Proste urządzenie do testowania akumulatorów

Proste urządzenie do testowania akumulatorów

Elektronik, pracując w swoim warsztacie, często napotyka problem zmierzenia jakiegoś nietypowego parametru, dla którego niezbędny jest mniej lub bardziej specjalistyczny przyrząd. Chodzi o przypadki, w których nie wystarczy skorzystać z takich przyrządów jak miernik uniwersalny, oscyloskop, analizator widma, częstościomierz itp. Jedynym rozwiązaniem pozostaje budowa własnego narzędzia. Często okazuje się, że narzędzia wykonane „domowym przemysłem” z co najmniej zadowalającym efektem sprawdzają się w praktyce. Dzięki nim unikamy konieczności kupowania drogich przyrządów firmowych, płacąc krocie za samą markę.

W ostatnich latach bardzo rozpowszechniły się wszelkiego rodzaju czujniki MEMS, które są instalowane w sprzęcie powszechnego użytku, takim jak smartfony, zegarki, tablety itp. Przy zastosowaniu względnie prostej elektroniki i oprogramowania umożliwiają one dokonywanie takich pomiarów, jak przebyta (pieszo) droga, obliczenie liczby kroków, zużycie energii, szybkość marszu, czas marszu i postojów, ale też monitorowanie tętna i ciśnienia krwi, a nawet – co szczególnie ostatnio stało się cenną funkcjonalnością – pomiar natlenienia krwi. Można się jednak zastanawiać, czy są to pomiary wystarczająco dokładne np. z medycznego punktu widzenia, czy są to jedynie obarczone mniejszym lub większym błędem wskazania. Żaden użytkownik smartfonu czy smartwatcha nie zastanawia się nad jego dokładnością i bezkrytycznie akceptuje uzyskiwane z niego wyniki. Bo jakie mogą być konsekwencje pomiaru przebytej wspólnie przez jakąś grupę turystów drogi, gdy u celu okaże się, że jeden przeszedł 8750 metrów, a drugi depcząc mu po piętach, przeszedł 9236 metrów? Żadne.

Problem do rozwiązania

Naszym zadaniem jest dobór akumulatora do pewnego urządzenia mobilnego. Na podstawie obserwacji i pomiarów wiemy, że urządzenie to pobiera mniej więcej stały prąd o natężeniu 50 mA. Musimy więc opracować układ do zdejmowania charakterystyki rozładowywania akumulatora przy utrzymywaniu stałego prądu w czasie całego procesu. Będzie to odpowiedni adapter, który wraz z ewentualnymi innymi przyrządami umożliwi wykonanie takiego pomiaru bez względu na technologię wykonania akumulatora. Z uwagi na dużą popularność akumulatorów litowo-polimerowych dokonamy kilku prób z użyciem akumulatorów tego typu. Charakterystyka rozładowania pozwoli określić ewentualną przydatność danego akumulatora w projektowanym urządzeniu. I tu wracamy do kwestii omawianej wcześniej. Nie musimy budować superprecyzyjnej aparatury. Wystarczy, że badany parametr będziemy mogli oszacować ze względnie dobrą dokładnością. Ważna jest natomiast jak najdalej posunięta prostota układu, tak aby nie tracić nadmiernie czasu na konstruowanie i montaż samego adaptera. Istotna jest ponadto minimalizacja kosztów. Zgodnie z założeniem zastosujemy dodatkowo inne dostępne pod ręką urządzenia. Są to: zestaw pomiarowy Analog Discovery 2 i niemal dowolny cyfrowy miernik uniwersalny.

Opis konstrukcji

Adapter będzie pełnił funkcję sterowanego źródła prądowego. W założeniu oprócz możliwości regulacji wydajności powinno być możliwe również wymuszanie prądu o dowolnym kształcie. Warunek ten jest łatwy do spełnienia, jeśli źródło będzie sterowane np. z generatora arbitralnego Analog Discovery 2. Mamy możliwość wybrania w nim m.in. sygnału DC. Ten rodzaj sterowania wybierzemy, jeśli zechcemy wymuszać obciążenie akumulatora prądem stałym. Ciekawą opcją może być ponadto wymuszenie dowolnie zaprogramowanym, własnym przebiegiem imitującym np. pracę jakiegoś urządzenia zasilanego z akumulatora. Wcześniej oczywiście taki przebieg trzeba zarejestrować, co przy zastosowaniu loggera Analog Discovery 2 jest równie proste.

