Praktyczne aplikacje scalonych układów AFE (5). Podstawy PPG i SpO2. Hybrydowe front-endy fotometryczne

Praktyczne aplikacje scalonych układów AFE (5). Podstawy PPG i SpO2. Hybrydowe front-endy fotometryczne

W poprzednich odcinkach cyklu opisaliśmy dość szeroko front-endy przeznaczone do akwizycji sygnałów bioelektrycznych, tj. przebiegów napięciowych generowanych przez organy i tkanki człowieka. Tym razem omówimy kolejną, obszerną grupę aplikacji biomedycznych, poczynając od popularnych smartwatchy i opasek sportowych, a kończąc na klinicznych kardiomonitorach czy też pulsoksymetrach przyłóżkowych.

Fotopletyzmografia – podstawy fizyczne

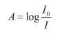
Na współczesną fotopletyzmografię (określaną anglojęzycznym skrótem PPG) składa się szereg technik pomiarowych, mających wspólne źródło w, bardzo uproszczonej pod względem technicznym, (spektro)fotometrii. Podstawowym zjawiskiem fizycznym wykorzystywanym w tej metodzie jest absorpcja (pochłanianie) światła przez tkanki człowieka. Miarą stopnia intensywności, z jaką dany obiekt pochłania promieniowanie świetlne, jest jego absorbancja A, wyrażona wzorem (1):

(1)

gdzie I0 oznacza natężenie promieniowania padającego na dany obiekt, zaś I to natężenie promieniowania po przejściu przezeń (rysunek 1).

Rysunek 1. Ilustracja prawa Lamberta-Beera: światło o natężeniu I0 po przejściu przez próbkę o grubości l ulega osłabieniu do natężenia I, w stopniu proporcjonalnym do grubości tkanki oraz gęstości i stopnia pochłaniania, charakterystycznego dla materiału danej próbki

Wartość absorbancji rośnie zatem logarytmicznie wraz ze wzrostem stopnia, w jakim obiekt pochłania padającą nań wiązkę światła. W przypadku tkanek ludzkich stopień ten zależy od dziesiątek czynników, na całe szczęście jednak znakomitą większość z nich można w rozważaniach inżynierskich pominąć i skoncentrować się jedynie na tych czynnikach, które:

  • istotnie odróżniają się od pozostałych pod względem charakterystyki częstotliwościowej,

oraz

  • posiadają znaną (określoną) zależność od stosowanej w badaniu długości fali.

Klasyczna fotopletyzmografia korzysta zwykle z emiterów (źródeł światła) w postaci jednobarwnych diod LED oraz fotodetektorów, w roli których używane są zwykle fotodiody (rzadziej także fototranzystory). Najczęściej stosuje się diody czerwone (około 660 nm), zielone (około 530 nm) oraz pracujące w zakresie bliskiej podczerwieni (około 900 nm), zaś wybór ten jest podyktowany właściwościami optycznymi wszystkich warstw skóry, znajdujących się w niej naczyń krwionośnych oraz samej krwi.

Charakterystyki optyczne tkanek zależą od gęstości ich struktury komórkowej, a także procentowej zawartości określonych substancji chemicznych (np. pigmentów), składu płynów ustrojowych etc. Wspomniane czynniki są jednak w zdecydowanej większości stałe lub wolnozmienne (przynajmniej w obrębie danego organizmu, gdyż, ak zawsze w bioinżynierii, ulegają zmienności osobniczej). Dlatego też najsilniejszym czynnikiem relatywnie szybkozmiennym jest na tym tle przepływ krwi w naczyniach skórnych – mniejszych tętnicach, tętniczkach i częściowo w naczyniach włosowatych. Rytmiczne skurcze lewej komory serca, powodujące wtłaczanie porcji krwi w każdym cyklu pracy (porcja ta jest nazywana objętością wyrzutową) do aorty i dalej do coraz mniejszych naczyń krwionośnych, zostają zatem odwzorowane przez niewielkie, ale mierzalne zmiany objętości krwi, znajdującej się w naczyniach skóry.

Dwie odmiany fotopletyzmografii

Dwa podstawowe elementy składające się na prosty czujnik fotopletyzmograficzny (nadajnik oraz odbiornik wiązki światła) mogą być ustawione względem siebie na dwa sposoby, które na początku trzeciej dekady XXI wieku, dzięki rosnącej popularności urządzeń ubieralnych, rozpowszechniły się już niemal w równym stopniu.

