Przegląd metod regulacji jasności w zasilaczach LED MEAN WELL

Przegląd metod regulacji jasności w zasilaczach LED MEAN WELL

MEAN WELL od ponad 40 lat dostarcza niezawodne zasilacze. Od samego początku ich konstrukcja wynika ze zmieniających się potrzeb klientów na całym świecie. Na przestrzeni dziesięcioleci rozwinęły się nie tylko topologie układów przekształtnikowych, które są bazą urządzeń zasilających, ale dokonała się też cyfryzacja wynikająca z idei IoT 4.0.

Metody analogowe jeszcze kilka-kilkanaście lat temu szeroko stosowane i lubiane przez klientów powoli i nieubłagalnie odchodzą na bok. Wypierają je cyfrowe rozwiązania, komunikujące zasilacz ze sterownikiem. W zaprezentowanym artykule opisujemy metody regulacji jasności stosowane kiedyś i obecnie w zasilaczach MEAN WELL.

Rezystor

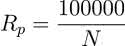
Najprostszym oraz zalecanym przez producenta rozwiązaniem do regulacji jasności świecenia diod LED jest dodatkowy potencjometr obrotowy 100 kΩ. Ta prosta i tania metoda jednak ma swoje ograniczenia. Jednym z nich jest równoczesne sterowanie kilkoma zasilaczami, wówczas wartość dobranego potencjometru powinna być obliczona zgodnie ze wzorem:

gdzie:

  • Rp – rezystancja potencjometru,
  • N – liczba podłączonych zasilaczy.

Kolejną kwestią są względy estetyczne i praktyczne – potencjometry nie występują w zbyt wielu opcjach kolorystycznych i montażowych. Warto również wspomnieć, że stosując potencjometr, użytkownik nie ma możliwości całkowitego odłączenia zasilacza od sieci, co skutkuje niewielkim, ale ciągłym poborem mocy.

Sygnały napięciowe 0...10/1...10 VDC

Zasada działania tego sposobu regulacji jest bardzo prosta. Za pomocą stałego napięcia z zakresu 1...10 V możemy możemy regulować moc wyjściową – 100% mocy wyjściowej zasilacza uzyskujemy przy podłączeniu napięcia 10 VDC, 10% mocy w przypadku napięcia 1 VDC. Dla napięcia z zakresu 0...1 VDC producent nie zdefiniował mocy wyjściowej zasilacza. Oznacza to, że układ taki może ograniczyć prąd wyjściowy na tyle, że podłączone diody nie będą świeciły w ogóle lub będą świeciły nieznacznie.

Analogicznie wygląda sytuacja dla sygnału 0...10 VDC – możemy uzyskać 100% mocy wyjściowej, gdy podano napięcie 10 VDC, 10% – dla 1 VDC oraz, dodatkowo, jeśli podłączono napięcie poniżej 0,57 V moc wyjściowa spadnie do zera. Będzie to oznaczało całkowite przygaszenie diod LED. Opisane zależności zestawiono w tabeli 1.

Sygnał PWM

Metoda Pulse Width Modulation umożliwia sterowanie mocą wyjściową zasilacza przy użyciu innego sterownika/regulatora elektronicznego wyposażonego w wyjście impulsowe PWM. Taką funkcjonalność oferuje np. Meanwell PWM-120 (fotografia 1). Należy pamiętać o dwóch podstawowych kryteriach, które muszą być spełnione. Pierwszym z nich jest częstotliwość sygnału napięciowego – w przypadku zasilaczy MEAN WELL powinna się ona zawierać w przedziale od 100 Hz do maksymalnie 3 kHz. Kolejną kwestią jest amplituda wynosząca 10 VDC.

Fotografia 1. Zasilacz PWM-120-24 z regulacją mocy wyjściowej m.in. poprzez sygnał PWM

Koniecznym jest również rozróżnienie dwóch kwestii – czym innym jest sterowanie zasilaczem za pomocą sygnału PWM, a zupełnie czymś innym jest zasilacz z wyjściem typu PWM. Niestety dosyć często klienci błędnie łączą oba te pojęcia. Zasilacz z wyjściem typu PWM ma przebieg prostokątny na wyjściu.

W związku z tym ma inne właściwości – np. do urządzenia o mocy maksymalnej 100 W możemy dostarczyć moc z zakresu 1...100 W, a efekt ściemniania nadal będzie płynny w całym zakresie regulacji. Niestety nie jest to takie łatwe w przypadku zasilaczy z regulacją prądu na wyjściu (wersje „B”, „AB”).