Skoro jednak dysponujemy tak uniwersalnym narzędziem, to nasuwa się pytanie, po co konstruować jeszcze jakiś dodatkowy adapter? Odpowiedź jest prosta. Generator arbitralny ma zbyt małą obciążalność w stosunku do naszych potrzeb. Nie można przecież wykluczyć, że będziemy badać rozładowywanie akumulatora prądem rzędu nawet setek miliamperów.

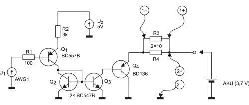
Rysunek 1. Schemat adaptera do pomiaru prądu rozładowania akumulatora

Pierwszym krokiem projektowania źródła prądowego jest wybór konfiguracji. Wydaje się, że dobrym rozwiązaniem powinno być tzw. lustro prądowe (rysunek 1). Zasadnicze źródło prądowe tworzy tranzystor Q1 wraz z rezystorami R1, R2 i generatorem arbitralnym (AWG1). Tranzystor Q1 jest zasilany z zasilacza napięcia stałego +5 V. W praktyce jest to sekcja dodatniego napięcia zasilacza Analog Discovery 2.

Wydajność źródła prądowego (ICQ1) zbudowanego na tranzystorze Q1 jest równa:

 (1)

gdzie:
UZ – napięcie zasilania +5 V,
U1 – napięcie sterujące z generatora arbitralnego,
UBEP – napięcie baza-emiter przewodzącego tranzystora,
β – wzmocnienie prądowe tranzystora Q1.

Jak widać, wydajność prądowa źródła może być łatwo zmieniana przez zmianę napięcia U1. Wystarczającym inżynierskim założeniem jest niezmienność parametrów UBEP i β. Wówczas wydajność prądowa jest liniową funkcją napięcia sterującego U1.

Z kolei przy założeniu, że charakterystyki wejściowe tranzystorów Q2 i Q3 są jednakowe (są to tranzystory tego samego typu), prąd kolektora tranzystora Q3 jest równy prądowi kolektora tranzystora Q2, a ten przy odpowiednio dużym współczynniku wzmocnienia prądowego jest równy prądowi kolektora Q1. Sporo tu założeń, ale stosując współczesne elementy, wszystkie są z inżynierską dokładnością spełnione.

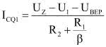
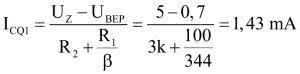
No dobrze, ale uważny Czytelnik zapewne zauważył, że maksymalny prąd, jaki może popłynąć z kolektora tranzystora Q1 odpowiadający napięciu U1=0, jest równy:

To zaledwie 1,43 mA, podczas gdy planowaliśmy prąd rozładowujący rzędu pięćdziesięciu, a nawet setek miliamperów. Odpowiednie wzmocnienie prądowe zapewnia dodatkowy tranzystor Q4 dodany do lustra prądowego. Poprawia on ponadto separację obciążenia (akumulatora) od lustra prądowego.

Pomiar prądu

Ważnym, żeby nie powiedzieć fundamentalnym, zadaniem projektowanego adaptera jest pomiar prądu rozładowywania akumulatora. Zagadnienie jest o tyle istotne, że musi być zapewniona możliwie duża dokładność przy jednoczesnej minimalizacji ingerencji układu pomiarowego w proces rozładowywania akumulatora.

Jesteśmy w dobrej sytuacji, gdyż wejście pomiarowe Analog Discovery 2 może pracować w trybie symetrycznym. Oznacza to, że nie jest konieczne dołączanie jednej końcówki pomiarowej każdego kanału do masy układu. Do pomiaru natężenia prądu zastosujemy więc zwykły rezystor dołączony do akumulatora, tak jak to zostało pokazane na rysunku 1. Wejście 1+ dołączymy do rezystora od strony akumulatora, a wejście 1– do drugiej końcówki rezystora. Rezystancja pomiarowa powinna być na tyle mała, aby spadek napięcia na rezystorze przy maksymalnym założonym prądzie rozładowania nie przekroczył minimalnego napięcia akumulatora. Rezystor 5 Ω powinien spełnić to ograniczenie. Spadek napięcia na nim przy prądzie 300 mA jest równy 1,5 V, a do takiego napięcia akumulator nie powinien się rozładować. Należy jednak zwrócić uwagę na wydzielaną moc. Przy prądzie 300 mA byłaby ona równa:

Tymczasem okazało się, że w szufladzie są tylko rezystory 0,25 Ω. W układzie pomiarowym zastosowano więc dwa rezystory 10 Ω połączone równolegle.

Wejście drugiego kanału pomiarowego Analog Discovery 2, tym razem już asymetryczne, dołączamy do plusa akumulatora, co umożliwi monitorowanie jego napięcia.

