Pomiar pojemności i stopnia naładowania akumulatorów

Pomiar pojemności i stopnia naładowania akumulatorów
Pobierz PDF Download icon

Obecnie wiele urządzeń dostępnych na rynku posiada wbudowane akumulatory – smartfony, przenośne urządzenia medyczne, odtwarzacze multimedialne, opaski fitness, elektronarzędzia – przykłady można by mnożyć w nieskończoność. Wygoda użytkowania tych systemów wymaga, by były one wyposażone w jakąś metodę szacowania poziomu naładowania zastosowanych ogniw. Niestety, nie jest to tak proste, jak mogłoby się wydawać, m.in. z uwagi na szeroką gamę dostępnych obecnie ogniw.

Od czasu pojawienia się telefonów komórkowych i innych popularnych urządzeń mobilnych (laptopy, tablety, odtwarzacze multimedialne etc.) akumulatory i związane z nimi wskaźniki poziomu naładowania stały się integralną częścią informacji w międzyludzkiej komunikacji. Są dla nas tak samo ważne, jak od 100 lat wskaźniki poziomu paliwa w samochodach. Kierowcy nie tolerują niedokładnych wskaźników zużycia paliwa, ale już użytkownicy telefonów komórkowych często nie oczekują wysokiej dokładności czy rozdzielczości pomiaru poziomu naładowania ogniwa. Nic jednak nie stoi na przeszkodzie, by systemy te były precyzyjne.

W poniższym artykule omówiono systemy pomiaru poziomu naładowania różnego rodzaju akumulatorów oraz różne problemy uniemożliwiające dokładne mierzenie poziomu naładowania ogniw. W artykule opisano, w jaki sposób można stosować systemy dokładnego pomiaru zużycia energii z akumulatora we własnych aplikacjach zasilanych bateryjnie.

Rodzaje ogniw

W systemach elektronicznych stosuje się wiele różnych rodzajów akumulatorów, różniących się „chemią”, czyli zastosowanymi materiałami elektrod i elektrolitem. W zależności od tego, z jakich materiałów składa się ogniwo, zmieniają się parametry pracy ogniwa, m. in. zakres napięć pracy, a także inne dodatkowe cechy, wynikające ze specyfiki danego systemu elektrochemicznego.

Akumulatory litowo-jonowe są produkowane masowo dopiero od około 1997 roku, po rozwiązaniu różnych problemów technicznych podczas ich opracowywania. Ponieważ oferują najwyższą gęstość energii pod względem objętości i masy (rysunek 1), są stosowane w różnych systemach, od telefonów komórkowych po samochody elektryczne.

Rysunek 1. Gęstość energii w różnego rodzaju ogniwach elektrolitycznych [2]

Ogniwa litowe mają szereg specyficznych cech, a jedną z najistotniejszych jest to, że wymagają szeregu mechanizmów bezpieczeństwa. System musi być w stanie zapobiec przeładowaniu, zbyt głębokiemu rozładowaniu lub odwrotnemu podłączeniu akumulatora do źródła zasilania, ponieważ wysoce reaktywny lit może stanowić zagrożenie – ogniwo może zapalić się lub nawet wybuchnąć.

Anoda akumulatora litowo-jonowego wykonana jest na ogół z grafitu, a katoda wykonana jest z tlenków metali z dodatkiem litu. Metal ten dodawany jest do materiału katody tak, by minimalizować zakłócenie struktury sieci krystalicznej tlenku metalu, z którego wykonana jest ta elektroda. Proces ten nazywa się interkalacją. Ponieważ lit silnie reaguje z wodą, akumulatory litowe są zbudowane z wykorzystaniem innych niż płynne elektrolitów, najczęściej organicznych soli litu. Podczas ładowania akumulatora atomy litu są jonizowane na katodzie i transportowane przez elektrolit do anody. Gdy czerpie się prąd z ogniwa, zachodzi proces odwrotny.