Rysunek 2. Konstrukcja czujnika optycznego o topologii transmisyjnej

Topologia transmisyjna (rysunek 2), stosowana głównie w czujnikach napalcowych (fotografia 1) oraz klipsowych, wymaga umieszczenia fotodetektora dokładnie naprzeciw nadawczej diody LED, a badanej części ciała – pomiędzy nimi. Wiązka światła penetruje zatem tkankę na wylot, a propagację fali wspomaga rozproszenie światła w objętości skóry, co umożliwia transmisję w przypadku pomiarów dokonywanych na palcach (kość stanowiłaby bowiem przeszkodę dla biegu wiązki świetlnej w linii prostej). Chwilowy wzrost objętości krwi w skurczowej fazie cyklu pracy serca powoduje osłabienie wiązki światła, rejestrowanej przez odbiornik.

Fotografia 1. Przykładowy napalcowy czujnik pulsoksymetryczny (https://tinyurl.com/4u28rnjs)

Natomiast w konfiguracji refleksyjnej, pokazanej na rysunku 3, obydwa elementy znajdują się w tej samej obudowie, zaś światło z nadajnika jest rozpraszane i częściowo odbijane przez kolejne warstwy tkanek, dzięki czemu powraca do fotodetektora znajdującego się obok diody LED.

Rysunek 3. Konstrukcja czujnika optycznego o topologii refleksyjnej

Czujniki refleksyjne mogą być zatem stosowane w tych partiach ciała, których prześwietlenie jest niemożliwe lub w przypadku których natężenie sygnału powracającego do czujnika byłoby niemierzalnie niskie. Stąd też ogromna popularność sensorów refleksyjnych w zastosowaniach ubieralnych (smartwatche, smartbandy) oraz czujnikach samoprzylepnych, używanych głównie na powierzchni czoła lub w roli czujników napalcowych u pacjentów monitorowanych w warunkach szpitalnych (fotografia 2).

Fotografia 2. Przykładowy samoprzylepny czujnik SpO2 (https://tinyurl.com/wfukuhyt)

Wybór barwy światła nadajnika z punktu widzenia inżyniera elektronika

Jak wcześniej wspomniano, w przypadku klasycznej fotopletyzmografii możliwe jest zastosowanie diod LED o różnych długościach fali. Choć wybór konkretnej barwy światła spośród najczęściej stosowanych zakresów widma optycznego nie ma żadnego wpływu na wyniki badania w znakomitej większości codziennych zastosowań tej technologii (dziś prosta fotopletyzmografia jest używana prawie wyłącznie do badania rytmu serca), to może on mieć znaczenie dla jakości (siły) uzyskiwanego sygnału. Światło czerwone i bliska podczerwień (NIR) dobrze penetrują w głąb tkanek (nietrudno zauważyć, że po prześwietleniu ostatniego paliczka za pomocą silnej latarki jedynym widocznym składnikiem wiązki wyjściowej jest właśnie czerwień), dlatego to właśnie te barwy stały się najpopularniejsze niemal od samych początków istnienia pulsoksymetrii.

Fotografia 3. Widok elementów optoelektronicznych czujnika tętna w opasce sportowej Xiaomi Mi Band 4; widoczna struktura fotodiody oraz dwie superjasne, zielone diody LED

Co ciekawe, liczne wyniki badań opublikowane w ostatniej dekadzie przekierowały techniki fotopletyzmograficzne w kierunku światła zielonego. Okazało się bowiem, że dokładnie ten zakres pasma widzialnego dobrze odwzorowuje przepływ krwi w powierzchownych (płytko położonych) naczyniach skóry, co pozwala uzyskać silny zapis o wysokim poziomie odstępu sygnał-szum, z użyciem stosunkowo słabego (a zatem – energooszczędnego) źródła światła. Stąd tak popularne stały się oświetlacze w postaci zielonych diod LED, spotykane w bijących rekordy popularności zegarkach i opaskach sportowych (fotografia 3).