Push Dimming

Ściemnianie tą metodą polega na zastosowaniu dodatkowego przewodu sterującego oraz wyłącznika dzwonkowego. Krótkie wciśnięcie przycisku powoduje włączenie lub wyłączenie. Dłuższe natomiast rozjaśnienie lub ściemnienie. W przypadku stosowania tego typu rozwiązań konieczne jest wcześniejsze przygotowanie projektu instalacji oświetleniowej tak, aby uwzględniała ona konieczność zastosowania dodatkowego przewodu. Zasada działania jak i sama instalacja jest bardzo prosta. Przykładowe modele MEAN WELL obsługujące ten sposób regulacji to m.in.:

  • PWM-200DA2,
  • DAP-04,
  • LCM-20DA,
  • LCM-40DA (fotografia 2).
Fotografia 2. Zasilacz LCM-40DA z interfejsem DALI

Nacinanie fazy

Rozwiązanie to było dawniej bardzo popularne i dość szeroko stosowane, szczególnie gdy w użyciu znajdowały się tradycyjne żarówki z włóknem wolframowym. Ściemnianie za pomocą układu z triakiem działa na zasadzie sterowania fazowego, w którym moc dostarczana do obciążenia jest regulowana poprzez zmianę kąta nacięcia sinusoidy.

Aby zapewnić płynne i wydajne ściemnianie, rozwiązania bazujące na triaku są wyposażone w układ wykrywania przejścia przez zero – momentu, gdy sinusoida napięcia przecina tę wartość. Pozwala to na precyzyjną kontrolę załączenia triaka. W ten sposób możemy regulować wartość średnią napięcia za okres, a w rezultacie (przy obciążeniu rezystancyjnym) wartość mocy – jasność źródła światła.

Z biegiem lat i upowszechnieniem się technologii LED to rozwiązanie powoli zaczęło tracić na popularności. Podstawowy powód to współpraca głównie z wysoce energochłonnymi obciążeniami rezystancyjnymi. W ofercie MEAN WELL jedyną serią oferującą możliwość współpracy z tego rodzaju ściemniaczami jest PCD.

KNX

Te systemy cieszą się niesłabnącym zainteresowaniem zarówno w przypadku budynków biurowych, użyteczności publicznej, jak i prywatnych domów oraz mieszkań. Popularność ta jest spowodowana m.in. otwartością standardu. Na rynku dostępne są urządzenia ponad 500 różnych producentów oraz niemal 1400 certyfikowanych firm instalatorskich. Kupując system KNX klient ma pewność, że jego instalacja będzie wspierana przez lata, a każdy element, w razie awarii, będzie mógł zastąpić urządzeniem od innego producenta.

MEAN WELL ma w swoim portfolio gamę produktów KNX interesujących zarówno z punktu widzenia instalatora, jak i inwestora planującego zakup systemu. W ofercie możemy znaleźć m.in: zasilacze magistrali KNX, aktuatory czy też zasilacze LED KNX. Najciekawszą propozycją producenta w zakresie automatyki budynkowej są zasilacze LED ze zintegrowanym protokołem KNX. W ofercie dostępne są:

  • zasilacze stałonapięciowe serii PWM (PWM-60, PWM-120, PWM-200),
  • zasilacze stałoprądowe LCM (LCM-25KN, LCM-40KN, LCM-60KN).

Dzięki połączeniu zasilacza bezpośrednio z magistralą KNX możliwe jest pominięcie np. ściemniającego aktuatora lub pominięcie bramki KNX-DALI. Użytkownik oszczędza w ten sposób czas na konfiguracji zbędnego elementu oraz pieniądze, a system nie traci na funkcjonalności.
Zasilacze LED KNX mają takie same możliwości konfiguracyjne jak ściemniany aktuator KNX. Seria MEAN WELL PWM jest przeznaczona w szczególności do pasków LED. Dzięki sygnałowi PWM na wyjściu urządzenie zapewnia stałą barwę oraz pełną skalę regulacji natężenia niezależnie od wartości podłączonego obciążenia.

DALI/DALI2

Obecnie jest to standard szeroko stosowany w miejscach takich, jak centra handlowe, hotele, lotniska, stacje metra, wille czy też instalacje drogowe. W rzeczywistych zastosowaniach inżynierskich, w porównaniu z innymi protokołami oświetleniowymi czy systemami analogowymi, DALI dysponuje kilkoma ważnymi zaletami. Po pierwsze – warstwa fizyczna tj. okablowanie może przyjąć dowolną strukturę topologiczną (sieć, gwiazda, drzewo, linia) z wyjątkiem pętli. Pozwala to na zastosowanie podobnego przewodu zarówno do zasilania podłączonych urządzeń oraz jako linii sygnałowej. Dzięki temu jest ona prosta w instalacji, rozbudowie, jak i późniejszej eksploatacji czy też wykrywaniu błędów. Przewód wymaga 2 żył najczęściej o przekroju 0,1...1,5 mm², w zależności od wymaganej długości magistrali:

  • 0,1 mm² – max. długość to 31 m, i odpowiednio:
  • 0,5 mm² – 112 m,
  • 0,75 mm² – 168 m,
  • 1 mm² – 224 m,
  • 1,5 mm² – 300 m.

Kolejną z istotnych zalet jest niewątpliwa elastyczność systemu. Pozwalająca m.in. na tworzenie bardzo złożonych systemów z setkami urządzeń wykonawczych, jak i bardzo prostych, złożonych ledwie z kilku zasilaczy i sterowników (fotografia 2). Dzięki takiemu rozwiązaniu możliwe jest stosowanie magistrali DALI, zarówno przy niewielkich inwestycjach konsumenckich, jak i dużych inwestycjach typu stadion czy hotel.