Istotne parametry ogniwa i ich ewolucja w czasie

Podstawowym parametrem każdego ogniwa jest napięcie pracy. W przypadku większości akumulatorów napięcie na ogniwie spada, wraz z rozładowywaniem się. Nominalne napięcie typowego ogniwa litowo-jonowego wynosi 3,6 V, jednakże przy pełnym naładowaniu wynosi ono 4,2 V, a przy pełnym rozładowaniu spaść może nawet do 2,5 V [3], ale przyjmuje się, że poziom 3,0 V jest najniższym bezpiecznym napięciem [4]. Wiele innych parametrów również zmienia się w czasie pracy ogniwa – krótkookresowo (w czasie cyklu ładowania i rozładowania) oraz długookresowo (w czasie wielu cykli, czy długiego przechowywania akumulatora). Należy mieć świadomość tych zmian, konstruując układ do monitorowania stopnia naładowania ogniw w systemie elektronicznym.

Pojemność akumulatora

Najważniejszą cechą akumulatora (oprócz znamionowego napięcia) jest jego pojemność (C). Określana jest w amperogodzinach (Ah) – jest to wartość zdefiniowana jako maksymalna ilość ładunku, jaką akumulator może dostarczyć do momentu rozładowania. Pojemność ogniwa producent podaje dla określonego zestawu warunków, ale zmienia się ona stale od momentu zejścia akumulatora z linii produkcyjnej.

Na rysunku 2 pokazano zależności parametrów ogniw litowo-jonowych od temperatury. Górna krzywa pokazuje pojemność naładowanego akumulatora w różnych temperaturach. Akumulator może wytrzymać około 20% więcej ładunku w wyższej temperaturze niż w temperaturze –20°C i mniej. Dolne krzywe pokazują, że temperatura ma istotny wpływ na dostępny ładunek podczas rozładowywania. Wykres pokazuje również, że w pełni naładowany akumulator rozładowany dwoma różnymi prądami (0,2 C i 1,0 C, gdzie C to wartość prądu, który rozładuje ogniwo w jedną godzinę – na przykład dla ogniwa 120 mAh, prąd C=120 mA), aż do poziomu 2,5 V, wykazuje odmienne zachowanie.

Zachowanie ogniwa zależy nie tylko od temperatury, ale także prądu rozładowywania. Przy danej temperaturze i szybkości rozładowania, pojemność ogniwa litowego wynika z różnicy między górną i dolną krzywą na rysunku 2. Tak więc, pojemność ogniw litowych jest znacznie mniejsza w niskich temperaturach lub przy dużym prądzie rozładowania (lub przez oba te czynniki naraz).

Rysunek 2. Wpływ temperatury pracy na wypadkową pojemność ogniw litowo-jonowych [2]

Po rozładowaniu wysokim prądem lub w niskiej temperaturze akumulator nadal ma znaczny ładunek resztkowy, który można następnie wykorzystać, ale tylko przy niskim prądzie (w tej samej temperaturze) lub w wyższej temperaturze.

Zjawiska te wielu z nas obserwuje na co dzień, szczególnie zimą. Na przykład telefon komórkowy na zimnie może rozładować się zupełnie, ale w momencie, gdy wrócimy z nim do ciepłego pomieszczenia i ogniwo się rozgrzeje do temperatury pokojowej, telefon wróci do stanu używalności.

Samorozładowanie

Akumulatory tracą ładunek w wyniku niepożądanych reakcji chemicznych, a także przez obecność zanieczyszczeń w elektrolicie. Procesy te trwają cały czas, nieprzerwanie, niezależnie od tego czy ogniwo jest w danym momencie eksploatowane czy też nie. Zjawiska te składają się na tzw. samorozładowanie ogniwa. Typowe wartości samorozładowania, w temperaturze pokojowej dla różnych rodzajów akumulatorów pokazano w tabeli 1.