Pulsoksymetria, czyli… dwukanałowe PPG z dodatkiem matematyki

Pulsoksymetria jest techniką nieinwazyjnego pomiaru saturacji krwi tętniczej, a dokładniej rzecz ujmując – udziału oksyhemoglobiny (czyli natlenowanej frakcji Hb, będącej niezbędnym nośnikiem życiodajnego tlenu w procesie oddychania komórkowego) w całkowitej ilości hemoglobiny, znajdującej się w erytrocytach. W istocie technika ta – choć zyskuje pierwszorzędne znaczenie w medycynie ratunkowej, monitoringu śród- i pooperacyjnym oraz intensywnej terapii, jest jedynie nieznacznym (pod względem technicznym) rozwinięciem opisanej wcześniej, klasycznej fotopletyzmografii. Pulsoksymetria opiera się na rejestracji fali tętna w dwóch zakresach widma optycznego w sposób (pseudo)jednoczesny. Celem tego zabiegu jest „wyłuskanie” składowej pochodzenia tętniczego (związanej z przepływem krwi o wysokim stopniu natlenienia, czyli wysokiej zawartości oksyhemoglobiny) z całościowego sygnału, na którego wartość (a zatem pośrednio – absorbancję) składają się także wpływy wspomnianych wcześniej czynników stałych i wolnozmiennych (pochłanianie przez pigment skóry, tkankę tłuszczową, płyny śród- oraz wewnątrztkankowe i in. – rysunek 4).

Rysunek 4. Składowe całościowej absorbancji tkanek badanego obszaru

Faktami sprzyjającymi tworzeniu algorytmów obliczeniowych, na których bazuje pulsoksymetria, są:

  • praktycznie laminarny, stały przepływ krwi w niskociśnieniowym układzie żylnym – pulsowanie pochodzi zatem przede wszystkim od tętniczej strony krwiobiegu obwodowego, co pozwala przyjąć pewne założenia, bez których określenie poziomu saturacji krwi byłoby niemożliwe;
  • znaczna różnica pomiędzy absorbancją światła czerwonego oraz podczerwonego dla oksyhemoglobiny i deoksyhemoglobiny – w dużym uproszczeniu można przyjąć, że modulacja sygnału dla oświetlenia tkanek diodą czerwoną będzie znacznie głębsza dla deoksyhemoglobiny i płytsza dla oksyhemoglobiny, zaś odwrotna zależność będzie obserwowana dla pasma NIR).

Techniczną realizacją (pseudo)jednoczesnej rejestracji przebiegów tętna w pasmach czerwieni i podczerwieni jest multipleksowanie w dziedzinie czasu. Zasilanie nadajników – czerwonej i podczerwonej diody LED, jest naprzemiennie kluczowane i zsynchronizowane z odbiornikiem, po którego stronie następuje rozdział sygnału z fotodetektora na próbki należące do obu ww. sygnałów. Następnie z poszczególnych przebiegów wyznaczane są ich składowe stałe i zmienne (ACr i DCr – dla fali czerwonej oraz ACir i DCir dla fali podczerwonej), które w efekcie trafiają do wzoru, pozwalającego na wyznaczenie stosunku modulacji R (2):

(2)

Ostatnim etapem działania algorytmu pulsoksymetrii jest zastosowanie empirycznie wyznaczonej krzywej kalibracji [1] (czyli funkcyjnej (nieliniowej) zależności pomiędzy wartością współczynnika R dla danego typu czujnika, a rzeczywistym poziomem saturacji pacjenta), do określenia wyniku SpO2 na podstawie zmierzonych sygnałów. Przykładowa krzywa kalibracji została pokazana na rysunku 5.

Rysunek 5. Zasada stosowania krzywej kalibracji: na podstawie wyliczonej wartości R określana jest saturacja krwi tętniczej (SpO2), przy czym jako metody referencyjnej używa się pomiaru saturacji (SaO2) metodą gazometrii

Artefakty w badaniach PPG i SpO2

Podobnie jak wszystkie inne techniki pomiarów biomedycznych, także fotopletyzmografia i według tych samych mechanizmów, również pulsoksymetria są podatne na liczne rodzaje artefaktów. Zakłócenia mogą pochodzić zarówno z samego układu pomiarowego, otoczenia pacjenta, jak i od procesów zachodzących wewnątrz organizmu. Do najistotniejszych artefaktów, z którymi zmagają się twórcy pulsoksymetrów i monitorów tętna bazujących na PPG, należą:

  • artefakty ruchowe – wynikają przede wszystkim ze zmian objętości tkanek leżących w obrębie czujnika (np. skurcz okolicznych mięśni), wzajemnego przesuwania warstw skóry, redystrybucji nieznacznych ilości krwi (np. ze względu na zwiększenie nacisku), a także zmian położenia czujnika względem ciała pacjenta. Efektem artefaktów ruchowych mogą być zarówno niewielkie zaburzenia sygnału nakładające się na zapis fali tętna, jak i dryf izolinii, a nawet, w skrajnych przypadkach, całkowita utrata mierzalnej pulsacji lub przesterowanie wzmacniacza wejściowego. Szczególnym wyzwaniem dla programistów jest filtracja sygnałów pozyskiwanych z czujników ubieralnych, gdyż pasmo artefaktów często pokrywa się z częstotliwością podstawową rytmu serca (np. w przypadku chodu lub biegu cykliczne zaburzenia spowodowane ruchem oraz właściwy sygnał pulsu mogą być w pewnych warunkach trudne do rozróżnienia);
  • oświetlenie zewnętrzne – silne oświetlenie przedostające się z otoczenia do badanego rejonu tkanek może powodować zarówno wolnozmienne przesunięcia linii bazowej sygnału, jak i szybkie zmiany o ostrych zboczach, mogące zaburzać działanie filtrów cyfrowych wyższego rzędu. W warunkach szpitalnych oraz ambulatoryjnych problem ten manifestuje się przede wszystkim podczas ekspozycji czujnika na otoczenie ze sztucznym oświetleniem sieciowym. Najczęściej spotykane w praktyce są zakłócenia o częstotliwości sieci (50 lub 60 Hz wraz z harmonicznymi wyższych rzędów) oraz wysokoczęstotliwościowe przebiegi świetlówek lub sterowników PWM, stosowanych do zasilania paneli LED. W zależności od rodzaju źródła światła zakłócającego, zastosowanej w układzie filtracji oraz wzajemnej zależności pomiędzy częstotliwością próbkowania (kluczowania) a częstotliwością zakłóceń, artefakty tego rodzaju mogą być widoczne jako fale okresowe lub pseudolosowe ciągi impulsów i mogą stanowią spory problem dla twórców algorytmów przetwarzania sygnałów PPG/SpO2.

Rodzaje front-endów PPG/SpO2

Obecnie na rynku dostępne są dwie grupy układów przeznaczonych do realizacji pomiarów metodami PPG i SpO2.

  • układy hybrydowe – integrują w ramach pojedynczej obudowy (wyposażonej w okno optyczne) zarówno właściwy front-end analogowy, jak wszystkie elementy optoelektroniczne niezbędne do realizacji pomiaru (jedną lub kilka diod LED i fotodiodę);
  • monolityczne – dostosowane do bezpośredniej współpracy z zewnętrznymi sondami pomiarowymi.

Wybór technologii jest podyktowany szeregiem czynników, spośród których do najważniejszych należą:

  • rodzaj aplikacji – choć większość czujników hybrydowych może pracować zarówno w trybie transmisyjnym, jak i refleksyjnym, to z czysto praktycznych względów „zaszywanie” cyfrowego układu scalonego w przewodowym czujniku napalcowym bądź klipsowym byłoby nie tylko trudne, ale także wysoce nieopłacalne. Z tego też względu front-endy zintegrowane z optoelektroniką lepiej pasują do urządzeń noszonych bezpośrednio na ciele (np. opasek sportowych), zaś monolityczne układy AFE, do aplikacji klinicznych wykorzystujących zewnętrzne, wielo- lub jednorazowe sondy optyczne, stosowane powszechnie w pulsoksymetrach stacjonarnych i kardiomonitorach. Od tej reguły są jednak wyjątki – w kolejnej części cyklu przedstawimy front-endy monolityczne przeznaczone do urządzeń wearable;
  • jakość metrologiczna układu – układy monolityczne oferują przeważnie szersze możliwości pomiarowe i wyższą jakość uzyskiwanych wyników, w porównaniu z rozwiązaniami kompaktowymi (hybrydowymi); dotyczy to m.in. rozdzielczości przetworników ADC i odstępu sygnał-szum, zakresu dynamiki sterowania prądem diod LED, czy też obecności zaawansowanych, sprzętowych bloków redukcji wpływu oświetlenia zewnętrznego;
  • elastyczność – układy monolityczne są zwykle wyposażane w szereg dodatkowych funkcji, w tym przede wszystkim relatywnie rozbudowane obwody autodiagnostyki, umożliwiające detekcję awarii lub też całkowitego braku zewnętrznego czujnika; oferują ponadto wiele zróżnicowanych trybów pracy, pozwalających na wykorzystanie odmiennych konfiguracji fotodetektora i emiterów w zależności od aplikacji;
  • cena – zastosowanie front-endów hybrydowych niweluje problem doboru elementów optoelektronicznych oraz konstrukcji mechanicznej czujnika, co przy dość wysokich cenach klasycznych czujników napalcowych, samoprzylepnych oraz klipsowych, znacząco wpływa na obniżenie ceny docelowego rozwiązania i dodatkowo skraca czas opracowania projektu;
  • stopień złożoności implementacji sprzętowej – czujniki hybrydowe są nieporównanie prostsze w implementacji od front-endów monolitycznych z zewnętrzną optoelektroniką. Minimalna aplikacja tego typu układów wymaga zaledwie kilku kondensatorów odsprzęgających zasilanie oraz… dwóch rezystorów podciągających szyny I2C (dotyczy to m.in. omówionego dalej układu MAX30102);
  • rozmiary układu pomiarowego – mniejsza złożoność obwodów peryferyjnych AFE oraz silna integracja wszystkich niezbędnych bloków funkcjonalnych w ramach pojedynczej obudowy sprawia, że wynikowe rozmiary układu bazującego na czujniku hybrydowym są zdecydowanie mniejsze, niż analogicznej implementacji opartej na front-endzie monolitycznym. Ma to niebagatelne znaczenie dla urządzeń ubieralnych, w których ilość dostępnego miejsca jest okrojona do granic możliwości technologicznej.

MAX30101/MAX30102

Opis przykładowych front-endów rozpoczniemy od popularnego układu hybrydowego MAX30102, którego schemat funkcjonalny został pokazany na rysunku 6. Obudowa zawiera całkowicie przezierne, szklane okno pomiarowe, pokrywające dwa przedziały optyczne, które rozdzielone zostały przegrodą redukującą bezpośrednie oświetlenie czujnika przez struktury LED. Mikrofotografia układu (pokazana na fotografii tutułowej) ujawnia jego dokładną strukturę – większy przedział zawiera duży, wielopolowy fotodetektor, zaś obok niego, na tym samym podłożu, znajduje się właściwa struktura AFE. W mniejszej komorze znajdują się miniaturowe struktury LED o długości fali w szczytowym punkcie emisji widma równej 660 nm i 880 nm. Całość obudowy układu ma wymiary 5,6×3,3×1,55 mm i zawiera 14 pinów w dwóch rzędach.

Rysunek 6. Schemat funkcjonalny hybrydowego czujnika MAX30102

Właściwy front-end układu MAX30102 wyposażony został w dwa przetworniki ADC – jeden z nich (18-bitowy delta-sigma czasu ciągłego, o zakresie pomiarowym od 2 do 16 µA) jest połączony z fotodiodą i układem aktywnej redukcji wpływu oświetlenia zewnętrznego ALC, zdolnym do usunięcia offsetu prądu fotodiody do 200 µA (ponad 12-krotnie większego, niż maksymalny zakres dynamiczny sygnału). Drugi przetwornik przeznaczony jest natomiast do pomiaru temperatury struktury krzemowej za pomocą wewnętrznego czujnika o rozdzielczości aż 0,0625°C. Dane z pierwszego konwertera są filtrowane cyfrowo, producent nie podaje jednak żadnych szczegółów technicznych samego filtra.

Sterownik diod LED, pracujący pod kontrolą sprzętowego sekwencera, jest w stanie dostarczać prąd o wartości od 0 do 50 mA w impulsach o szerokości od 69 do 411 µs, wymaga przy tym zasilania napięciem 3,1...5,0 V (podczas, gdy sam układ jest zasilany napięciem z zakresu od 1,7 do 2,0 V). Układ zawiera ponadto pamięć FIFO o długości 32 próbek, co pozwala znacznie zredukować pobór prądu urządzenia dzięki zmniejszeniu częstotliwości wybudzeń nadrzędnego procesora. Szeroki zakres parametrów konfiguracyjnych sekwencera oraz częstotliwości próbkowania przetworników ADC (od 50 do 3200 Sps) pozwala na pracę układu zarówno w trybie (relatywnie) wysokiej jakości pulsoksymetru, jak i energooszczędnego monitora tętna (wykorzystującego tylko jedną diodę LED) o średnim poborze mocy poniżej 1 mW. Układ komunikuje się z procesorem nadrzędnym przez interfejs I2C.