Technicznie magistrala DALI pozwala obsłużyć do 64 Adresów, 16 grup oraz 16 scen. Oczywiście liczby te można odpowiednio zwiększyć stosując inne specjalizowane rozwiązania. Napięcie magistrali powinno mieścić się w zakresie około 12...20,5 VDC, z zastrzeżeniem, że typowo powinno mieć wartość około 16 VDC, przy wydajności prądowej zasilacza na poziomie przynajmniej 240 mA. Chociaż obecnie oferowane zasilacze tej magistrali mogą pracować ze znacznie wyższą wydajnością prądową i mogą obsłużyć bardzo złożone systemy (np. KNX-20E-640, lub KNX-40E-1280).

Przy instalacji systemu warto sprawdzić czy spadek napięcia w najodleglejszym punkcie linii nie przekracza 2 VDC względem zasilania, tak by uniknąć ewentualnych błędów. Co prawda prędkość transmisji 1200 bps może nie jest najwyższa, jednak do celów oświetleniowych wystarczająca.

Wśród licznych zalet możemy również wyróżnić kompatybilność wsteczną – tj. urządzenia zgodnie z DALI mogą również pracować w standardzie DALI-2 i na odwrót.

Przykładowy system bazujący na magistrali DALI pokazano na rysunku 1.

Rysunek 1. Przykładowy system bazujący na magistrali DALI

Inne rozwiązania

W ofercie MEAN WELL możemy również znaleźć kilka dość specyficznych, nieco mniej popularnych opcji sterowania. Jedną z nich jest m.in. programator czasowy związany z modelami w wersji D2, czy wersje korzystającą z Bluetooth (Casambi). Modele w wersji D2 wyposażone są w dodatkową parę przewodów umożliwiających rekonfigurację parametrów pracy zasilacza. Zasilacze programowalne ELG-C-D2 (fotografia 3) po podłączaniu programatora SDP-001 i uruchomieniu oprogramowania konfiguracyjnego umożliwiają regulację prądu wyjściowego w zakresie 10...100% wartości znamionowej zasilacza. Jest to szczególnie przydatne w przypadku niestandardowych wartości prądu wymaganego przez dołączony moduł LED.

Fotografia 3. Zasilacz programowalny ELG-75-C350D2

Kolejną dostępną funkcją jest kompensacja spadku wartości strumienia świetlnego diod LED w trakcie ich cyklu życia (Constant Light Output – CLO). Zapobiega to widocznej dla użytkownika różnicy w jasności oświetlenia w miarę upływu czasu. Oprogramowanie pozwala także na zdefiniowanie tzw. profili ściemniania, w których można dokonywać regulacji:

  • poziomu oświetlenia,
  • godziny załączenia,
  • czasu trwania.

Dodatkowo producent przewidział możliwość regulacji czasu przejścia między zadanymi poziomami oświetlenia (Fade Time) oraz opcję powiadamiania użytkownika o zbliżającym się upływie czasu życia diod LED (Lifetime).

Podsumowanie

Na przestrzeni lat MEAN WELL nieustannie rozszerza możliwości swoich zasilaczy dostosowując je do coraz bardziej zmieniającego się rynku klienta. Natomiast sam rynek nieuchronnie przechodzi małą rewolucję – z epoki analogowej do coraz bardziej powszechnie stosowanej techniki cyfrowej. Ma to związek z coraz większą cyfryzacją otaczających nas urządzeń, jak i dążeniem klientów do zdalnej kontroli urządzeń znajdujących się w domu. Zadanie to staje się o wiele prostsze i łatwiejsze do implementacji z nowoczesnymi sterownikami. Zwłaszcza, jeśli zastosujemy zasilacze z wbudowanymi modułami komunikacyjnymi np. DALI czy KNX. Należałoby zatem przypuszczać, że na przestrzeni najbliższych lat wzrośnie w naszym kraju potrzeba dostarczania tego typu rozwiązań. Zasilacze MEAN WELL można znaleźć w ofercie autoryzowanego dystrybutora tej marki firmy Elmark Automatyka.

Robert Augustynowicz
Elmark Automatyka S.A
robert.augustynowicz@elmark.com.pl

Artykuł ukazał się w
Elektronika Praktyczna
lipiec 2023
Elektronika Praktyczna Plus lipiec - grudzień 2012

Elektronika Praktyczna Plus

Monograficzne wydania specjalne

Elektronik listopad 2025

Elektronik

Magazyn elektroniki profesjonalnej

Raspberry Pi 2015

Raspberry Pi

Wykorzystaj wszystkie możliwości wyjątkowego minikomputera

Świat Radio listopad - grudzień 2025

Świat Radio

Magazyn krótkofalowców i amatorów CB

Automatyka, Podzespoły, Aplikacje listopad - grudzień 2025

Automatyka, Podzespoły, Aplikacje

Technika i rynek systemów automatyki

Elektronika Praktyczna listopad 2025

Elektronika Praktyczna

Międzynarodowy magazyn elektroników konstruktorów

Elektronika dla Wszystkich grudzień 2025

Elektronika dla Wszystkich

Interesująca elektronika dla pasjonatów