Tabela 1. Współczynnik samorozładowania dla popularnych typów akumulatorów [5]
Rodzaj ogniwa Poziom samorozładowania (na miesiąc)
Kwasowo-ołowiowe 4…6%
Niklowo-Kadmowe 15…30%
Niklowo-wodorkowe 30%a
Litowo-jonowe 2…3%
Litowo-polimerowe 5%
a – Istnieją jednak specjalne ogniwa NiMH o niskim prądzie samorozładowania, gdzie poziom tego parametru jest nie większy niż 0,25% [6]

Reakcje chemiczne, biorące udział w samorozładowaniu, są napędzane termicznie, więc samorozładowanie jest wysoce zależne od temperatury (rysunek 3). Samorozładowanie można modelować dla różnych typów akumulatorów, stosując równoległy opór dla prądów upływowych z ogniwa, co dobrze oddaje makroskopowy mechanizm tego zjawiska [2].

Rysunek 3. Krzywa samorozładowania typowych akumulatorów litowo-jonowych [2]

Starzenie się

Pojemność akumulatora zmniejsza się wraz ze zwiększaniem się liczby cykli ładowania i rozładowania (rysunek 4). Spadek ten jest określany ilościowo, jako okres trwałości użytkowej, zdefiniowany, jako liczba cykli ładowania/rozładowania, które akumulator może zapewnić, zanim jego pojemność spadnie do poziomu 80% wartości początkowej. Żywotność typowego ogniwa litowego wynosi od 300 do 500 cykli [2].

Rysunek 4. Krzywa starzenia typowego ogniwa litowo-jonowego [2]

Baterie litowe podlegają również starzeniu związanemu z czasem, niezależnie od ilości cyklów pracy akumulatora. Powoduje to, że ich pojemność spada cały czas od momentu opuszczenia fabryki przez akumulator, niezależnie od jego użytkowania. Efekt ten może spowodować, że w pełni naładowany akumulator litowo-jonowy straci nawet do 20% pojemności rocznie, przy przechowywaniu go w temperaturze 25°C i 35% w temperaturze 40°C [2]. W przypadku częściowo naładowanych akumulatorów proces starzenia następuje wolniej: w przypadku akumulatora naładowanego do około 40% ładunkiem resztkowym, strata pojemności wynosi około 4% jego początkowej pojemności na rok, przy magazynowaniu ogniwa w warunkach normalnych. Wraz ze wzrostem temperatury, prędkość spadku pojemności ogniwa wzrasta [7].

Krzywe rozładowania

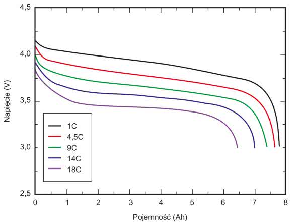
Charakterystyczna krzywa rozładowania akumulatora jest określona w karcie katalogowej, dla danych ogniw dla określonych warunków. Jednym z czynników wpływających na napięcie akumulatora jest prąd obciążenia, jak pokazano na rysunku 5. Prąd obciążenia nie może być symulowany w modelu za pomocą prostej rezystancji obciążenia, ponieważ rezystancja ta zależy również od innych parametrów, takich jak wiek akumulatora i poziom jego naładowania.

Rysunek 5. Krzywa rozładowania akumulatora litowo-jonowego [2]

Wtórne ogniwa litowe (np. akumulatory litowo-jonowe) wykazują stosunkowo płaskie krzywe rozładowania w porównaniu z ogniwami pierwotnymi opartymi na tym pierwiastku. Projektantom systemów elektronicznych jest to bardzo na rękę, ponieważ dostępne napięcie zasilające jest względnie stałe w szerokim zakresie stanu naładowania akumulatora. Jednak z drugiej strony, zmusza to do znalezienia innego sposobu na monitorowanie poziomu naładowania. Monitorowanie oparte wyłącznie na napięciu prawdopodobnie nie zapewni dokładności lepszej niż 25% [2].