Fotografia 4. Moduł Heart Rate 4 Click marki MikroElektronika, wyposażony w układ MAX30101 (https://bit.ly/3AhEpcB)

Firma Maxim wprowadziła na rynek także bliźniaczy układ MAX30101, wyposażony w trzy diody LED – zieloną, podczerwoną oraz czerwoną. Dla obydwu modeli dostępne są liczne moduły ewaluacyjne, zarówno uniwersalne (wyposażone w niezbędne obwody zasilania i rezystory podciągające dla szyny I2C), jak i kompatybilne z własnościowymi standardami takimi, jak mikroBUS marki MikroElektronika (fotografia 4) czy też Qwiic marki SparkFun (fotografia 5).

Fotografia 5. Moduł SparkFun SEN-15219 z układem MAX30101 i cyfrowym procesorem biomedycznym MAX32664 (https://bit.ly/2SEjAan)

Si1143-AAGX

Firma Silicon Labs wprowadziła na rynek prosty układ hybrydowy Si1143-AAGX (schemat funkcjonalny został pokazany na rysunku 7), którego konstrukcja jest najlepszym dowodem wpływu nauk biomedycznych na rozwój elektroniki konsumenckiej. Zamiast klasycznych diod LED w paśmie czerwonym i podczerwonym, w układzie zastosowano bowiem… tylko jedną diodę zieloną.

Rysunek 7. Schemat blokowy czujnika Si1143

Brak elementów koniecznych do realizacji typowych aplikacji pulsoksymetrycznych kompensuje obecność dwóch dodatkowych wyjść drivera LED, co ciekawe, oferującego bardzo szeroki, bo dochodzący aż do 360 mA, zakres prądu wyjściowego. Zakres czułości spektralnej wewnętrznej fotodiody obejmuje natomiast pasmo VIS-NIR od 525 nm aż do 940 nm. Całość zamknięta jest w obudowie LGA o wymiarach 4,9×2,85×1,2 mm. Układ komunikuje się z procesorem za pośrednictwem interfejsu I2C.

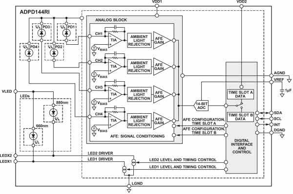
ADPD144RI

Bardzo interesujące rozwiązania zaoferowała firma Analog Devices. Podczas, gdy konkurencja wyraźnie postawiła na pojedyncze lub, co najwyżej podwójne wejścia fotometryczne, inżynierowie ADI doszli do wniosku, że zwiększenie liczby wejść daje dodatkowe możliwości rozszerzenia zakresu dynamiki oraz rozdzielczości efektywnej, a przez to zwiększenia jakości pomiarów. Hybrydowy układ ADPD144RI posiada aż cztery niezależne bloki wejściowe (rysunek 8), złożone ze skompensowanych wzmacniaczy transimpedancyjnych, wyposażonych w źródła offsetu napięciowego, bloki redukcji wpływu oświetlenia zewnętrznego oraz wzmacniacze PGA.

Rysunek 8. Schemat funkcjonalny układu ADPD144RI

Taka topologia daje sporą elastyczność aplikacyjną, gdyż umożliwia niezależne wykorzystanie każdego z pól czterosegmentowej fotodiody w połączeniu z odpowiadającym jej układem wejściowym (w układach wymagających szerszego zakresu dynamiki), bądź też podłączenie fotodiod parami do ostatnich dwóch kanałów wejściowych (CH3 i CH4), w celu zmniejszenia poziomu szumów podczas pomiaru słabych sygnałów wejściowych. obydwie konfiguracje zostały pokazane na rysunku 9.