Oszacujmy jeszcze, jakie powinno być napięcie ustawione w generatorze arbitralnym, aby uzyskać prąd rozładowywania równy 50 mA:

Warto takie napięcie ustawić wstępnie, przed dołączeniem akumulatora, aby już od początku pomiaru zapewnić przynajmniej w przybliżeniu wymagany prąd akumulatora.

Symulacja

Zanim zmontujemy i uruchomimy układ, sprawdźmy w symulacji, czy obrana idea ma szanse działania w układzie rzeczywistym. Do realizacji adaptera zastosujemy tranzystory BC557B (PNP), BC547B (NPN). Tranzystor Q4 musi mieć większą moc i prąd kolektora – wyjmuję z szuflady BD136. Modelu tego tranzystora nie ma w standardowej bibliotece symulatora LTspice, ale nietrudno go znaleźć w Internecie. Model umieszczono bezpośrednio na schemacie. Jest to jedna z najprostszych metod symulacji z zastosowaniem modeli firm trzecich.

Rysunek 2. Charakterystyka rozładowania akumulatora uzyskana w symulatorze LTspice

Wybieramy symulację DC sweep. Tym samym uzyskamy charakterystykę regulacji prądu rozładowania akumulatora (rysunek 2). Napięcie źródła sterującego (V1) zmienia się liniowo od 5 V do 0. Jak można było przypuszczać, aby popłynął prąd kolektora Q1, konieczne jest obniżenie napięcia co najmniej o napięcie przewodzenia UBEP tranzystora, czyli o ok. 0,7 V. Dalej prąd płynący z akumulatora narasta mniej więcej liniowo wraz ze zmniejszaniem napięcia sterującego U1. Jak widać, elementy użyte w adapterze umożliwiają regulację prądu rozładowywania akumulatora do mniej więcej 220 mA. Jest to trochę mniej, niż zakładaliśmy, ale i tak raczej takiego przypadku nie będziemy badać. Sprawdźmy jeszcze w symulacji, jakie napięcie U1 powinno być ustawione, aby wymusić prąd akumulatora równy 50 mA. Okazuje się, że jest ono równe 3,53 V (rysunek 2).

Pomiary układu rzeczywistego

Pozytywny wynik symulacji motywuje do zmontowania układu. Pierwotnie zakładałem zastosowanie płytki stykowej, ale z praktyki wiem, że często ich jakość, zwłaszcza tych tańszych, nie jest najwyższa i mogłoby to być przyczyną ewentualnych problemów. Rezystancja styków często jest równa „grube” ułamki oma, co przy przyjętej rezystancji rezystora do pomiaru prądu równej 5 Ω mogłoby powodować duże, a w dodatku trudne do oszacowania błędy. Dlatego cały układ został polutowany na płytce prototypowej. Wszystko już prawie gotowe. Należy jeszcze upewnić się, czy akumulator jest w pełni naładowany. Do tego zagadnienia jeszcze wrócimy w dalszej części artykułu.

Proces rozładowywania akumulatora będziemy śledzić za pomocą narzędzia logger Analog Discovery 2. Prąd akumulatora jest mierzony za pośrednictwem 1. kanału pomiarowego. Po uruchomieniu tego narzędzia domyślnie jest uruchamianych 6 funkcji pomiarowych. Na nasze potrzeby konieczne jest zmodyfikowanie np. funkcji pierwszej.

Standardowo mierzy ona napięcie DC z 1. kanału. Po dwukrotnym kliknięciu lewym przyciskiem myszki na nawę funkcji zostaje otwarte okno, w którym można dokonać zmian. Pamiętając, że rezystor pomiaru prądu ma oporność 5 Ω, wpisujemy C1DC/5. Zmieniamy ponadto jednostkę z „V” na „A”. Ustalamy jeszcze zakres wartości wyświetlanych na wykresie, co jest możliwe po kliknięciu na trybik widoczny przy funkcji. Ustalamy „Top”=100 mA i „Bottom”=0. Jak pamiętamy, kanał 2. mierzy napięcie akumulatora. Ustalamy dla niego zakres 0...5 V.

Testowany akumulator ma pojemność znamionową równą 320 mAh. Przy prądzie rozładowywania równym 50 mA czas rozładowania powinien być rzędu 6...7 godzin. Przyjmujemy 7 godzin – w polu „History” wpisujemy wartość 7hr. Będziemy ponadto odświeżać wykres co jedną sekundę – w polu „Update” wpisujemy 1. Wszystko jest już gotowe do pomiaru. Nie zapomnijmy tylko uaktywnić sekcji dodatniego napięcia zasilającego i centralnego włączenia zasilacza. Naciskamy przycisk Run, korygujemy ewentualnie napięcie DC z generatora AWG1 tak, aby prąd rozładowania był równy 50 mA i cierpliwie czekamy 7 godzin na zakończenie rejestracji.