Sposoby pomiaru poziomu naładowania

Stopień naładowania

Oznaczany (SOC), definiuje stan dostępnej energii w akumulatorze i zwykle wyrażany jest w procentach. Ponieważ dostępna ilość energii zależy od różnych parametrów: prądu ładowania, temperatury, wieku ogniwa etc. najczęściej, zamiast SOC definiuje się prostszy do zmierzenia parametr – RSOC (relatywny stan naładowania). RSOC zawsze obejmuje zakres od 0% do 100%. Dla naładowanego akumulatora wynosi zawsze 100%, a w pełni rozładowany akumulator ma 0%. Dzięki temu, mierzony parametr odpowiadający naładowaniu ogniwa jest rozsprzęgnięty z wiekiem, prądem i temperaturą akumulatora [8].

Zliczanie ładunku kulombometrem

Najpopularniejszym i najprecyzyjniejszym sposobem monitorowania (R)SOC w dowolnym ogniwie jest zastosowanie kulombometru – urządzenia do pomiaru ładunku. Dzięki temu możliwy jest pomiar ładunku wpływającego i wypływającego z ogniwa, a co za tym idzie monitorowanie procentowego stopnia naładowania akumulatora. Ładunek określany jest w kulombach – 1 kulomb (1 C) to ładunek elektryczny przenoszony w czasie 1 sekundy (1 s) przez prąd o natężeniu wynoszącym 1 amper (1 A), zatem najprostszym elektronicznym kulombometrem jest system do pomiaru i całkowania w czasie płynącego prądu. Tego rodzaju moduł zaprezentowano na rysunku 6 [8].

Rysunek 6. Przykładowa implementacja kulombometru do monitorowania stanu naładowania ogniwa [8]

Aby określić dostępny ładunek akumulatora, preferowane są proste metody monitorowania. Powinny zużywać mało energii i być proste w implementacji, dlatego mierzy się przepływ ładunku w procedurze zwanej „zliczaniem kulombowskim”. W praktyce zliczanie kulombów osiąga się poprzez całkowanie prądów wpływających i wypływających z ogniwa, jak pokazano na rysunku 6. Aby zmierzyć te prądy za pomocą przetwornika analogowo-cyfrowego (ADC) o wysokiej rozdzielczości, zwykle łączy się rezystor szeregowy z anodą akumulatora i mierzy spadek napięcia na nim. Wszystkie te elementy (ADC wraz z analogowym front-endem, zegar czasu rzeczywistego i cyfrowy układ zliczający) integruje się często w jednym układzie scalonym.

Zależności funkcjonalnej między SOC ogniwa, a mierzalnymi parametrami, nie można powiązać analitycznie, pojemność i ładunek ogniwa należy ustalić empirycznie. Żadne rozbudowane modele analityczne nie są dostępne, aby prowadzić takie obliczenia z wystarczającą dokładnością w warunkach zmieniającej się temperatury, wieku i ilości cykli pracy ogniwa czy w czasie dynamicznie zmieniającego się poboru prądu. Pewne modele teoretyczne mają zastosowanie tylko w niektórych przypadkach, gdy ogniwo pracuje w ściśle ustalonych, powtarzalnych warunkach. W celu określenia względnych poziomów naładowania stosowane są lokalne przybliżenia, ale parametry modelu muszą być stale kalibrowane w procesie zwanym „uczeniem się wskaźnika”. W połączeniu ze zliczaniem kulombowskim takie podejście daje dokładność wskaźników poziomu naładowania rzędu kilku procent [2].

Dostępne rozwiązania

Na rynku jest dostępnych wiele scalonych układów do zliczania ładunku ogniwa, czy też nawet zintegrowanych systemów do monitorowania stanu naładowania ogniwa litowo-jonowego. Układy te można podzielić na dwie grupy – kulombometry oraz monitory poziomu naładowania.

Kulombometry – liczniki kulombowskie, czasami nazywane monitorami akumulatorów – to układy scalone, które mierzą prąd i zliczają przepływ ładunku do i z akumulatora. Ponieważ liczniki kulombowskie nie przetwarzają mierzonych zmiennych, nie są w żaden sposób „inteligentne” – algorytm do wyznaczania poziomu naładowania ogniwa znajdować musi się w innym układzie, na przykład w mikrokontrolerze systemu. Przykładem takiego kulombometru może być DS2763 firmy Maxim Integrated [2] lub LTC4150 firmy Analog Devices [9].