Rysunek 9. Dopuszczalne konfiguracje wejść front-endu ADPD144RI

Natywna rozdzielczość przetwornika analogowo-cyfrowego wynosi 14 bitów, ale rozbudowany blok cyfrowego przetwarzania danych umożliwia uśrednianie próbek w dwupoziomowych, sprzętowych akumulatorach, w celu uzyskania rozdzielczości sięgającej aż 20 (burst accumulator), a nawet 27 bitów (sample to sample accumulator). Dzięki temu układ może być stosowany nie tylko w aplikacjach wymagających relatywnie szybkich pomiarów (min. 50 próbek na sekundę dla podstawowej detekcji tętna), ale także w precyzyjnych układach do pomiarów fotometrycznych. Wydajne źródła prądowe o zakresie aż do 370 mA pozwalają na uzyskanie silnego strumienia świetlnego w najbardziej wymagających aplikacjach.

Last, but not least – BH1790GLC

Na koniec pozostawiliśmy interesujący front-end hybrydowy BH1790GLC, wprowadzony na rynek już w 2015 roku przez firmę Rohm Semiconductor. Silnie zminiaturyzowany układ w obudowie WLGA o wymiarach zaledwie 2,8×2,8×1,0 mm (rysunek 10) ma wbudowaną fotodiodę oraz dwa sterowniki zewnętrznych diod LED o wydajności prądowej od 5 do 15 mA. Charakterystyka spektralna fotodetektora jest zoptymalizowana pod kątem odbioru światła zielonego (poprzez zastosowanie optycznych filtrów: zielonego i podczerwonego), co sprawia, że układ może być stosowany jedynie w monitorach tętna i nie nadaje się do użycia w konstrukcji przenośnych pulsoksymetrów. Co ciekawe, producent w nocie katalogowej nie podaje explicite natywnej rozdzielczości przetwornika – wiadomo jedynie, że maksymalna zawartość rejestru wyjściowego to 3650, a słowo wyjściowe ma długość 16 bitów.

Rysunek 10. Widok obudowy optycznego czujnika tętna BH1790GLC firmy Rohm Semiconductor

Podsumowanie

Rynki urządzeń medycznych oraz ubieralnych gadżetów sportowych spotykają się w jednym, wspólnym punkcie. Fotopletyzmografia, znana od kilkudziesięciu lat, jest obecnie podstawową metodą detekcji szybkości tętna (HR – heart rate) i w postaci pulsoksymetrii, saturacji krwi tętniczej. Układy AFE, zaprezentowane w tym artykule, pozwalają na relatywnie tanią i, z pewnością, prostą implementację podstawowych pomiarów PGG i SpO2, wspierając konstruktorów oraz programistów wbudowanymi elementami optoelektronicznymi, funkcjami automatycznej diagnostyki oraz automatycznej redukcji fundamentalnych artefaktów. Reszta, jak zawsze należy już do programisty, gdyż warto pamiętać, że sama akwizycja to dopiero początek działania biomedycznych urządzeń pomiarowych.

inż. Przemysław Musz, EP

[1] Złotym standardem metody referencyjnej jest badanie laboratoryjne – gazometria krwi tętniczej. W praktyce inżynierskiej zdecydowanie łatwiej jest jednak zastosować odpowiedni kalibrator lub, w warunkach początkowej ewaluacji, testować projektowane urządzenie pod kontrolą zwalidowanego klinicznie pulsoksymetru o wysokiej dokładności.
Artykuł ukazał się w
Elektronika Praktyczna
lipiec 2021
Elektronika Praktyczna Plus lipiec - grudzień 2012

Elektronika Praktyczna Plus

Monograficzne wydania specjalne

Elektronik listopad 2025

Elektronik

Magazyn elektroniki profesjonalnej

Raspberry Pi 2015

Raspberry Pi

Wykorzystaj wszystkie możliwości wyjątkowego minikomputera

Świat Radio listopad - grudzień 2025

Świat Radio

Magazyn krótkofalowców i amatorów CB

Automatyka, Podzespoły, Aplikacje listopad - grudzień 2025

Automatyka, Podzespoły, Aplikacje

Technika i rynek systemów automatyki

Elektronika Praktyczna listopad 2025

Elektronika Praktyczna

Międzynarodowy magazyn elektroników konstruktorów

Elektronika dla Wszystkich grudzień 2025

Elektronika dla Wszystkich

Interesująca elektronika dla pasjonatów