawnego” procesora DSP daje konstruktorom potężną elastyczność aplikacyjną, a to za sprawą gotowego oprogramowania wbudowanego, umożliwiającego nie tylko bezpośredni odczyt wyników pomiaru, lecz także wykonywanie podstawowego kondycjonowania sygnałów „w locie”. Standardowy program umożliwia obliczanie stosunków mierzonych pojemności z uwzględnieniem współczynników kalibracyjnych, zaś bardziej rozbudowana wersja firmware, także udostępniana przez producenta, pozwala na dokonywanie linearyzacji z użyciem wielomianów trzeciego stopnia (dla pojemności) i drugiego stopnia (dla czujnika temperatury). Tak wysoki poziom złożoności obliczeń, realizowanych przez sam front-end, umożliwia obsługę układu za pomocą nawet najprostszych, niskomocowych mikrokontrolerów - co ma niemałe znaczenie, tym bardziej że układ może pracować z prądem zasilania obniżonym nawet do 3 μA. W strukturze front-endu nie zabrakło rzecz jasna stopnia wyjściowego do zasilania ekranu aktywnego.

Rysunek 18. Topologie pomiarowe przy zastosowaniu układu PCap04 marki AMS (opis w tekście) (https://t.ly/Z1aY)

Układ wejściowy front-endu umożliwia wykorzystanie wielu różnych topologii pomiarowych - można mierzyć sześć różnych, uziemionych jednostronnie pojemności w trybie single-ended, trzy pojemności „pływające”, trzy różnicowe (z odczepem połączonym z masą - patrz opis układu ZSSC3122) lub nawet pojemność różnicową z odczepem pływającym. Możliwe układy połączeń zaprezentowano na rysunku 18.

Rysunek 19. Zasada działania front-endu PCap04 – pomiar czasu rozładowania pojemności wejściowej (https://t.ly/Z1aY)

Co niezwykle ważne, konstruktorzy układu PCap04 zastosowali całkowicie inną technologię pomiaru, niż miało to miejsce w przypadku opisanych wcześniej front-endów. Tutaj mamy bowiem do czynienia z przetwornikiem TDC (time-to-digital converter), mierzącym czas rozładowania pojemności wejściowej (rysunek 19) przez jeden z wewnętrznych rezystorów układu (rysunek 20). Taka metoda pomiaru skutkuje imponującym zakresem pomiarowym - front-end PCap04 może pracować z pojemnościami od 1 pF aż do 100 nF (5 rzędów wielkości!).

Rysunek 20. Blok rezystancji rozładowujących układu PCap04 (https://t.ly/Z1aY)

MAS6510

Ostatnim układem, jaki omówimy, będzie front-end MAS6510 marki Micro Analog Systems. Ten helsiński producent typu fabless opracował niewielki układ bazujący na 24-bitowym przetworniku CDC typu delta-sigma, pracującym w trybie ratiometrycznym lub różnicowym (rysunek 21).

Rysunek 21. Schemat blokowy układu MAS6510 marki MAS (https://t.ly/DIgJ)

Dwa przetworniki CAPDAC o pojemności maksymalnej 22 pF umożliwiają niwelację offsetu z rozdzielczością na poziomie 86 fF/LSB. Interesującą funkcją układu jest możliwość ustawienia wzmocnienia przez zapis 8-bitowej wartości do rejestru kontrolującego poziom sygnału pobudzającego (GRDAC) - w połączeniu z doborem wartości pojemności odniesienia, ustawienie takie pozwala zoptymalizować zakres dynamiki przetwornika CDC. Dodatkowo, użytkownik może skorzystać z wbudowanego silnika linearyzacji, przeznaczonego do użycia w aplikacjach o charakterystyce Cs(x)~1/x, gdzie Cs(x) - pojemność sensora w funkcji parametru x (np. ciśnienia). Front-end MAS6510 zawiera, oprócz właściwej części pomiarowej, także interfejs I2C/SPI, regulator napięcia oraz pamięć EEPROM i wewnętrzny blok taktowania z możliwością podpięcia zewnętrznego sygnału taktującego (co jest konieczne do zwiększenia zakresu pomiarowego ponad 40 pF). Typowy zakres pomiarowy wynosi od 2 do 30 pF, zaś rozdzielczość przetwornika delta-sigma to 17,5 bita. Osiągane częstotliwości próbkowania mieszczą się w zakresie od 12 Hz do 173 Hz.

Podsumowanie

Zaprezentowane w tym odcinku front-endy pojemnościowe powstały z myślą o pomiarach o wysokiej rozdzielczości w aplikacjach przemysłowych, medycznych czy też motoryzacyjnych. Na podstawie tego opisu nietrudno zauważyć, że większość układów powtarza pewne standardowe rozwiązania, choć niektóre z nich, np. PCap04 czy FDC1004, łączą zalety konkurencyjnych produktów, dzięki czemu nadają się do znacznie szerszego zakresu zastosowań. Co więcej, jak pokazaliśmy na przykładzie wspomnianego układu PCap04, nawet w segmencie pomiaru tak podstawowych wielkości, do jakich należy pojemność elektryczna, można spotkać złożone front-endy SoC, integrujące w sobie rozbudowany procesor DSP i zapewniające funkcjonalność dużo bardziej zaawansowaną niż proste układy AFE z przetwornikiem, multiplekserem oraz blokiem rejestrów I/O.

W kolejnym odcinku Poradnika Implementacji pozostaniemy przy tematyce pomiaru wielkości elektrycznych - tym razem skupimy się na układach przeznaczonych do aplikacji energetycznych.

inż. Przemysław Musz, EP

Artykuł ukazał się w
Elektronika Praktyczna
luty 2022
Elektronika Praktyczna Plus lipiec - grudzień 2012

Elektronika Praktyczna Plus

Monograficzne wydania specjalne

Elektronik listopad 2025

Elektronik

Magazyn elektroniki profesjonalnej

Raspberry Pi 2015

Raspberry Pi

Wykorzystaj wszystkie możliwości wyjątkowego minikomputera

Świat Radio listopad - grudzień 2025

Świat Radio

Magazyn krótkofalowców i amatorów CB

Automatyka, Podzespoły, Aplikacje listopad - grudzień 2025

Automatyka, Podzespoły, Aplikacje

Technika i rynek systemów automatyki

Elektronika Praktyczna listopad 2025

Elektronika Praktyczna

Międzynarodowy magazyn elektroników konstruktorów

Elektronika dla Wszystkich grudzień 2025

Elektronika dla Wszystkich

Interesująca elektronika dla pasjonatów