Alternatywne podejście do licznika kulombów zapewniają zintegrowane rozwiązania monitorów ogniwa. Te wielofunkcyjne urządzenia realizują nie tylko procedurę pomiaru ładunku, ale także, za pomocą uczącego się algorytmu, same wykonują wszystkie niezbędne obliczenia. Wskaźniki poziomu naładowania są zwykle stosowane w inteligentnych, autonomicznych pakietach ogniw lub wszędzie tam, gdzie konieczne jest szybkie wprowadzenie nowych produktów na rynek.

Przykładami tego rodzaju układów scalonych są na przykład BQ27426 firmy Texas Instruments, SD2780 firmy Maxim Integrated czy STC3100 firmy ST Microelectronics. Elementy te wyposażone są w zintegrowany kulombometr oraz programowalny moduł obliczeniowy, kontrolowany poprzez interfejs szeregowy (1-Wire lub I2C, zależnie od układu). Dzięki temu, procesor aplikacyjny nie musi monitorować stale stanu baterii.

Przykładowe aplikacje

Aplikacje scalonych rozwiązań do obsługi ogniw litowo-jonowych pozwalają nie tylko na łatwą implementację tych rozwiązań w systemie, ale także lepsze zrozumienie zasady działania konkretnych metod i np. dyskretną implementację danej topologii.

Kulombometr elektroniczny

Przykładowy scalony kulombometr, który bazuje na układzie LTC4150 do pomiaru ładunku płynącego do i z baterii, pokazano na rysunku 7. Ładunek jest całką prądu w czasie. LTC4150 mierzy prąd akumulatora, monitorując spadek napięcia na rezystorze pomiarowym – boczniku o niewielkiej rezystancji RSENSE, a następnie całkuje ten pomiar w celu wyznaczenia ładunku. Rysunek 8 pokazuje schemat blokowy tego układu. Mierzony prąd jest filtrowany przez kondensator CF podłączony między pinami CF+ oraz CF– układu. Uśrednia wszystkie szybkie zmiany prądu wynikające z tętnień, szumu czy skoków obciążenia, a także prąd dostarczany w trybie impulsowym czy PWM. Sygnał z wyjścia filtra podawany jest na układ całkujący zestawiony ze wzmacniacza i kondensatora 100 pF w pętli sprzężenia zwrotnego.

Rysunek 7. Schemat blokowy układu scalonego kulombometru LTC4150 [9]

Przełączniki cyfrowe S1 i S2 w układzie służą do zmiany kierunku narastania/opadania sygnału na wyjściu filtra po osiągnięciu przez sygnał wyjściowy z układu całkującego poziomów REFHI lub REFLO. Na podstawie ich ustawienia i kierunku narastania układ wnioskuje o polaryzacji prądu płynącego przez RSENSE – kierunku przepływu ładunku przez opornik. Klucz S3 służy do resetowania układu całkującego.

Wyjście z komparatorów REFHI/REFLO podawane jest na układ kontrolujący, który zmienia wyniki porównania w czasie na informacje o polaryzacji prądu, które podawane są na wyjście POL układu oraz w ciągu impulsów cyfrowych, których okres jest odwrotnie proporcjonalny do ładunku. Impulsy te podawane są następnie na licznik modulo 1024, co znacznie zmniejsza obciążenie mikrokontrolera wymagane do obsługi przerwań pochodzących z LTC4150. Przy każdym przepełnieniu licznika, wyjście INT zatrzaskuje się na niskim poziomie, podczas gdy jednocześnie zatrzaskuje się wyjście PO, aby wskazać polaryzację ładunku. Po obsłużeniu przerwania mikrokontroler resetuje wyjście INT niskim impulsem na pinie CLR. Aby uprościć obsługę układu, piny INT i CLR mogą być ze sobą połączone. W takiej sytuacji, sygnał przerwania jest impulsem o czasie trwania co najmniej 1 ms – wystarczająco długo, aby mikrokontroler mógł zarejestrować dane (polaryzację prądu), zanim pin INT automatycznie zresetuje się.