Wykres jest tworzony na żywo od prawej strony ekranu do lewej. Musimy zadbać o to, by nie przegapić czasu zakończenia pomiaru, gdyż możemy bezpowrotnie stracić początkowy fragment krzywej rozładowania.

Rysunek 3. Charakterystyka rozładowania testowanego akumulatora 320 mAh

Na rysunku 3 został pokazany wykres rozładowania testowanego akumulatora 320 mAh. Napięcie nieobciążonego akumulatora po naładowaniu jest równe ok. 4,134 V. Po dołączeniu obciążenia spada ono do ok. 4,093 V. Krzywa rozładowania opada początkowo dość wolno aż do momentu, w którym napięcie akumulatora osiągnie wartość ok. 3,7 V. Teraz następuje faza, w której zmiany napięcia są prawie niezauważalne. Po ok. 17000 sekundach (4 godziny 40 minut) obserwujemy dość szybkie dalsze zmniejszanie się napięcia akumulatora. W chwili przekroczenia 2,825 V elektronika zabezpieczająca ogniwa odłącza je od zacisków akumulatora. Od tego momentu rejestrujemy zerowe napięcie i zerowy prąd akumulatora. Zasadniczo przyjmuje się, że dla akumulatora litowo-polimerowego krytyczne jest napięcie 2,5 V. Jak widać, w testowanym egzemplarzu próg był ustawiony nieco wyżej.

W czasie badania były rejestrowane jednocześnie dwa parametry: napięcie akumulatora i prąd rozładowania. Jak widać z rysunku 3, prąd rozładowania nieznacznie zmalał w końcowej fazie procesu o ok. 5 mA. Prawdopodobnie odpowiada za to wzrost rezystancji wewnętrznej akumulatora i wzrost spadku napięcia na rezystorze pomiarowym przy jednoczesnym ograniczeniu napięcia zasilającego. Utrzymanie stałego prądu wymagałoby wyższego napięcia zasilającego tranzystory Q1 i Q2.

Obliczenie pojemności akumulatora

Z wykresu pokazanego na rysunku 3 możemy łatwo obliczyć pojemność akumulatora. Jest to po prostu pole pod krzywą rozładowania. Oczywiście do obliczeń przyjmiemy pewne uproszczenia. Zakładamy, że proces ładowania składa się z dwóch faz. W pierwszej akumulator jest rozładowywany prądem stałym, który w naszym eksperymencie był równy 50 mA. Faza ta trwała 18922 sekundy (5 godz. 15 min.), co odpowiada pojemności 18922·50/3600=263 mAh. W drugiej fazie trwającej 5415 sekund (1 godz. 30 min) prąd zmniejszał się liniowo z 50 mA do 45 mA. Możemy więc przyjąć, że do obliczenia pojemności akumulatora w tej fazie należy policzyć pole trapezu: (50+45)·5415/2/3600=71 mAh. Całkowita pojemność akumulatora jest równa sumie tych dwóch wartości, czyli 334 mAh. Pamiętajmy jednak, że ze względu na liczne założenia parametr ten należy traktować tylko orientacyjnie. Notabene okazało się, że uzyskaliśmy pojemność nieznacznie większą od znamionowej (320 mAh).

Z ustaleniem pojemności mamy jednak pewien dylemat. Badany akumulator miał wbudowany układ zabezpieczający odłączający od niego obciążenie po spadku napięcia do wartości granicznej. Można uznać, że nawet gdybyśmy chcieli, nie jest możliwe „wyciśnięcie” z akumulatora jeszcze choćby 1 mAh. Nie wszystkie akumulatory jednak takie zabezpieczenie mają. Należy więc przyjąć jakiś warunek kończący pomiar. Z praktycznego punktu widzenia takim kryterium może być moment, w którym przestaje działać urządzenie zasilane z akumulatora. Załóżmy więc, że urządzenie to powinno być zasilane napięciem 3,3 V, do czego jest użyty stabilizator LDO, dla którego napięcie wejściowe powinno być wyższe od wyjściowego co najmniej o 0,2 V. Gdybyśmy w tym urządzeniu zastosowali badany akumulator, to zawsze część jego pojemności byłaby niewykorzystana. W takim przypadku użytkową pojemność akumulatora należy obliczać dla napięcia końcowego równego 3,5 V (rysunek 4). W naszym przypadku będzie ona równa: 20533·50/3600=285 mAh, a czas pracy przy prądzie 50 mAh wyniesie 5 godz. 42 min.