Funkcja przenoszenia LTC4150 jest ilościowo zależna od wzmocnienia GVF, opisującego związek napięcia na oporniku pomiarowym i częstotliwości wyjściowej – liczby impulsów na sekundę na wyjściu układu. Napięcie VSENSE to napięcie pomiędzy pinami SENSE+ i SENSE–. Liczba impulsów na sekundę f opisana jest równaniem 1:

f=GVF·|VSENSE| (1)

gdzie:

VSENSE=IBAT·RSENSE (2)

zatem:

f=GVF·|IBAT ·RSENSE| (3)

Możliwe jest także przeliczenie wartości w drugą stronę i obliczenie wygodniejszej wartości – ładunku przypadającego na jeden impuls. Wystarczy przekształcić równanie 3, pamiętając, że ładunek to iloczyn prądu i czasu (I·t=Q):

1 impuls =1/(GVF·RSENSE)·C=1/(GVF·RSENSE·3600) Ah (4)

jako, że 1 C=3600 Ah.

Przykładową implementację LT4150 w systemie z mikrokontrolerem pokazano na rysunku 7. W zaprezentowanym systemie układ monitoruje prąd ładowania/rozładowania ogniwa litowo-jonowymi z dwóch ogniw i pojemności nominalnej 850 mAh. Maksymalny prąd płynący z lub do akumulatora wynieść ma 500 mA. Dla układu LTC4150 |VSENSE|=50 mV, co pozwala dobrać opornik pomiarowy RSENSE=0,1 V. Parametr GVF=32,55 Hz/V, co pozwala, korzystając z równania 4, wyliczyć, że jeden impuls w takim układzie odpowiadać będzie 0,085 mAh. W pełni naładowane, idealne ogniwo o pojemności 850 mAh to 10 tysięcy impulsów na wyjściu INT tego układu [9].

Nie powinno się bazować tylko na samym pomiarze ładunku przy wyznaczaniu SOC, gdyż pojemność ogniwa nie jest idealna i zmienia się w czasie i na skutek wpływu innych czynników. Mikrokontroler musi także mierzyć napięcie na akumulatorze i na jego podstawie określać, czy akumulator się rozładował, czy nie. W ten sposób układ będzie kontrolował również klucz S1 pokazany na rysunku 7, który odłącza ogniwo od układu, gdy zostanie ono zupełnie rozładowane.

W typowej aplikacji mikrokontroler „uczy się” pojemności ogniwa – najpierw zostaje ono maksymalnie naładowane, co układ wykrywa mierząc napięcie na akumulatorze. Następnie podczas rozładowywania ogniwa zliczane są impulsy, aż do momentu, w którym akumulator osiągnie napięcie zdefiniowane, jako poziom pełnego rozładowania – 6,0 V. Ilość impulsów zliczonych w tym czasie, oddaje realną pojemność. Oczywiście, taki pomiar przeprowadzany jest jednorazowo, podczas kalibracji układu na etapie projektowania – produkcyjne egzemplarze urządzenia mają już wstępnie zapisaną wartość, jaka odpowiada naładowanemu ogniwu. Dodatkowo, mikrokontroler realizować bardziej zaawansowane algorytmy, które korygują obliczenia na podstawie impulsów RSOC, uwzględniając inne parametry (temperatura, wiek ogniwa etc.).

Rysunek 8. Przykładowa aplikacja układu LTC4150 [9]

Zintegrowany system monitorowania ogniwa litowego

Przykładem kompletnego systemu do pomiaru poziomu naładowania ogniwa litowo-jonowego jest układ scalony BQ27426 firmy Texas Instrument. Przykładową aplikację pokazuje rysunek 9. Układ wymaga minimalnej ilości elementów zewnętrznych do działania – kluczowy jest jedynie bocznik do pomiaru prądu w postaci opornika o niskiej wartości rezystancji, która może wynosić nawet 10 mV [11]. Oprócz ładunku płynącego do i z ogniwa, system monitoruje także napięcie i temperaturę, wykorzystując termistor wbudowany w pakiet z ogniwem.

Rysunek 9. Przykładowa aplikacja układu BQ27426 [10]

Układ BQ27426, jak i większość podobnych cyfrowych, zintegrowanych systemów monitorowania ogniw litowo-jonowych, wyposażony jest w interfejs szeregowy – w tym przypadku jest to I2C. Poprzez ten interfejs procesor w systemie może konfigurować układ (np. wybierając jeden z preprogramowanych profili dla ogniw 4,4 V, 4,35 V lub 4,2 V) oraz pobierać dane na temat działania akumulatora – poziom naładowania (SOC) skompensowany względem wieku ogniwa, jego temperatury, obecnego uśrednionego poboru prądu etc. Dostępne są także informacje o „stanie zdrowia” ogniwa, dzięki czemu system wie, kiedy poinformować użytkownika o konieczności wymiany zużytego akumulatora [10].

Podsumowanie

Dostępne obecnie na rynku rozwiązania do pomiaru poziomu naładowania ogniw litowo-jonowych zawierają kulombometry, które pozwalają na monitorowanie ilości ładunku wpływającego i wypływającego z ogniwa w czasie. Dzięki temu możliwe jest precyzyjne szacowanie stanu naładowania takiego akumulatora. Dodatkowo, wiele z tych układów posiada algorytmy, które uwzględniają wpływ innych parametrów na dostępny w ogniwie ładunek, takich jak jego temperatura, pobierany prąd, czy wiek i ilość przepracowanych cykli ogniwa.

Nikodem Czechowski, EP

Bibliografia

  1. „Choose the Right Battery Fuel Gauge for Fast Time-to-Market and Maximum Run-Time”, Design Solutions: Power, Maxim Integrated (http://bit.ly/2v0ZVFI).
  2. R. Wagner “Battery Fuel Gauges: Accurately Measuring Charge Level”, Application Note 3958, Maxim Integrated (http://bit.ly/2HBWsjN).
  3. Karta katalogowa ogniw Samsung INR18650-25R.
  4. http://bit.ly/2VaOVAe.
  5. Dokumentacja firmy MPower UK, http://bit.ly/329NfJ6.
  6. Karta katalogowa ogniw Panasonic eneloop BK-3MCCA4BA.
  7. N. Omar, Y. Firouz, H. Gualous, J. Salminen, T. Kallio, J. M. Timmermans, Th. Coosemans, P. Van den Bossche, J. Van Mierlo, „Aging and degradation of lithium-ion batteries” w: “Rechargeable Lithium Batteries: From Fundamentals to Applications”, red. A. A. Franco, Woodhead Publishing 2015
  8. V. Ho, “Li-ion Battery and Gauge Introduction”, Application Note AN024, Richtek 2014 (http://bit.ly/38SfePG).
  9. J. Herr, “An Accurate Battery Gas Gauge”, Linear Technology Magazine, May 2004.
  10. Karta katalogowa układu Texas Instrumenta BQ27426.
Artykuł ukazał się w
Elektronika Praktyczna
marzec 2020
DO POBRANIA
Pobierz PDF Download icon
Elektronika Praktyczna Plus lipiec - grudzień 2012

Elektronika Praktyczna Plus

Monograficzne wydania specjalne

Elektronik listopad 2025

Elektronik

Magazyn elektroniki profesjonalnej

Raspberry Pi 2015

Raspberry Pi

Wykorzystaj wszystkie możliwości wyjątkowego minikomputera

Świat Radio listopad - grudzień 2025

Świat Radio

Magazyn krótkofalowców i amatorów CB

Automatyka, Podzespoły, Aplikacje listopad - grudzień 2025

Automatyka, Podzespoły, Aplikacje

Technika i rynek systemów automatyki

Elektronika Praktyczna listopad 2025

Elektronika Praktyczna

Międzynarodowy magazyn elektroników konstruktorów

Elektronika dla Wszystkich grudzień 2025

Elektronika dla Wszystkich

Interesująca elektronika dla pasjonatów