Rysunek 4. Obliczenie użytkowej pojemności akumulatora 320 mAh

Ładowanie

Ponieważ akumulator rozładował się do napięcia, przy którym nie jest już możliwa dalsza praca, musimy go naładować. Do tego celu użyłem prostej ładowarki, która była dostarczona do pewnego urządzenia zasilanego z akumulatora litowo-polimerowego (fotografia 1).

Fotografia 1. Ładowarka akumulatorów Li-Poly użyta do opisanego eksperymentu

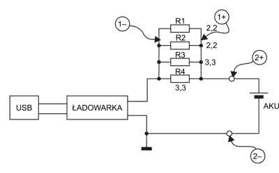
Algorytm ładowania akumulatorów litowo-jonowych czy litowo-polimerowych jest określony dość precyzyjnie. Sprawdźmy, jak jest realizowany w prostej ładowarce. W tym celu należy opracować prosty układ mierzący prąd ładowania i pozwalający monitorować napięcie na akumulatorze. Powinien on jednak w jak najmniejszym stopniu ingerować w proces ładowania, co oznacza, że zastosowany do pomiaru natężenia prądu rezystor powinien mieć jak najmniejszą rezystancję. Każda wtrącona do obwodu ładowania rezystancja może „mylić” ładowarkę. Ostatecznie rezystor pomiarowy składa się z połączonych ze sobą równolegle dwóch rezystorów 2,2 Ω i dwóch rezystorów 3,3 Ω (rysunek 5). Teoretycznie rezystancja zastępcza powinna być równa 0,66 Ω, ale zmierzona omomierzem była równa 0,7 Ω.

Rysunek 5. Schemat układu do pomiaru charakterystyki ładowania akumulatora

Rejestrację procesu ładowania prowadzimy tak jak poprzednio z użyciem loggera Analog Discovery 2. Zarejestrowany przebieg został pokazany na rysunku 6.

Rysunek 6. Charakterystyka ładowania akumulatora Li-Poly

Jak widać, ładowarka niezbyt dokładnie realizuje zalecany algorytm, który zakłada ładowanie prądem stałym w pierwszej fazie, a w drugiej utrzymywanie stałego napięcia (rysunek 7). W drugiej fazie prąd maleje wykładniczo. Wprawdzie podczas ładowania testowanego akumulatora widoczne jest jakieś wahnięcie prądu w początkowej fazie ładowania, ale trudno jest stwierdzić, jaka jest tego przyczyna, a zmierzona charakterystyka raczej nie przypomina zalecanej.

Rysunek 7. Zalecana charakterystyka ładowania akumulatora Li-Poly

Wnioski

Zaprezentowany tester akumulatorów z pewnością nie jest narzędziem profesjonalnym, ale nie było to założeniem projektu. Chodziło o zbudowanie takiego narzędzia, które może powstać w kilkanaście minut z elementów wyjętych z szuflady. Mimo swojej prostoty wyniki kilkakrotnie wykonanych pomiarów cechowały się dobrą powtarzalnością. Można więc uznać, że przyrząd spełniał oczekiwania. Warto zauważyć, że może on być również używany jako rozładowywarka akumulatorów. Należy tylko zwrócić uwagę na to, aby przy doborze prądu rozładowania nie przekroczyć dopuszczalnego prądu i mocy tranzystora. W urządzeniu modelowym zastosowano tranzystor BD136, ale bez większych problemów można go zamienić na inny o zbliżonych parametrach.

Jarosław Doliński, EP

Artykuł ukazał się w
Elektronika Praktyczna
wrzesień 2021
Elektronika Praktyczna Plus lipiec - grudzień 2012

Elektronika Praktyczna Plus

Monograficzne wydania specjalne

Elektronik listopad 2025

Elektronik

Magazyn elektroniki profesjonalnej

Raspberry Pi 2015

Raspberry Pi

Wykorzystaj wszystkie możliwości wyjątkowego minikomputera

Świat Radio listopad - grudzień 2025

Świat Radio

Magazyn krótkofalowców i amatorów CB

Automatyka, Podzespoły, Aplikacje listopad - grudzień 2025

Automatyka, Podzespoły, Aplikacje

Technika i rynek systemów automatyki

Elektronika Praktyczna listopad 2025

Elektronika Praktyczna

Międzynarodowy magazyn elektroników konstruktorów

Elektronika dla Wszystkich grudzień 2025

Elektronika dla Wszystkich

Interesująca elektronika dla pasjonatów